第 3 章 控制系统的稳定性判据
引言
本章将着重从传函入手,研究其参数对系统稳定性的影响。此前的章节对此已经有一定铺垫,如研究 ESR 对 Q 值的影响等,但在此章节将系统得推导诸如穿越频率、相位裕度等对判断系统稳定性更为直观的判据参数,并使用伯德图、奈奎斯特图等重要工具获取这些参数,以避免控制器振荡甚至发散
3.1 建立一个振荡器

如图是一个经典的带反馈回路的控制系统,当建立振荡器的时候 G(s) 不再是与 H(s) 级联的补偿器,而是反馈通路的传函,与本书其他框图中的 G(s) 有别需注意甄别。此语境下的系统传函如下

文中推导振荡器工作条件的公式没有错,但从更加直观的视角来看,振荡器的实质是信号通过了前向通道的输出,此输出作为中间输入经过反馈回路后幅值和相位均不变。则在幅值视角下可得 | H(s)G(s) | = 1 ,在相位视角下可得 arg(H(s)G(s)) = 360° ,考虑到加法器的反相输入,或是上述流程框图 G(s) 输出指向的减号,则输出的相位极性取反,获得 180° 的减值或者加值,可得到修正后的公式 arg(H(s)G(s)) = 180° ,与文中所推导的结论完全相同

系统是否振荡也可通过伯德图或者奈奎斯特图判断,在伯德图中,Tcl(s) 即环路增益曲线在穿越 0dB 频率点相位正好滞后 180°,在奈奎斯特中,曲线正好过 ( -1 , j0 ) 点

振荡器的制作步骤,首先找出 H(s) 中相位为 -180° 点,记为 fc 点,之后找出 fc 所对应的 dB 减值,最后设计简单增益如 OPA 作为补偿器,使得 dB 在 fc 处为 0
3.1.1 工作原理

如图是一个利用三阶 RC 低通滤波作为控制系统 H(s) 制作的振荡器,此振荡器需要补偿器 G(s) 提供增益再能工作,分析此电路网络依旧使用阻抗比分压法求解其电压增益的传函

由于是无源系统,其二阶三阶的传函必须要计算其输入阻抗,不能是同一个无输入阻抗的 RC 低通滤波传函级联相乘三次,H(s) 中,首级电路的传函的输入阻抗为 0,而次级的输入阻抗计算,是将电压输入信号置 0,从这一级的输入端看出去的等效阻抗,如次级传函的阻抗为 RC 并联值
获取其伯德图可以先通过 multisim 仿真,建立以下电路

只研究 H(s) 部分,利用波特仪得到其伯德图,可知相位 180° 左右频率值约为 40k ,对应幅值衰减越为 -30dB


若用纯增益环节作为 G(s) ,通过抬升幅频曲线,可以控制 40k 频率处的增益,当此处增益等于 0dB 时,信号将无衰减且无放大地通过这一系统永远存在

采用反向比例放大以及反相器的组合来改变信号增益,这种方式与差分比例放大相比参数更好调整,缺点是增加了一个放大器,在实际电路设计中是需要被优化的部分。接下来讨论带有增益补偿,即 G(s) 补偿器的三阶 RC 低通滤波构成的振荡器特性
计算三阶 RC 低通滤波的传函方式如下

由傅里叶级数相关知识可知,一个阶跃信号时可以被分解为包含了所有频段的正弦波的集合。在此系统中,对于高于相位延迟 180° 的频段,其增益会随着反馈急速地减小,最后输出为 0,对于低于相位延迟 180° 的频段,其增益虽然大于 1 ,理论上会被放大,但是相位本身就为其有效值作了相当的减值。只有距离 180°很近的部分,其增益带来的加值与相位带来的减值相抵的小频段将具有和相位偏移 180° 点同样的特性

通过限定 -180° 的位置的幅值增益,可以决定此振荡器输出的波形性质是收敛还是发散,也可以理解为此三阶 RC 功能为输入信号的选频以及减益,采用放大器来改变其减益值,以控制选频后的信号的幅值增益
将计算传函得出的结果输入到 matlab,获取其闭环条件下的阶跃响应



