
内置函数一般要用select调用
一、内置函数
1.1 日期函数

1、获得年月日:current_date/data(now)


2、获得时分秒:current_time

3、获得时间戳:(他会给我们转化成日期+时间的格式显示)current_timestamp

4、返回datatime参数的日期部分 data

5、获取当前时间 now

6、在日期的基础上加日期:date_add

7、在日期的基础上减去时间:date_sub

8、计算两个日期之间相差多少天:datediff

案例:留言表
创建留言表

插入数据
显示所有留言信息,发布日期只显示日期,不用显示时间

查询在2分钟内发布的帖子

select * from msg where date_add(sendtime, interval 2 minute) > now();

1.2 字符串函数

1、获取emp表的ename列的字符串 charset(一般是在乱码的时候确认一下mysql本身的编码格式以及插入到mysql表里面的特定字段为什么会乱)

2、要求显示student表中的信息,显示格式:“XXX的语文是XXX分,数学XXX分,英语XXX分” concat

3、返回在字符串中的出现位置 instr (因为不存在是返回0,所以他的下标是从1开始的)

4、转化成大写ucase

5、转化成小写 lcase

6、 从左取length个 left

7、 从右取lenth个字符 right

8、求学生表中学生姓名占用的字节数 length

注意:length函数返回字符串长度,以字节为单位。如果是多字节字符则计算多个字节数;如果是单字 节字符则算作一个字节。比如:字母,数组算作一个字节,中文表示多个字节数(与字符集编码有关)
9、 将EMP表中所有名字中有S的替换成'上海'replace

10、截取EMP表中ename字段的第二个到第三个字符substring(下标从1开始,不加length的话默认就是全部)

11、以首字母小写的方式显示所有员工的姓名

12、去掉前空格(ltrim)后空格(rtrim)前后空格(trim) (中间空格不会去掉 )

1.3 数学函数

1、绝对值abs

2、转二进制bin

3、转16进制hex

4、进制转化conv

5、向上取整ceiling

4种取整方案:四舍五入(数学计算)、向上取整(银行)、向下取整(工龄)、零向取整(语言很常见)
6、向下取证floor

7、格式化,保留小数位数format

8、返回随机浮点数,范围【0.0,1.0) rand

想要0-99就*100

用format控制随机数精度

9、取模,求余mod

关于负数取模怎么处理,可以去看看C语言深度解剖
1.4 其他函数
1、user() 查询当前用户

2、database()显示当前正在使用的数据库

3、md5(str)对一个字符串进行md5摘要,摘要后得到一个32位字符串(用户密码不能在数据库表里面明文保存!!万一表结构被盗取了就泄密了!)

未来用户输入密码的时候也会转成md5看看是否匹配
4、password()函数,MySQL数据库使用该函数对用户加密

5、ifnull(val1, val2) 如果val1为null,返回val2,否则返回val1的值

二、复合查询(重点)
2.1 基本查询

1、查询工资高于500或岗位为MANAGER的雇员,同时还要满足他们的姓名首字母为大写的J
select * from EMP where (sal>500 or job='MANAGER') and ename like 'J%';

2、按照部门号升序而雇员的工资降序排序
select * from EMP order by deptno asc, sal desc;

3、使用年薪进行降序排序
select ename,sal,comm,sal*12+ifnull(comm,0) '年薪' from EMP order by 年薪 desc;

4、显示工资最高的员工的名字和工作岗位
直接聚合的话名字和工作岗位无法出现,所以要用子查询把最高工资的员工聚合统计出来,然后再去查他的名字和岗位
select ename, job from EMP where sal = (select max(sal) from EMP);

5、显示工资高于平均工资的员工信息+
select ename, sal from EMP where sal>(select avg(sal) from EMP);
6、显示每个部门的平均工资和最高工资
select deptno, format(avg(sal), 2) , max(sal) from EMP group by deptno;

7、显示平均工资低于2000的部门号和它的平均工资
select deptno, avg(sal) avg_sal from EMP group by deptno having avg_sal<2000;

8、显示每种岗位的雇员总数,平均工资
select job,count(*), format(avg(sal),2) from EMP group by job;

