Softmax Multi-Class Classifier 多分类器
MNIST数据集
- MNIST数据集为手写体数字的数据集,由每一张图片组成,每一张图片为一张黑白的图片,像素值都在0-255之间,图片的大小均为28×28,也即是由28行以及28列组成。对于一个数据集而言,我们要将它分成训练集以及测试集,而对于MNIST数据集而言,它的训练集由60000张图片组成,测试集由10000张图片组成。由于每张图片的大小为28×28,所以训练集X_train的shape为60000×28×28,测试集X_test的shape为10000×28×28。每张图片有对应的Label,也即是图片上的数字。

Fashion-MNIST数据集
- Fashion-MNIST数据集一共有10类,也即是Label有10种,和MNIST数据集一样,每一张图片为一张黑白的图片,像素值都在0-255之间,图片的大小均为28×28。MNIST数据集的每一张图片为数字,而Fashion-MNIST数据集的每一张图片则是服饰。同时,与MNIST数据集一样,它的训练集由60000张图片组成,测试集由10000张图片组成。由于每张图片的大小也为28×28,所以训练集X_train的shape为60000×28×28,测试集X_test的shape为10000×28×28。

Flatten
- 针对于MNIST与Fashion-MNIST数据集,每一张图片的大小均为28×28。对于一张黑白图片,我们可以用一个二维矩阵来表示。Flatten的意思就是我们将图片扁平化,将它拉直,也即是将二维矩阵变成一维的向量,将矩阵的第一行放在一维向量的起始位置,矩阵的第二行紧接着放在起始位置的后面,以此类推,一直到第28行。
One-Hot Encoding
- 对于MNIST数据集,有对应数字为0-9的Label,如果我们直接将它给Moudel,Moudel会误认为这些数字存在数值上的差异,也即是会觉得与自身差值小的数字相距近,而与自身差值大的数字相距远。Label只是对于我们Feature的一个描述,并不是说它们存在什么距离,为了消除这个影响,我们将引入One-Hot Encoding。MNIST数据集的Label有10个数,我们可以初始化一个10维的向量,或者理解为数组,我们将Label的数字对应下标设为1,其它位置都设为0,这样便消除了影响。

Softmax介绍
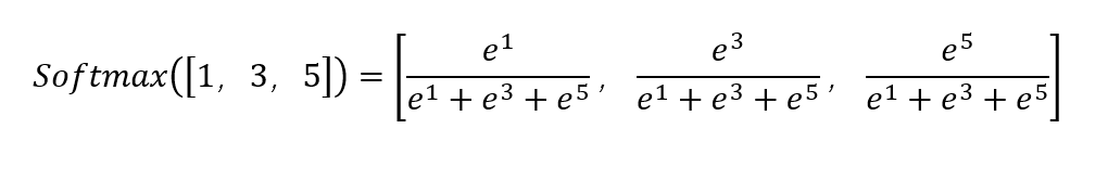
- 取三个数中的最大值可以表示为Max([1,3,5])=5,而Softmax([1,3,5])=[0.015,0.117,0.868]。其运算过程如下:

- 由于0.015+0.117+0.868=1,于是我们可以将它与概率联系起来。同时也可以看出,Softmax函数将最小值放得更小了,而将最大值放得更大了。
- Softmax函数代码实现:
import numpy as np
def softmax(array):
array = np.array(array)
exp_array = np.exp(array)
exp_sum = np.sum(exp_array)
return exp_array / exp_sum
softmax([1, 3, 5])
softmax([1, 2, 3, 4, 5])
print(softmax([1, 3, 5]))
print(softmax([1, 2, 3, 4, 5]))
- 运行结果:

应用Softmax实现多分类
- 首先我们实现一个三分类的分类任务,我们拿出训练集中的一个Sample,它的Feature以及经过One-Hot Encoding后的Label为:

- 以Label为1,One-Hot Encoding为[0,1,0]举例,对应的Train为:

- 以Sample为3举例,对应的Predict为:

- 对于上式而言,假设预测值分别对应0.3,0.2,0.5,这个时候我们就将它预测为第三类,0.5是最大的值,对应0,0,1,也即是Label为2的值。
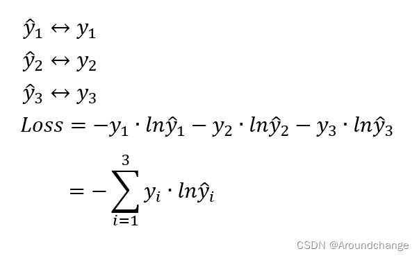
交叉熵(Cross Entropy)
- 模型中有预测值y ^1,y ^2,y ^3,以及实际值y1,y2,y3,我们需要用交叉熵来求它的损失。

Softmax与逻辑回归的联系
- 逻辑回归可以参考之前写的这一篇博文:Logistic Regression 逻辑回归
- Categorical Cross Entropy

- Binary Cross Entropy

- Categorical Cross Entropy代码实现:
import numpy as np
from numpy import log
def categorical_cross_entropy(y, y_hat):
num_elements = len(y)
loss = 0
for i in range(num_elements):
loss += - y[i] * log(y_hat[i])
return loss
y = [0, 0, 1]
y_hat = [0.1, 0.1, 0.8]
loss = categorical_cross_entropy(y, y_hat)
print(loss)
y = [0, 0, 1]
y_hat = [0.1, 0.3, 0.6]
loss = categorical_cross_entropy(y, y_hat)
print(loss)
y = [0, 0, 1]
y_hat = [0.4, 0.5, 0.1]
loss = categorical_cross_entropy(y, y_hat)
print(loss)
- 运行结果:

- Binary Cross Entropy代码实现:
import numpy as np
from numpy import log
def binary_cross_entropy(y, y_hat):
loss = -y * log(y_hat) - (1 - y) * log(1 - y_hat)
return loss
binary_cross_entropy(0, 0.01)
binary_cross_entropy(1, 0.99)
binary_cross_entropy(0, 0.3)
binary_cross_entropy(0, 0.8)
print(binary_cross_entropy(0, 0.01))
print(binary_cross_entropy(1, 0.99))
print(binary_cross_entropy(0, 0.3))
print(binary_cross_entropy(0, 0.8))
- 运行结果:

GPU加速运算原理
- 首先,GPU与CPU在核心数上有很大的差别。

- 在矩阵运算的乘法中,行列相乘时互不影响,也即是可以同时放到GPU的各个核心中进行计算,从而实现并行操作。由于GPU的核心数远大于CPU,所以在矩阵运算上,虽然单次处理速度GPU可能没有CPU快,但是由于CPU核心数有限,对于数量级较大的运算,GPU更具有优势。
使用Keras框架实现Softmax多分类
代码实现
- SoftmaxClassifierMINSTDataset
import numpy as np
import pandas as pd
import matplotlib.pyplot as plt
from tensorflow.keras.datasets import mnist
from tensorflow.keras.utils import to_categorical # One-Hot Encoding
(X_train, y_train), (X_test, y_test) = mnist.load_data()
# print(X_train.shape)
# print(X_test.shape)
# print(y_train.shape)
# print(y_test.shape)
# plt.imshow(X_train[0])
# plt.show()
# print(y_train[0])
n_train = X_train.shape[0] # 60000
n_test = X_test.shape[0] # 10000
flatten_size = 28 * 28
# X_train(60000 * 28 * 28)
X_train = X_train.reshape((n_train, flatten_size))
# 0 ~ 255 --> 0 ~ 1
X_train = X_train / 255
# 0 ~ 9 --> One-Hot Encoding
# 3 --> [0, 0, 0, 1, 0, 0, 0, 0, 0, 0]
y_train = to_categorical(y_train)
X_test = X_test.reshape((n_test, flatten_size))
X_test = X_test / 255
y_test = to_categorical(y_test)
X_train.shape
# print(X_train.shape)
y_train.shape
# print(y_train.shape)
y_train[0]
# print(y_train[0])
def softmax(x):
exp_x = np.exp(x)
sum_e = np.sum(exp_x, axis=1)
for i in range(x.shape[0]):
exp_x[1, :] = exp_x[i, :] / sum_e[i]
return exp_x
W = np.zeros((784, 10))
b = np.zeros((1, 10))
N = 100
lr = 0.00001
for i in range(N):
det_w = np.zeros((784, 10))
det_b = np.zeros((1, 10))
logits = np.dot(X_train, W) + b
y_hat = softmax(logits)
det_w = np.dot(X_train.T, (y_hat - y_train))
det_b = np.sum((y_hat - y_train), axis=0)
W = W - lr * det_w
b = b - lr * det_b
logits_train = np.dot(X_train, W) + b
y_train_hat = softmax(logits_train)
y_hat = np.argmax(y_train_hat, axis=1)
y = np.argmax(y_train, axis=1)
count = 0
for i in range(len(y_hat)):
if y[i] == y_hat[i]:
count += 1
print('Accuracy On Training Set Is {}%'.format(round(count / n_train, 2) * 100))
logits_test = np.dot(X_test, W) + b
y_test_hat = softmax(logits_test)
y_hat = np.argmax(y_test_hat, axis=1)
y = np.argmax(y_test, axis=1)
count = 0
for i in range(len(y_hat)):
if y[i] == y_hat[i]:
count += 1
print('Accuracy On Testing Set Is {}%'.format(round(count / n_test, 2) * 100))
-
运行得到Accuracy的结果:

-
SoftmaxClassifierMINSTDatasetKeras
import numpy as np
import pandas as pd
from tensorflow.keras.datasets import mnist
from tensorflow.keras.utils import to_categorical
from tensorflow.keras.models import Sequential
from tensorflow.keras.layers import Dense, Flatten
from tensorflow.keras.optimizers import RMSprop
(X_train, y_train), (X_test, y_test) = mnist.load_data()
X_train = X_train / 255
X_test = X_test / 255
y_train = to_categorical(y_train)
y_test = to_categorical(y_test)
model = Sequential()
model.add(Flatten(input_shape=(28, 28)))
model.add(Dense(units=10, activation='softmax'))
# model.summary()
model.compile(loss='categorical_crossentropy',
metrics=['accuracy'],
optimizer=RMSprop())
model.fit(X_train, y_train, epochs=10, batch_size=64)
loss, accuracy = model.evaluate(X_test, y_test)
print(accuracy)
- 运行结果:

- 通过以上运行结果可以看出,经过训练后,我们的Accuracy可以达到90%以上。
- SoftmaxClassifierFashion-MINSTDatasetKeras
import numpy as np
import pandas as pd
from tensorflow.keras.datasets import fashion_mnist
import matplotlib.pyplot as plt
from tensorflow.keras.utils import to_categorical
from tensorflow.keras.models import Sequential
from tensorflow.keras.layers import Dense, Flatten
from tensorflow.keras.optimizers import RMSprop
(X_train, y_train), (X_test, y_test) = fashion_mnist.load_data()
X_train = X_train / 255
X_test = X_test / 255
y_train = to_categorical(y_train)
y_test = to_categorical(y_test)
# plt.imshow(X_train[0])
# plt.show()
# plt.imshow(X_train[100])
# plt.show()
# X_train.shape
# X_test.shape
# print(X_train.shape)
# print(X_test.shape)
model = Sequential()
model.add(Flatten(input_shape=(28, 28)))
model.add(Dense(units=10, activation='softmax'))
# model.summary()
model.compile(loss='categorical_crossentropy',
metrics=['accuracy'],
optimizer=RMSprop())
model.fit(X_train, y_train, epochs=10, batch_size=64)
loss, accuracy = model.evaluate(X_test, y_test)
print(accuracy)
- 运行结果:

- 通过以上运行结果可以看出,经过训练后,我们的Accuracy只能达到80%以上,也即是用Softmax对Fashion-MINST数据集进行处理时显得有些吃力,我们可以用深度学习的方法对其进行优化。Softmax一般用在深度学习的最后一层做分类任务,在它之前我们可以加入一些深度学习的DNN、CNN、RNN进行优化,提取它的Feature,这样一来就会让Softmax在分类时表现得更加出色。
相关测试图片



源码获取
- QQ 2985983009
761

被折叠的 条评论
为什么被折叠?