3.2 稳定性判据
穿越频率 fc 是 0dB 所在点,而截止频率(带宽)为 -3dB 点,两者通常相距很近,且都有限制输出频率范围的特性,故其在讨论中可以互换
降低穿越频率即降低带宽,即降低高频部分的增益或者是增加高频衰减,此举将有效消除高频输入噪声的影响,且能够一定程度上减弱高频零极点对系统的影响,这就是为什么第二章结尾作者称降低带宽可以有效降低 RHPZ 对系统带来的印象,而通常将其 fc 设定在 RHPZ 的 1/5 处

在振荡器中,最重要的指标是相位 -180° 点,而在想要得到稳定输出的电压控制器中,无论是从传函 Q 值视角或是刚才的相位视角,设计电路的目的都不是振荡而是稳定输出。从相位视角而言,0dB 点之前的所有频段都是被考虑的可能的输入信号,这些输入信号可能是设定值,也可能是噪声。输入值将与设定值相加,与噪声相减。由于在这些频段中增益并非为负,甚至低频段信号的增益还很大,故系统对这些信号均有不错的响应速度和强度。而这些量并没有致使系统响应走向发散的原因同样是因为相位,相位对信号同样具有减值
由于不同的相位值对于信号减值的效果不同,在伯德图中选取 fc 这一具有代表性的点(带宽点且通常是带宽下最低相位的频率点)所对应相位与振荡相位( 0 或 360°,考虑反向输入时的 ±180°)之间的差值,称作相位裕度。对于一般的系统 ,70°相位裕度是合适的值
此处伯德图写完第 4 章之后再来仿真
3.2.1 增益裕度和条件稳定

由于产品离散型以及温度等原因,环路增益可能会被外部参数影响而改变, 而环路增益将改变 0dB 点的位置,从而改变其对应的相位裕度。增益裕度可被理解为 0dB 点移动到 -180° 时的环路增益改变量

无条件稳定是指带宽内所有频段所对应的相位值均在一个合适的区间,有条件稳定是指穿越频率之前有频段的相位位置达到了危险的振荡临界值附近,但在一定条件下如 0dB 点的位置处相位裕度是合适的。通常认为在穿越频率之前有频段的相位值达到了振荡临界值的系统是不稳定的

3.2.2 最小和非最小相位系统

最小相位系统中仅有 LHP 的零极点,且伯德图的两张幅频曲线和相频曲线均可相互重现,此外伯德图本身也可以和传递函数相互重现。如图中未给出数据的左侧伯德图,已知其拥有一个 LHP 零点以及一个原点极点,通过其幅频曲线渐近线转折点可知零点位置,通过其原始增益可知其极点数值,则可分析出传函 G(s) = (1+s/(1000*2*pi))/(s/(40*2*pi)) ,根据此函数重新绘制伯德图可见其与原图完全相同

而对于非最小相位系统,则不能通过此方法将幅频和相频曲线相联系,因为你不知道当幅值变化的时候相频是处于上升还是下降。非最小相位系统的幅频特性曲线和替换右半平面点到左半平面相应位置的最小相位系统的曲线完全相同,但相位会相反,由于相位并非是像幅值一样仅影响此零极点向后的值,而是连带地影响了频率为 0 处以及高频处的值,这使得重现十分困难,稍微复杂的系统,依靠肉眼或者简单的数学计算几乎完全无法解读器相位信息