2.2 多表笛卡尔积
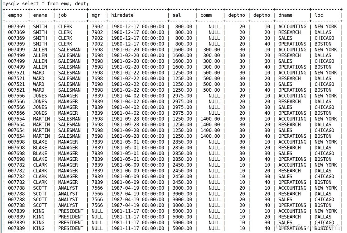
实际开发中往往数据来自不同的表,所以需要多表查询。本节我们用一个简单的公司管理系统,有三张表EMP,DEPT,SALGRADE来演示如何进行多表查询。


1、显示雇员名、雇员工资以及所在部门的名字因为上面的数据来自EMP和DEPT表,因此要联合查询
笛卡尔积:将数据进行穷举组合


其实我们只要emp表中的deptno = dept表中的deptno字段的记录
select EMP.ename, EMP.sal, DEPT.dname from EMP, DEPT where EMP.deptno = DEPT.deptno;
列名如果唯一的话就不需要前导
2、显示部门号为10的部门名,员工名和工资
select ename, sal,dname from EMP, DEPT where EMP.deptno=DEPT.deptno and DEPT.deptno = 10;
3、显示各个员工的姓名,工资,及工资级别
select ename, sal, grade from EMP, SALGRADE where EMP.sal between losal and hisal;

2.3 自连接
自连接是指在同一张表连接查询(需要对表做重命名)

场景:你的领导也在员工表里,有自己的工号
案例:显示员工FORD的上级领导的编号和姓名(mgr是员工领导的编号--empno)
子查询:

select empno,ename from emp where emp.empno=(select mgr from emp where ename='FORD');

多表查询:
-- 使用到表的别名
--from emp leader, emp worker,给自己的表起别名,因为要先做笛卡尔积,所以别名可以先识别
select leader.empno,leader.ename from emp leader, emp worker
where leader.empno = worker.mgr and worker.ename='FORD';
2.4 子查询
子查询是指嵌入在其他sql语句中的select语句,也叫嵌套查询
2.4.1 单行子查询
返回一行记录的子查询
案例:显示SMITH同一部门的员工
select * from EMP WHERE deptno = (select deptno from EMP where ename='smith');

2.4.2 多行子查询
返回多行记录的子查询
1、in关键字;查询和10号部门的工作岗位相同的雇员的名字,岗位,工资,部门号,但是不包含10自己的
select ename,job,sal,deptno from emp where job in
(select distinct job from emp where deptno=10) and deptno<>10;

附加要求:并且知道对应的员工属于哪一个部门的名字
select ename,job,sal,dname from
(select ename,job,sal,deptno from emp where job in
(select distinct job from emp where deptno=10) and deptno<>10;)
and deptno <>10) as tmp ,dept where dept.deptno=tmp.deptno;

说明了子查询不仅可以出现在where后面,也可以出现在from后面 (把子查询当成一个临时表使用)
2、all关键字;显示工资比部门30的所有员工的工资高的员工的姓名、工资和部门号
select ename, sal, deptno from EMP where sal > all
(select sal from EMP where deptno=30);

3、any关键字;显示工资比部门30的任意一名员工的工资高的员工的姓名、工资和部门号(包含自己部门的员工)
select ename, sal, deptno from EMP where sal > any
(select sal from EMP where deptno=30);

2.4.3 多列子查询
单行子查询是指子查询只返回单列,单行数据;多行子查询是指返回单列多行数据,都是针对单列而言的,而多列子 查询则是指查询返回多个列数据的子查询语句
案例:查询和SMITH的部门和岗位完全相同的所有雇员,不含SMITH本人
mysql> select ename from EMP where (deptno, job)=
(select deptno, job from EMP where ename='SMITH') and ename <> 'SMITH';

也可以用in 把他看成一对

2.4.4 在from子句中使用子查询
子查询语句出现在from子句中。这里要用到数据查询的技巧,把一个子查询当做一个临时表使用。(任何时刻,查询出来的临时结构,本质上在逻辑上也是表结构 mysql一切皆表)
1、显示每个高于自己部门平均工资的员工的姓名、部门、工资、平均工资
//获取各个部门的平均工资,将其看作临时表
select ename, deptno, sal, format(asal,2) from EMP,
(select avg(sal) asal, deptno dt from EMP group by deptno) tmp
where EMP.sal > tmp.asal and EMP.deptno=tmp.dt;

