目录
1 线性回归
线性回归(Linear regression)是利用回归方程(函数)对一个或多个自变量(特征值)和因变量(目标值)之间关系进行建模的一种分析方式。
- 特点:只有一个自变量的情况称为单变量回归,大于一个自变量情况的叫做多元回归。

那么怎么理解呢?我们来看几个例子:
- 期末成绩 = 0.7×考试成绩+0.3×平时成绩
- 房子价格 = 0.02×中心区域的距离 + 0.04×城市一氧化氮浓度 + (-0.12×自住房平均房价) + 0.254×城镇犯罪率
上面两个例子,我们看到特征值与目标值之间建立的一个关系,这个可以理解为回归方程。
1.1 线性回归的特征与目标的关系分析
线性回归当中的关系有两种,一种是线性关系,另一种是非线性关系。在这里我们只能画一个平面更好去理解,所以都用单个特征举例子。
- 线性关系


注释:如果在单特征与目标值的关系呈直线关系,两个特征与目标值呈现平面的关系 。
- 非线性关系

如果是非线性关系,那么回归方程可以理解为:
1.2 线性回归的损失和优化原理
假设刚才的房子例子,真实的数据之间存在这样的关系 :
真实关系:真实房子价格 = 0.02×中心区域的距离 + 0.04×城市一氧化氮浓度 + (-0.12×自住房平均房价) + 0.254×城镇犯罪率
那么现在呢,我们随意指定一个关系(猜测):
随机指定关系:预测房子价格 = 0.25×中心区域的距离 + 0.14×城市一氧化氮浓度 + 0.42×自住房平均房价 + 0.34×城镇犯罪率
请问这样的话,会发生什么?真实结果与我们预测的结果之间是不是存在一定的误差呢?类似这样样子:

那么存在这个误差,我们将这个误差给衡量出来。
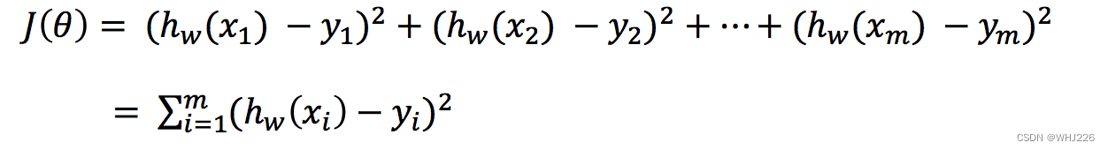
损失函数 :
总损失定义为:

- y_i为第i个训练样本的真实值
- h(x_i)为第i个训练样本特征值组合预测函数
- 又称最小二乘法
如何去减少这个损失,使我们预测的更加准确些?既然存在了这个损失,我们一直说机器学习有自动学习的功能,在线性回归这里更是能够体现。这里可以通过一些优化方法去优化(其实是数学当中的求导功能)回归的总损失!!!
拓展:线性回归的损失函数用最小二乘法,等价于当预测值与真实值的误差满足正态分布时的极大似然估计;岭回归的损失函数,是最小二乘法+L2范数,等价于当预测值与真实值的误差满足正态分布,且权重值也满足正态分布(先验分布)时的最大后验估计;LASSO的损失函数,是最小二乘法+L1范数,等价于等价于当预测值与真实值的误差满足正态分布,且且权重值满足拉普拉斯分布(先验分布)时的最大后验估计
1.3 优化算法
如何去求模型当中的W,使得损失最小?(目的是找到最小损失对应的W值)
线性回归经常使用的两种优化算法
- 正规方程(学霸型)
![]()
理解:X为特征值矩阵,y为目标值矩阵,直接求到最好的结果。
缺点:当特征过多过复杂时,求解速度太慢并且得不到结果。

- 梯度下降(Gradient Descent)(努力型)