值得一提的是,若传函的所有的点都在右半平面,其相位关系和最小相位系统相反,幅频和相频曲线仍然是可以相互重现的
3.2.3 奈奎斯特图
对于书中所说非最小相位系统不能仅用伯德图研究,实际上不是因为伯德图所给的信息是错误的,而是因为读者很难仅通过伯德图对此系统进行研究
对于最小相位系统而言,仅需伯德图的一部分,即幅频或者相频曲线就可倒推整个系统函数(通常使用幅频),这是因为最小相位系统的幅值特性和相角特性具有唯一对应关系。但对于非最小相位系统,只能通过幅频曲线确定零极点位置 - 相频曲线确定零极点极性的方式判断。理论上而言,如果拥有一个非最小相位系统的幅频和相频曲线,确实可以通过一定的数学方法来获取其传函,但是这通常涉及到一些复杂的数学方法,不在作为工程师的考虑范围之内
若在最小相位系统伯德图中观察到 +1 斜率的幅值变化,则是零点在起作用,相位在一个零点之后 +90°,极点则相反,会导致 -1 斜率的幅值变化以及 -90° 相位变化,非最小相位系统的右半平面零极点的相位表现相反

对于奈奎斯特图, 和伯德图的振荡条件相近的,存在 “-1” 点可作为奈奎斯特图中的稳定性判据。奈奎斯特中每一个点都对应了一个频率所处的幅值和相位情况。幅值为距离 0 点的距离,相位为在极坐标中所处的角度。当曲线上的点位于振荡条件 “-1” 左侧时,代表系统的幅值已经超过了 1 ,且相位的影响不足以抵消幅值的溢出,系统将走向发散
与伯德图中相位裕度相似的,不能一直以 “-1” 点作为稳定性判据,此点仍然是考虑到反馈中的反向输入端极性才变为了负,当信号流过前向 - 反馈通路后极性若没有被翻转,此振荡条件应当是 “+1” 点,此时曲线右侧才被视为不稳定条件

仅根据奈奎斯特图不能复现出传递函数, 因为传函中最重要的变量,频率值并不能很好地在图中展现。而伯德图,无论是否是最小相位系统伯德图,理论上均可复现奈奎斯特图以及传函
3.2.4 从奈奎斯特图中提取基本信息
在奈奎斯特图中,曲线上的点离原点的距离为幅值信息,以原点为圆心绘制单位圆,与单位圆相交的点即为穿越角频率所对应的点,注意其数值并非是单位角频率的值,而是此频率下输出的特性参数,要得到此频率需要自行查找

对应伯德图中的相位裕度,奈奎斯特中相位裕度为(考虑负反馈下)穿越角频率所在相角与实轴负轴所对应的夹角。比较反直觉的是,在奈奎斯特图中越靠近 0 的部分频率值通常越大(除非系统发散),因此幅值裕度要在单位圆内寻找,如图曲线与实轴相交处可得到幅值裕度信息,幅值裕度原本表征了相位 -180° 情况下离 0dB 线相距距离

奈奎斯特图中,函数在 s 为 0 的时候是一个常数,一定位于实轴上某一个非零位置,而在无穷的时候一定收敛,而位于零,按理不可能呈现一条闭合曲线,但是 matlab 中其同时计算了正负频率,因此是一个对称的闭合曲线,与本书中呈现的不符,阅读时注意箭头方向仅阅读正频率单边即可

若想同时显示单位圆,可尝试在同一图形窗口添加如下代码
plot(cos(0:1e-3:2*pi), sin(0:1e-3:2*pi), 'r--');
若只想显示正频率部分的图形,考虑尝试使用另一可设置绘制范围函数代替
setoptions(nyquistplot(sys_cl), 'ShowFullContour','off');
3.2.5 模值裕度

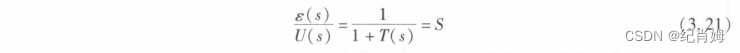
灵敏度函数揭示了闭环传函的极点,或是单次前向通路 T(s) = H(s)G(s)(负反馈输入下)的距离不稳定点的距离的倒数,此数值越大,代表传函越容易走向振荡(正反馈通路为 -1 ),此数据正好也是误差信号从输出端进入系统的响应,误差信号回到输入只需要过一次前向通道

