PAT乙级练习题1012 数字分类

该博客介绍了一个C++程序,用于处理输入的一组正整数,按特定规则进行分类和计算。程序首先读取不超过1000的正整数N,然后对N个正整数进行分类:偶数之和、被2除余1的数的交替求和、被5除余2的数的个数、被5除余4的数的平均值以及最大值。博客中提到了常见的编程陷阱,如误将第一个数字纳入计算和输出格式错误,并给出了修复这些问题的方法。此外,还回顾了C++格式化输出浮点数的技巧。

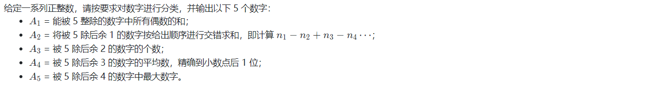
题目

在这里插入图片描述

输入格式:

每个输入包含 1 个测试用例。每个测试用例先给出一个不超过 1000 的正整数 N,随后给出 N 个不超过 1000 的待分类的正整数。数字间以空格分隔。

输出格式:

在这里插入图片描述

输入样例 1:

13 1 2 3 4 5 6 7 8 9 10 20 16 18

输出样例 1:

30 11 2 9.7 9

输入样例 2:

8 1 2 4 5 6 7 9 16

输出样例 2:

N 11 2 N 9

踩坑:

按照题意逻辑输出即可,但开始审题不清,以为第一个数字也是要计算的数字,结果程序输出错了。另外最后一行如果输出“N”,也忘了去掉空格,导致程序格式错误。数组容量根据题意设为1000,否则会越界(运行时错误)。

代码:

#include <iostream>
#include <cmath>
using namespace std;

int main(){
    int n;
    int num;
    int even_sum = 0;
    int count = 0;
    int A2[1000];
    int A4[1000];
    int A5[1000];
    
    int k = 0;
    int l = 0;
    int m = 0;
    cin >> n;
    for(int i = 0; i < n; ++i){
        cin >> num;
        switch(num%5){
            case 0:
                if(num%2 == 0)
                    even_sum += num;
                break;
            case 1:
                A2[k] = num;
                ++k;
                break;
            case 2:
                ++count;
                break;
            case 3:
                A4[l] = num;
                ++l;
                break;
            case 4:
                A5[m] = num;
                ++m;
                break;
        }
    }
    
    if(even_sum == 0){
        cout << "N" << " ";
    }
    else{
        cout << even_sum << " ";
    }
    
    if(k == 0){
        cout << "N" << " ";
    }
    else{
        int cal = A2[0];
        for(int i = 1; i < k; ++i){
            if(i%2 == 0){
                cal += A2[i];
            }
            else{
                cal -= A2[i];
            }
        }
        cout << cal << " ";
    }
    
    if(count == 0){
        cout << "N" << " ";
    }
    else{
        cout << count << " ";
    }
    
    if(l == 0){
        cout << "N" << " ";
    }
    else{
        int cal = 0;
        for(int i = 0; i < l; ++i){
            cal += A4[i];
        }
        //cal*1.0隐式转换为浮点数
        printf("%0.1f ", cal*1.0/l);
    }
    
    if(m == 0){
    	//最后一行没空格
        cout << "N";
    }
    else{
        int cal = A5[0];
        for(int i = 1; i < m; ++i){
            if(cal < A5[i])
                cal = A5[i];
        }
        cout << cal;
    }
    
    cout << endl;
    
    return 0;
}

学到和回忆了:

  • C++格式化输出浮点数
#include <iomanip>  //控制小数位数的头文件
cout<<fixed<<setprecision(1)<<a[3]/flag;//输出一位小数
评论
添加红包

请填写红包祝福语或标题

红包个数最小为10个

红包金额最低5元

当前余额3.43前往充值 >
需支付:10.00
成就一亿技术人!
领取后你会自动成为博主和红包主的粉丝 规则
hope_wisdom
发出的红包
实付
使用余额支付
点击重新获取
扫码支付
钱包余额 0

抵扣说明:

1.余额是钱包充值的虚拟货币,按照1:1的比例进行支付金额的抵扣。
2.余额无法直接购买下载,可以购买VIP、付费专栏及课程。

余额充值