系列论文研读目录
例如:
摘要
多模态多标签情感识别(Multi-modal multi-label emotion recognition,MMER)是从多种模态中识别相关情感的方法。MMER面临的挑战是如何从异构数据中有效地捕获多个标签的区别性特征。近年来的研究主要致力于探索各种融合策略,以将多模态信息整合为所有标签的统一表示。然而,这样的学习方案不仅忽略了每个模态的特异性,而且不能捕获不同标签的个体区别特征。此外,标签和模态的依赖性不能被有效地建模。针对这些问题,这篇论文为MMER任务提出了一种动特征重构和聚合(ContrAstive feature Reconstruction and AggregaTion ,简称CARAT)。具体地说,我们设计了一种基于重构的融合机制,通过对比学习模态分离和标签特定的特征,更好地建模细粒度的模态-标签依赖性。为了进一步挖掘模态互补性,我们引入了一种基于shuffle的聚合策略来丰富标签间的共现协作。在两个基准数据集CMU-MOSEI和M3 ED上的大量实验表明,CARAT方法优于最先进的方法。代码可在https://github.com/chengzju/CARAT上获得。
引言
多模态多标签情感识别(MMER)的目的是识别多种情感(例如,快乐和悲伤)从多个异质模态(例如,文本、视频和音频)。在过去的几十年里,MMER推动了许多社区的研究,如在线聊天(Galik和Rank 2012)、新闻分析(Zhu、Li和Zhou 2019)和对话系统(Ghosal等人2019)。
与单模态任务不同,多模态学习协同处理来自不同来源的异构信息,这就带来了如何从多模态中获取区别性表征的挑战。为此,最近的工作提出了各种先进的多模态融合策略,以弥合模态差距并学习有效的表征(Ramachandram和Taylor 2017)。根据融合方式,方法大致可分为三类:基于聚合的、基于比对的和两者的混合(Baltruˇsaitis、Ahuja和Morency 2019)。基于聚合的融合采用平均(Hazirbas等人,2017)、级联(Ngiam等人,2011)或注意(Zadeh等人,2018 a)来整合多模态特征。基于对齐的融合(Pham et al. 2018,2019)采用跨模态自适应来对齐不同模态的潜在信息。然而,将多个情态统一为同一表征,必然会忽略每个情态的特殊性,从而失去其丰富的区分特征。尽管最近的研究(Hazarika,Zimmermann,and Poria 2020; Zhang et al. 2022)试图学习特定模态的表征,但他们仍然利用注意力将这些表征融合为一个。因此,如何在保持模态特异性的同时有效地表示多模态数据并整合互补信息是MMER的一个关键挑战。
作为一项多标签任务(Zhang and Zhou 2013),MMER还需要处理标签间复杂的依赖关系。如今,大量研究尝试了各种方法来探索标签相关性,例如标签相似性(Xiao et al. 2019)和共现标签图(Ma et al. 2021)。然而,这些静态相关性并不能反映标签间的协作关系。另一方面,MMER的另一个棘手难题是如何学习标签和模态之间的依赖关系。通常,不同的模态具有不一致的情感表达,相反,不同的情感集中在不同的模态上,这意味着推断每个潜在标签在很大程度上取决于不同模态的不同贡献。如图1所示,我们可以更容易地从视觉模态推断悲伤,而厌恶可以从文本模态和视觉模态预测。因此,MMER的另一个挑战是如何有效地建模标签到标签和模态到标签的依赖性。
为了解决这些问题,我们为MMER任务提出了一个基于对比特征重构和聚合的(CARAT)模型,它在一个连贯和协同的框架中协调表示学习和依赖建模。具体而言,我们的框架CARAT包含三个关键组件。首先,我们采用标签式注意机制分别提取每个模态中的标签特有表征,目的是在保持模态特有性的同时,捕获每个标签的相关区别特征。其次,为了协调多模态信息的互补性和特异性,我们提出了一种基于重构的融合策略,试图通过利用来自多模态的信息来生成任意模态的特征。我们利用对比学习(Khosla et al. 2020)(在既往MMER文献中未探索)促进模态分离和标签特异性特征的学习。第三,在重构嵌入的基础上,提出了一种新的基于样本和模态的标签混洗策略,以丰富标签间的共生依赖关系。在混洗之后,聚合嵌入以微调鲁棒鉴别器。此外,在模态-标签依赖建模方面,我们采用了一种最大类池网络来发现每个样本中不同情绪的最相关模态,并促使这些对应的表征更具区分性。本文的主要贡献可概括如下:·提出了一种新的基于对比度特征的特征重构与融合框架。据我们所知,这项工作开拓了利用对比学习促进基于特征重构的多模态融合机制。作为该方法的一个组成部分,我们还引入了一种基于洗牌的特征聚合策略,该策略使用重构的嵌入来更好地利用多模态互补性。·为了保持模态的特异性,CARAT通过标签式注意从不同的模态中独立地提取标签特异性表征。然后,通过一个最大类池网络来选择与每个情绪最相关的模态表示,以探索模态和标签之间的潜在依赖关系。·我们在两个基准数据集CMU-MOSEI和M3ED上进行了实验。实验结果表明,我们提出的方法优于以往的方法,达到了最先进的性能。

图1:MMER(左)和两个相关情绪与视频序列(右)之间的相关性的示例。
相关作品