当灵敏度函数再次乘以前向反馈通路后,获得误差信号从输入端进入系统的响应,误差信号经过一次前向通道后等于从输出端进入的信号,两者都可以通过叠加原理计算

此处仿真读第四章的时候做

3.3 动态(暂态)响应、品质因数和相位裕度
品质因数和相位裕度都是用于判定动态响应的重要指标,接下来一一详细介绍
振荡信号衰减的快慢取决于网络的品质因数 Q 值,或者阻尼比 ζ ,采用 Q 或者 ζ 来量化网络中的欧姆损耗,Q 高或 ζ 低,代表低损耗,阻尼较小,可能会产生振铃;Q 低或 ζ 高,代表高损耗,阻尼较大,不易发生振铃现象
Q < 0.5 或 ζ > 1,系统具 2 实数负根,系统过阻尼;Q = 0.5 或 ζ > 1,系统具 2 实数重合负根,系统临界阻尼,此种情况为系统无超调下的的最快响应速度;Q > 0.5 或 ζ < 1,系统具 2 共轭复根,系统欠阻尼,实部成为欧姆损耗,此时出现超调,但是响应更快,且响应是振荡但稳定的;Q 趋向无穷 或 ζ 归零,系统具 2 共轭纯虚数根,系统无阻尼永续振荡
3.3.1 二阶 RLC 电路

文中在此首次提及了阻抗比分压法,由于这是一个三种阻抗原件直接串联组成的电路,因此此方法在此尤为适用,计算得到的传函,以及从其中可提取的有用参数如下

已知确定一个无零点的二阶系统的传函实际上只需要求得两个未知量,即品质因数 Q 或称为 阻尼比 ζ ,以及固有频率点 w0 。此式子中两者均是直接给出。又因为 w0 的值是由 C 与 L 的值决定、Q 由 w0 和 R 决定,因此设定了 L 的值,并从 w0 得出 C ,从 Q 得出 R ,进而通过定制二阶系统的参数而构造了实际的 RLC 电路
接下来放弃这些参数,仅通过 R 、L 、C 元件的值来构造相应的传函,式子如下

由此可计算根

或者用 Q 和 w0 表示

上述的阻尼从高到低的 4 种状态,过阻尼、临界阻尼、欠阻尼、无阻尼均可在根轨迹图中得出,其分别对应着下图 a b c d 4 个区域

可假定悬空的 Q 值 Q.test ,w0 采用书中所给电路值,绘制出其根轨迹图

对于所有正固有频率的根轨迹图,Q 值在大于 0 的范围内变化,都应当符合上两张图的形状,但是固有频率和 Q 值在数学软件中也可以是负数,固有频率和 Q 值任何一个变量为负数时,根轨迹图的方向将被取反,但在实际情况下这两个值都是非负的
3.3.2 二阶系统的瞬态响应
求解上述传函的阶跃响应,则将传函与阶跃输入的拉氏变换式相乘,逆变换后可得到响应的拉式变换式,进而研究其性质

进而得到阻尼角频率 wd ,其应当来自于此系统的阶跃响应中的正弦组成部分,但 mathcad 给出的逆变换表达式应该是对的,而化简起来太麻烦了,甚至不如手算

若要通过时域式子反推其拉普拉斯变换,给出变换式和逆变换式同样复杂,并且一直没有找到除了从程序层面重复部分分式展开以及留数法求解原本的方程之外的方式来获取较为正常的变换式子的方法,在此直接引用书中结论,使用 mathcad 的变换式子只有在数值计算的时候是准确且直观简练的

wd 显示了输出波形的频率,而 θ 显示了初始时刻的相位。当系统固有频率一定时,调节 R 可以调节其 Q 值,Q 值越大则 wd 越大,则代表其振荡频率越大,且初始相位越接近于 π/2
close all; clc; clear;
time = linspace(0, 350e-6, 5000);
w = 1.15*10^5;
Q = {0.1,0.5,1,2,5};
step_input = stepfun(time,0).*1; step_start = 0;
figure; hold on; xlim([min(time) max(time)]); ylim([0 2]);
for cycle = 1:5 plot(time,lsim(tf(1,[1/w/w,1/w/Q{cycle},1]),step_input,time,step_start)); end;
grid on;
采用上示代码可以得到图像,与原书吻合

