(1)NTT的表示
对于
,若
的值互不相同,则称g为p的原根。
FFT利用单位根
的性质实现分治优化多项式乘法,原根也有类似性质。NTT利用原根代替FFT的
。这样可以不用复数实现FFT运算。
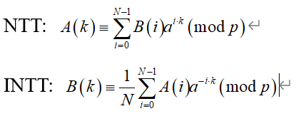
设g是p的原根,令
,其中要求 p-1 能被N整除,则有:

NTT的原根表示法可写为:

(2)蝴蝶变换


(3) NTT 并行算法


主要步骤:





文章介绍了NTT(NumberTheoreticTransform)如何利用原根的性质,避免复数运算,实现FFT(快速傅里叶变换)的优化。在NTT中,原根替代了FFT中的单位根,当p-1能被N整除时,能够进行高效的并行计算。NTT的关键步骤包括特定的指数运算和蝴蝶变换,适用于大规模数据的快速处理。
(1)NTT的表示
对于
,若
的值互不相同,则称g为p的原根。
FFT利用单位根
的性质实现分治优化多项式乘法,原根也有类似性质。NTT利用原根代替FFT的
。这样可以不用复数实现FFT运算。
设g是p的原根,令
,其中要求 p-1 能被N整除,则有:

NTT的原根表示法可写为:

(2)蝴蝶变换


(3) NTT 并行算法


主要步骤:





3515