理解:α为学习速率,需要手动指定(超参数),α旁边的整体表示方向。
沿着这个函数下降的方向找,最后就能找到山谷的最低点,然后更新W值。
使用:面对训练数据规模十分庞大的任务 ,能够找到较好的结果。
1.4 线性回归API
- sklearn.linear_model.LinearRegression(fit_intercept=True)
- 通过正规方程优化
- fit_intercept:是否计算偏置
- LinearRegression.coef_:回归系数
- LinearRegression.intercept_:偏置
- sklearn.linear_model.SGDRegressor(loss="squared_loss", fit_intercept=True, learning_rate ='invscaling', eta0=0.01)
- SGDRegressor类实现了随机梯度下降学习,它支持不同的loss函数和正则化惩罚项来拟合线性回归模型。
- loss:损失类型
- loss=”squared_loss”: 普通最小二乘法
- fit_intercept:是否计算偏置
- learning_rate : string, optional
- 学习率填充
- 'constant': eta = eta0
- 'optimal': eta = 1.0 / (alpha * (t + t0)) [default]
- 'invscaling': eta = eta0 / pow(t, power_t)
- power_t=0.25:存在父类当中
- 对于一个常数值的学习率来说,可以使用learning_rate=’constant’ ,并使用eta0来指定学习率。
- SGDRegressor.coef_:回归系数
- SGDRegressor.intercept_:偏置
1.5 波士顿房价预测
- 数据介绍


分析:
回归当中的数据大小不一致,是否会导致结果影响较大,因此需要做标准化处理。同时我们对目标值也需要做标准化处理。
- 数据分割与标准化处理
- 回归预测
- 线性回归的算法效果评估
回归性能评估:
均方误差(Mean Squared Error,MSE)评价机制:

注:y_i(下标)为预测值, 为真实值。
sklearn.metrics.mean_squared_error(y_true, y_pred)
- 均方误差回归损失
- y_true:真实值
- y_pred:预测值
- return:浮点数结果
流程分析:
1)获取数据集
2)划分数据集
3)特征工程:标准化(无量纲化)
4)预估器流程
fit()--->模型
coef_
intercept_
5)模型评估
代码如下:
from sklearn.datasets import load_boston
from sklearn.model_selection import train_test_split
from sklearn.preprocessing import StandardScaler
from sklearn.linear_model import LinearRegression,SGDRegressor
from sklearn.metrics import mean_squared_error
def linear1():
"""
正规方程的优化方法对波士顿房价进行预测
:return:
"""
# 1)获取数据
boston = load_boston()
# 2)划分数据集
x_train, x_test, y_train, y_test = train_test_split(boston.data, boston.target, random_state=22)
# 3)标准化
transfer = StandardScaler()
x_train = transfer.fit_transform(x_train)
x_test = transfer.transform(x_test) # 训练集fit,测试集不fit,因为实际我们不知道要分类的未知数据,所以标准化的平均值和标准差只能用测试集的
# 4)预估器
estimator = LinearRegression()
estimator.fit(x_train, y_train)
# 5)得出模型
print("正规方程权重系数为:\n",estimator.coef_)
print("正规方程偏置为:\n", estimator.intercept_)
# 6)模型评估
y_predict = estimator.predict(x_test)
print("预测房价:\n",y_predict)
error = mean_squared_error(y_test,y_predict)
print("正规方程-均方误差为:\n",error)
return None
def linear2():
"""
梯度下降的优化方法对波士顿房价进行预测
:return:
"""
# 1)获取数据
boston = load_boston()
# 2)划分数据集
x_train, x_test, y_train, y_test = train_test_split(boston.data, boston.target, random_state=22)
# 3)标准化
transfer = StandardScaler()
x_train = transfer.fit_transform(x_train)
x_test = transfer.transform(x_te
本文详细探讨了机器学习中的回归与聚类算法,包括线性回归的原理、损失与优化,以及岭回归的改进。讨论了欠拟合与过拟合的概念及其解决办法,介绍了逻辑回归在二分类问题的应用。此外,还讲解了K-means算法的原理和性能评估指标。通过对这些经典算法的深入理解,有助于提升机器学习模型的预测与分类能力。
最低0.47元/天 解锁文章
——回归与聚类算法(补充)&spm=1001.2101.3001.5002&articleId=126167460&d=1&t=3&u=e32e7e8fa28743b289a9f8291dd4eb9d)
2020

被折叠的 条评论
为什么被折叠?