将 Q 值设定为 2 ,可以得到较具有代表性的欠阻尼输出图像如下

通过此响应图像可以得到系统暂态响应的关键参数:上升时间、峰值时间、最大调超百分比、调节时间、延迟时间等,根据其定义可以计算得到基于阻尼比和固有频率的具体的数值如下

值得注意的是,这些数值仅针对欠阻尼系统,而对于过阻尼系统而言,其上升时间与欠阻尼定义有别,且不存在峰值时间、超调、对数衰减等参数

品质因数越大或阻尼比越小,得到的超调量或者振荡现象越严重,且对于欠阻尼系统而言,其拥有多个极大值,仅对输出的最终稳态值的上侧曲线做研究,通过计算可以得到极大值的周期以及其具体值的序列,此序列应当是无限的,但是对于低于可容忍的误差范围内的值将不予考虑。同时,根据相邻的峰值可以提取 Q 或 ζ 的信息,测量两个尖峰之间的时间间隔可得到谐振频率

为了验证上述所有式子,可在 matlab 中添加以下代码以获取本例的峰峰值等信息
plot(time,lsim(tf(1,[1/w/w,1/w/Q{5},1]),step_input,time,step_start));
[pks,locs] = findpeaks(lsim(tf(1,[1/w/w,1/w/3.6,1]),step_input,time,step_start)); disp(pks);
得到数据如下:8.2182 6.3333 5.5523 5.2288 ,得到图像如下

再通过为 mathcad 幅值得到数据与输出波形进行比对

得到如下数据,与书中吻合

3.3.3 相位裕度和品质因数

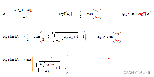
如图是本书最为常见的变换器系统,其传函零极点可由 G(s) 的设计而确定,一般地,在设计其传函时会再原点处增加一个极点,在穿越频率后再增加一个极点,前者是为了尽量减少直流的静态误差,后者是为了进一步降低高频的干扰信号,于是若只考虑 fc 左右的小频段范围,可认为系统仅存在上述两个极点

此双极点配置及其闭环传函表示如下

老办法计算系统的闭环 Q 值以及谐振频率,谐振频率此处用 wr 表示,此式中 w0 为原点极点值

接下来求解此闭环系统的穿越角频率 wc ,即 0dB 所对应的角频率

mathcad 的符号运算结果永远为 π,正确的结果只有代值时才准确

引用书中的公式进而计算相位裕度,理由同上符号计算值复杂且不准确

引用书中关于开环相位裕度以及闭环品质因数的表达式表达式

开环相位裕度可以由 w0 以及 w2 决定,而闭环 Q 值可以由开环相位裕度决定,得到下图所示图像

在 matlab 中输入如下代码,可得到 fc 附近双极点闭环响应增益以及开环相位裕度的关系
close all; clc; clear;
Pm = {10,20,30,45,89};
wr = 1;
handle = figure; hold on;
for cycle = 1:5
Qc{cycle} = sqrt(cos(Pm{cycle}/360.*2.*pi))/sin(Pm{cycle}/360.*2.*pi);
margin(tf(1,[1/wr/wr,1/wr/Qc{cycle},1]))
set(findall(handle, 'Type', 'axes'), 'YLim', [-20, 20]);
end;
grid on;
关系如下,wr 可自行随意设置

最大超调量可以通过下式计算

由于 Qc 和开环相位裕度挂钩,开环裕度也可以代表闭环的暂态响应性质,当 Qc = 0.5 时,开环相位裕度约为 76°。当开环 pm 大于这个值的时候响应将更加缓慢,小于此值响应将出现超调但反应更快,与此同时 Mm 即 fc 处的增益尖峰就会越大
3.3.4 开环系统相位裕度测量