附加条件:顺便显示在哪个地方工作

2、查找每个部门工资最高的人的姓名、工资、部门、最高工资
select EMP.ename, EMP.sal, EMP.deptno, ms from EMP,
(select max(sal) ms, deptno from EMP group by deptno) tmp
where EMP.deptno=tmp.deptno and EMP.sal=tmp.ms;

3、 显示每个部门的信息(部门名,编号,地址)和人员数量
方法1:使用多表(不推荐,因为为了要照顾group by语法结构,还需要对多个数据进行分组)
select DEPT.dname, DEPT.deptno, DEPT.loc,count(*) '部门人数' from EMP, DEPT
where EMP.deptno=DEPT.deptno
group by DEPT.deptno,DEPT.dname,DEPT.loc;

方法2:使用子查询
//1. 对EMP表进行人员统计
select count(*), deptno from EMP group by deptno;
//2. 将上面的表看作临时表
select DEPT.deptno, dname, mycnt, loc from DEPT,
(select count(*) mycnt, deptno from EMP group by deptno) tmp
where DEPT.deptno=tmp.deptno;


2.4.5 合并查询(用得不多)
在实际应用中,为了合并多个select的执行结果,可以使用集合操作符 union,union all

2.4.5.1 union
该操作符用于取得两个结果集的并集。当使用该操作符时,会自动去掉结果集中的重复行。
案例:将工资大于2500或职位是MANAGER的人找出来
mysql> select ename, sal, job from EMP where sal>2500 union
-> select ename, sal, job from EMP where job='MANAGER';//去掉了重复记录

2.4.5.2 union all
该操作符用于取得两个结果集的并集。当使用该操作符时,不会去掉结果集中的重复行。
案例:将工资大于25000或职位是MANAGER的人找出来
mysql> select ename, sal, job from EMP where sal>2500 union all
-> select ename, sal, job from EMP where job='MANAGER';

注意:两个select的列信息和属性必须一样!!!
![]()
三、表的内连和外连(重点)
表的连接分为内连和外连
3.1 内连接
内连接实际上就是利用where子句对两种表形成的笛卡儿积进行筛选,我们前面学习的查询都是内连接,也是在开发过程中使用的最多的连接查询。
语法:
select 字段 from 表1 inner join 表2 on 连接条件 and 其他条件;
案例:显示SMITH的名字和部门名称
//用前面的写法
select ename,dname from EMP,DEPT where EMP.deptno=DEPT.deptno and ename='SMITH';
以下这种写法逻辑更清晰,前一部分是做笛卡尔积的,后面一部分是进一步做条件筛选
//用标准的内连接写法
select ename, dname from EMP inner join DEPT on EMP.deptno=DEPT.deptno and
ename='SMITH';
and和where都可以


3.2 外连接
外连接分为左外连接和右外连接
3.2.1 左外连接
如果联合查询,左侧的表完全显示我们就说是左外连接。 (以左侧表为主进行拼接)
语法:
select 字段名 from 表名1 left join 表名2 on 连接条件
案例:查询所有学生的成绩,如果这个学生没有成绩,也要将学生的个人信息显示出来
//建两张表
create table stu (id int, name varchar(30));//学生表
insert into stu values(1,'jack'),(2,'tom'),(3,'kity'),(4,'nono');
create table exam (id int, grade int);//成绩表
insert into exam values(1, 56),(2,76),(11, 8);


//当左边表和右边表没有匹配时,也会显示左边表的数据
select * from stu left join exam on stu.id=exam.id;

3.2.2 右外连接
如果联合查询,右侧的表完全显示我们就说是右外连接。
语法:
select 字段 from 表名1 right join 表名2 on 连接条件;
案例1: 对stu表和exam表联合查询,把所有的成绩都显示出来,即使这个成绩没有学生与它对应,也要显示出来
select * from stu right join exam on stu.id=exam.id;

案例2:列出部门名称和这些部门的员工信息,同时列出没有员工的部门
方法一:
select d.dname, e.* from dept d left join emp e on d.deptno=e.deptno;
方法二:
select d.dname, e.* from emp e right join dept d on d.deptno=e.deptno;


615

被折叠的 条评论
为什么被折叠?



