简介
《Mip-NeRF: A Multiscale Representation for Anti-Aliasing Neural Radiance Fields》

NeRF能在新的视图位置上生成逼真的渲染图,但是必须在训练图像的分辨率或比例的基础上生成,上图a中将相机拉回并放大(降低图像分辨率),这导致了渲染显示严重的混叠。
上图b将不同分辨率的图像放入NeRF中训练,虽然一定程度上改善低分辨率问题,但是高分辨情况拉跨了
图c中Mip-NeRF很好的解决了这个问题
论文思路
我们知道NeRF是通过穿过图像像素的一条射线进行积分,在射线上采样的是一个一个的点。那么我们多发射几条光线,提高采样率,在一定程度上能够解决锯齿化问题,但是计算量也大大增加,论文作者就提出使用圆锥体取代光线的方法

Mip-NeRF采用多元高斯坐标逼近锥形积分,然后在高斯坐标的位置编码上计算(封闭形式)积分E(γ(x)]。那么传统的位置编码就不适用了,论文提出集成的位置编码(IPE) an integrated positional encoding,是对NeRF的位置编码(PE)的一种推广,它允许一个空间区域被紧凑地特征化featurized,而不是空间中的单个点。
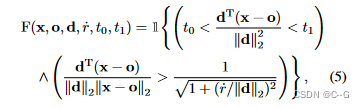
圆锥截台对应的区域表示


o为圆锥中心,d为法向量,r为圆锥半径(设置为世界坐标中按2/√12的像素的宽度),l{·}为指标函数,表示当x \mathbf{x}x位于F(…)定义的圆锥范围内时对上式进行取值
如果对上面这样一个特征集合求解位置编码时,位置编码转换为积分形式

上述式子,分子中的积分没有封闭形式的解,目前尚不清楚如何有效地计算这样一个特征,作者采用多元高斯近似,允许一个期望的有效近似特征
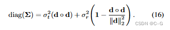
为了用多元高斯分布近似conical frustum,我们必须计算F(x,·)的均值和协方差。因为每个conical frustum被假定为圆形的,并且因为conical frustum是围绕锥轴对称的,这种高斯分布完全由三个值来表征(除了o和d)



其中t μ = ( t 0 + t 1 ) / 2 ,t δ = ( t 1 − t 0 ) / 2,以上在[ t 0 , t 1 ] 范围内的圆锥的局部坐标系建立的多元高斯分布,接着通过如下变换可以将其转换到世界坐标系下,如下所示

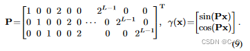
原始的位置编码表达为


通过均值和方差的传递规则,计算出多元高斯分布经过位置编码后的表达式


最后一步就是根据上述的多元高斯分布计算期望,当x ∼ N ( μ , σ 2 ) ,则sin ( x ) 和cos ( x ) 期望的的闭式解为

IPE的期望就为

由于位置编码是对每一维进行独立的,因此计算上述期望时只需要取每一维的方差,也就是协方差矩阵的对角线元素

其中

从上面的推导可以看出来,基于高斯分布的建模,最后从确定采样点到最后输出Integrated Positional Encoding的值中间也是一些简单的加减乘,因此Integrated Positional Encoding相对于本来的Positional Encoding并没有增加太多计算量,如下图所示

由于Position Encoding对所有的采样点都使用的同样的处理方式,因此在高频部分容易产生混淆,如上左图所示,无论高频低频经过Positional Encoding后输出高频部分有很多相似的蓝色,而Integrated Positional Encoding则可以避免这一问题,对于相对低频的输入经过Integrated Positional Encoding后输出高频部分趋近于0,也就是上右图中的白色,因此就避免了高频混淆。这也就是Mip-NeRF效果好的原因,如下对比图所示

Mip-NeRF是一种改进版的NeRF技术,通过使用圆锥体代替光线和集成位置编码来减少锯齿效应,尤其在低分辨率渲染时能显著提升图像质量。
1490

被折叠的 条评论
为什么被折叠?