若想研究闭环系统的穿越频率、相位裕度等参数,需要打开环路对电路进行测量,打开环路后根据传函定义可以得到组成此闭环系统的模块的子传函如 H(s) 、G(s) 等,然而获取闭环传函参数的最为简单的方式实际上是仿真软件计算
此时依旧需要重提一个重要的概念,即相位裕度是指 fc 处相位距离振荡点处相位的距离,而不是距 0° 或者 180° 间距离,只有考虑到奇数个反向输入且系统的所有原点零极点都被写入传函的时候才设定 180° 为振荡点

3.3.5 开关变换器的相位裕度

文中所提及的 k 因子法为已知需要构建的传函零极点,利用 OPA 元件性质计算构造对应电路所需电阻电容等元件的参数方法,计算后的参数如上图所示,之后将使用 PSIM 进行仿真

以上探讨的均是仅考虑 fc 周围小频段处的系统性质,当系统拥有其他零极点使得此处性质发生改变时吃段分析将不能代表系统
3.3.6 变换器的控制延时
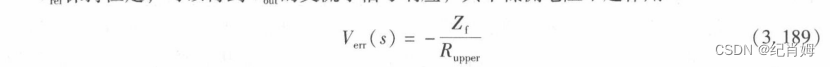
接下来开始补全系统其他所需要注意的参数,首先是系统群延时,以脉宽调制器为例,其电路图如下,其输入信号为 verr 误差电压,输出信号为 PWM 脉宽波,将这一系统体现在控制系统中时存在不可忽视的增益 1/Vpeak
脉宽调制器工作时一定会存在为寄生电容充电以及开关切换等环节为其增加的延时,延时可在拉普拉斯变换中表示为相移,在 matlab 中可以通过 pade 函数一阶近似得到模拟延时效果
[mun,den] = pade(delay_time,1);
delay_tf = tf(mun,den);
sys = sys.*delay_tf;
曲线如下所示,幅频上没有任何衰减,但是相位将衰减到最高 -180°

在 multisim 仿真中可以通过模拟理想运放获取延时模块如下

注意其中用于模拟极点的 OPA 增益不要过大,会出现失真等问题

参数配置如上图所示即可,仿真结果如下,幅频一直不变相频下降 270 度,多余的下降数是因为加法器存在一个反相输入端


输出波形如下图所示

可看到输出输入波形确实存在一定延迟且并未失真 ,至于幅频的恒定加值是没有调整最后的反向比例器到最精确的状态
3.3.8 延时裕度与相位裕度
对于高频变换器而言,延时对于系统的影响将不容忽视,延时将改变系统的相位从而改变系统的相位裕度进而影响其瞬态响应。于是引入延时裕度以研究系统的稳定性

在高速 DC-DC 变换器中考虑延时裕度比相位裕度更好,原因是延时裕度本身就包含了相位裕度的信息,通过延时裕度和输入信号周期的比值可以判断系统稳定性

变换器相关的仿真之后再做
3.4 选取穿越频率
可以将一个变换器系统的闭环响应视为一个二阶传函,输入的信号将通过一个低通滤波器输出,而此滤波器的带宽可以被人为决定,使用 fc 或者截止频率用于近似地量化带宽的量,值得注意的点是,穿越频率和截止频率相等时(如一阶无源 RC 滤波)相位裕度为 90° 反之亦然;欠阻尼系统(Q 值大于 0.5 ,系统瞬态存在振荡)的闭环带宽约为开环 fc 的 1.5 倍;通常将 fc 放置在开关频率的 1/5 或 1/10 处以抑制开关频率的低次纹波;穿越频率和输出阻抗也有联系
3.4.1 简化的 Buck 电路
此电路原理可见参考书《模电》 ,简化的 Buck 电路表示方法如下

