【前缀和】专题 | 【模板】二维前缀和

一、题目链接

【模板】二维前缀和

二、题目

在这里插入图片描述

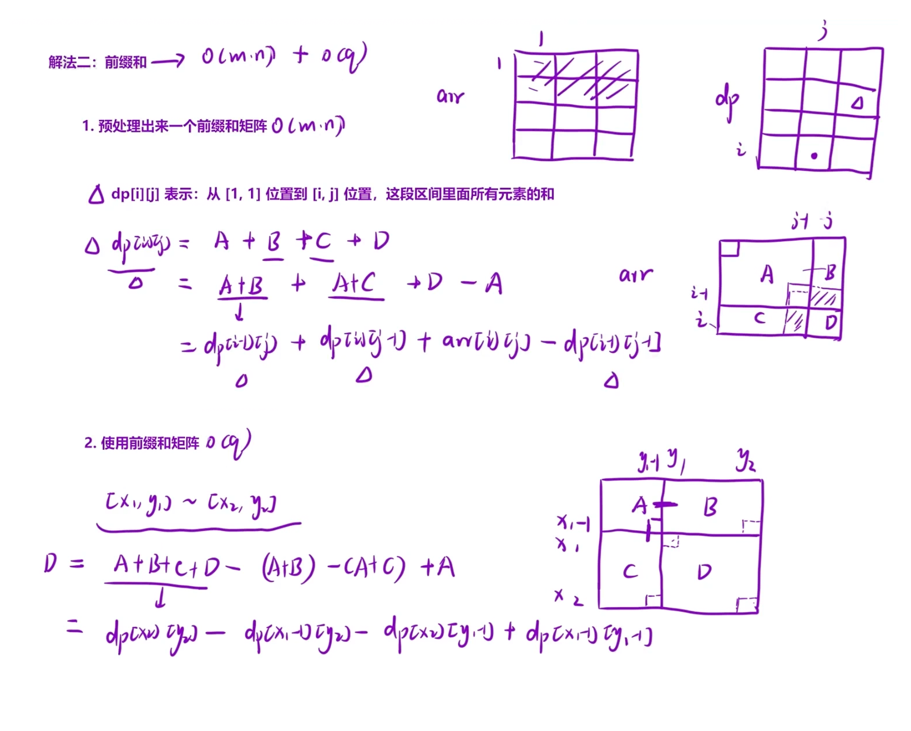
三、算法原理

在这里插入图片描述

最差情况,每次询问都要求整个区间的和,遍历一整个区间的时间复杂度是O(nm),询问q次时间复杂度是O(nmq)。

在这里插入图片描述

四、编写代码

#include <iostream>
#include <vector>
using namespace std;
int main()
{
    // 1.读入数据
    int n = 0, m = 0, q = 0;
    cin >> n >> m >> q;
    vector<vector<int>> arr(n + 1, vector<int>(m + 1));
    for (int i = 1; i <= n; ++i)
        for (int j = 1; j <= m; ++j)
            cin >> arr[i][j];
    
    // 2.预处理一个前缀和矩阵
    vector<vector<long long>> dp(n + 1, vector<long long>(m + 1));// 防止溢出
    for (int i = 1; i <= n; ++i)
        for (int j = 1; j <= m; ++j)
            dp[i][j] = dp[i - 1][j] + dp[i][j - 1] + arr[i][j] - dp[i - 1][j - 1];
    
    // 3.使用前缀和矩阵
    int x1 = 0, y1 = 0, x2 = 0, y2 = 0;
    while (q--)
    {
        cin >> x1 >> y1 >> x2 >> y2;
        cout << dp[x2][y2] - dp[x1 - 1][y2] - dp[x2][y1 - 1] + dp[x1 - 1][y1 - 1] << endl;
    }
    return 0;
}
评论
添加红包

请填写红包祝福语或标题

红包个数最小为10个

红包金额最低5元

当前余额3.43前往充值 >
需支付:10.00
成就一亿技术人!
领取后你会自动成为博主和红包主的粉丝 规则
hope_wisdom
发出的红包
实付
使用余额支付
点击重新获取
扫码支付
钱包余额 0

抵扣说明:

1.余额是钱包充值的虚拟货币,按照1:1的比例进行支付金额的抵扣。
2.余额无法直接购买下载,可以购买VIP、付费专栏及课程。

余额充值