
基片集成波导是通过在介质的周期性金属通孔来代替普通波导的侧壁,尽管所用金 属通孔是周期性的,但是这种周期性和以往的周期性结构相比有其独有的特点。
第一, 这种结构不是完全封闭的;
第二,金属通孔的间距和波长相比很小,这使得传输波所携带的能量很难辐射出去。

SIW 设计需要确定的参数有:
- 通孔的直径 d;
- 孔间距 p;(d和p影响辐射损耗和回波损耗)
- SIW的宽度 ar;(ar影响截止频率和基模传播常数)
- 等效宽度 ae;
设计实例
设计一个X波段的SIW,X波段的标准波导尺寸是:a=22.86mm,b=10.16mm,使用的基板为 Rogers4350B,εr=3.48。
波导不同模式的截止频率计算公式:

lambda_cte10=2*a=45.72 mm;
f_cte10=6.65 GHz;
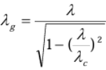
波导波长的相关公式可以去看之前出过的文章,链接波导基本知识及CST仿真设置_cst仿真矩形波导-CSDN博客
注:波导波长的公式与微带线上的波长要区分清楚,都经常使用lambda_g表示

lambda_g=39.76 mm
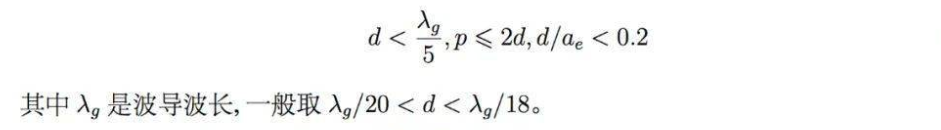
确定过孔直径与间距

直径d < 7.95 mm,从工艺上考虑0.2-0.8mm,取d=0.6 mm;
间距p=1.5*d=0.92 mm;
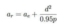
SIW等效宽度

ae=12.25 mm;
SIW实际宽度

ar=12.67 mm;
参数化建模模型及仿真结果有空了贴上来。
3800

被折叠的 条评论
为什么被折叠?