计算电路的输出阻抗的传递函数的快速分析方法可见本书 P162 附录 4A ,此处直接计算下图电路阻抗

顺便验证 P165 公式,采用 P87 图中参数

得到伯德图如下

将串联等效电阻改小可以得到更尖的尖峰

尖峰的尖锐程度和 Q 值密切相关,Q 越大,谐振峰越尖锐

变换器相关仿真写完第四章解决
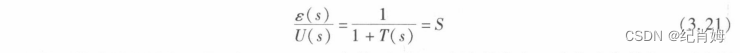
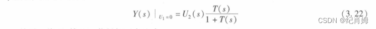
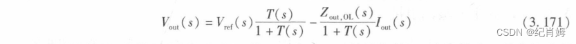
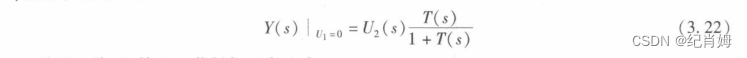
3.4.2 闭环下的输出阻抗
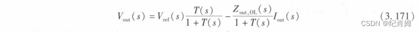
此处提供了闭环系统简化示意图,控制量即输入量变为恒定电压 Vref,系统前向电路首先输出电流量,再用输出负载转化为电压量

进行简单推导可得到此闭环系统传函,其中 T(s) = G(s)H(s)

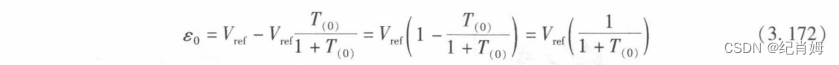
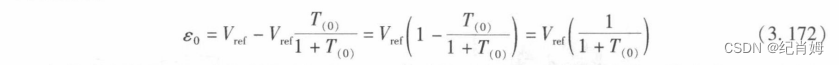
静态误差可被表示为如下形式,当增加原点极点的时候此项约为 0

此外,存在原点极点时闭环输出阻抗也将趋近于 0,而在高频段原点极点将失去其减少闭环阻抗的作用

变换器相关仿真写完第四章解决
3.4.3 穿越频率处的闭环阻抗
在仅考虑 fc 左右小频段范围的两个极点,可以得到用相位裕度表示的 fc 处输出阻抗值,此时也正好是上图开环和闭环输出阻抗重合的位置

根据此表达式可以用于根据变换器输出电压跌落来设计穿越频率,已知相位裕度越小,系统 Q 值越大,电压跌落值(超调量)越大,当限制了超调量时,意味着同时限制了相位裕度,相位裕度可根据上式求得 fc 值

3.4.4 缩放参考值以获得所需要的输出
对于大多数变换器而言,输出值和参考值之间差距很大,此时需要分压来获取合适的值,此处分压同时也将决定输入电压的比例增益

简单分析电路可得到下列式子,此式子仅在交流情况下相等,直流情况下不可忽视 Vref 以及 Rlower 等参数

若将此式子添加进控制器,可以得到以 α 表示的各项参数,也可就此得到变换器的各项参数及其伯德图与阶跃响应



变换器相关仿真写完第四章解决
3.4.5 进一步提高穿越频率

在保证系统稳定性的前提下,系统的穿越频率越高, 电容所带来的电压跌落的比例将越高,其响应速度将更快,跌落越低
3.5 总结
实际上任何系统,包括非最小相位系统均可由幅值和相位裕度来判定其稳定性,不过当需要考虑无条件稳定的时候不能仅关注 fc 处的相位等参数,还需要对 fc 之前的所有频率进行分析,保证在每一个频段下的特性都是符合要求的,同时如延时等模块也可以通过 pade 近似被写入传函进行分析
本文着重从传函入手,研究其参数对系统稳定性的影响。推导了穿越频率、相位裕度等判据参数,介绍了振荡器的建立与工作原理,分析了稳定性判据、动态响应、品质因数等内容,还探讨了穿越频率的选取及相关电路的特性,可通过幅值和相位裕度判定系统稳定性。
2377

被折叠的 条评论
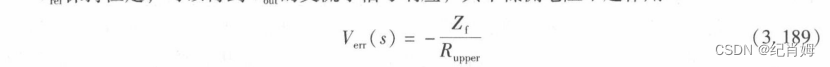
为什么被折叠?