多模态学习旨在构建能够处理和关联来自多个模态的信息的模型(Baltruˇsaitis、Ahuja 和 Morency,2019年)。一个基本的挑战是如何有效地融合多模态信息。根据融合方式,方法大致可以分为三类:基于聚合的方法、基于对齐的方法和混合方法。基于聚合的方法使用拼接(Ngiam等人,2011年)、张量融合(Zadeh等人,2017年;Liu等人,2018年)和注意力机制(Zadeh等人,2018a年)来结合多种模态,但容易受到模态差距的影响。为了弥合这种差距,基于对齐的融合(Pham等人,2018年,2019年)通过构建联合嵌入空间来实现潜在的跨模态适应。然而,基于对齐的融合忽视了每种模态的特性,导致判别信息的遗漏。
多标签情感识别是一个基础的多标签(ML)任务,且ML方法可以迅速应用。BR(Boutell等人,2004年)将ML任务分解为多个二分类任务,但忽略了标签之间的关联性。为了利用标签之间的关联性,提出了LP(Tsoumakas和Katakis,2006年)、CC(Read等人,2011年)和Seq2Seq(Yang等人,2018年)等方法。为了进一步探索标签之间的关系,最近的研究采用了强化学习方法(Yang等人,2019年)、多任务模式(Tsai和Lee,2020年)和图卷积网络(GCN)模型(Chen等人,2019b年)。另一个重要任务是学习有效的标签表示。为了弥补单一表示无法捕捉所有标签判别性信息的问题,最近的研究(Chen等人,2019a,b)利用了标签特定的表示方法,以捕捉每个标签最相关的特征,这在许多研究中得到了成功应用(Huang等人,2016年;Xiao等人,2019年)。
对比学习(CL)是一种有效的自我监督学习技术(Li等人,2021; Oord、Li和Vinyals,2018; Hjelm等人,2019)。CL的目标是学习一个有区别的潜在空间,其中相似的样本被拉在一起,不相似的样本被推开。受CL在无监督学习中的成功应用(Oord,Li,and Vinyals 2018; He et al. 2020)的激励,设计了监督对比学习(SCL)(Khosla et al. 2020),以促进一系列监督任务。最近,CL已被应用于多模态任务,以加强不同模态特征之间的相互作用(Zheng等人,2022; Franceschini等人,2022; Zolfaghari等人,2021)。然而,在多标签情境下,对多模态任务的对比学习还没有相关的研究。
方法论
在本节中,我们将描述我们的CARAT框架,它包括三个顺序组件(如图2所示)。

图2 CARAT的整体结构有三个连续的步骤(上面部分)。两级特征重构网络、对比表示学习网络和类最大池网络的详细实现(下面部分)。
问题定义
我们为MMER定义符号。设 χ t ∈ R n t × d l \chi^{t}\ \in\ \mathbb{R}^{n_{t}\times d_{l}} χt ∈ Rnt×dl, χ v ∈ R n v × d v \chi^{v}\ \in\ \mathbb{R}^{n_{v}\times d_{v}} χv ∈ Rnv×dv和 χ a ∈ R n a × d a \chi^{a}\ \in\ \mathbb{R}^{n_{a}\times d_{a}} χa ∈ Rna×da分别为文本 ( t ) (t) (t)、视觉 ( v ) (v) (v)和声学 ( a ) (a) (a)模态的异构特征空间,其中 n m n_m nm和 d m d_m dm分别表示序列长度和模态维数( m ∈ { t , v , a } m ∈\{t,v,a\} m∈{t,v,a}用于表示任何模态). Y Y Y是带有 C C C标签的标签空间。给定训练数据集 D = { ( X i { t , v , a } , y i ) } i = 1 N D=\{({\bf X}_{i}^{\{t,v,a\}},y_{i})\}_{i=1}^{N} D={(Xi{t,v,a},yi)}i=1N,MMER旨在学习函数 F : X t × X v × X a ↦ Y \mathcal{F}:{\mathcal{X}}^{t}\times\mathcal{X}^{v}\times\mathcal{X}^{a}\mapsto\mathcal{Y} F:Xt×Xv×Xa↦Y以预测每个视频的相关情绪。具体地, X i m ∈ X m X_i^m ∈ X^m Xim∈Xm是异步协调话语序列,并且 y i = { 0 , 1 } C y_i =\{0,1\}^C yi={0,1}C是多热标签向量,其中符号 y i , j = 1 y_{i,j} =1 yi,j=1指示样本 i i i属于类别 j j j,否则 y i , j = 0 y_{i,j} =0 yi,j=0。
单模态标签特征提取
作为第一步,该组件旨在为每个模态中的每个标签提取相关的判别特征。
基于transformer的提取器。对于每个模态 m m m,我们使用独立的Transformer编码器(Vaswani等人,2017)将原始特征序列 X m ∈ R n m × d m X^{m}\in\mathbb{R}^{n_{m}\times d_{m}} Xm∈Rnm×dm映射到高级嵌入序列 H m ∈ R n m × d { H}^{m}\in\mathbb{R}^{n_{m}\times d} Hm∈Rnm×d。每个编码器由 l m l_m lm个相同的层组成,其中每个层由两个子层组成:多头自注意子层和位置前馈子层。在两个子层中的每一个周围采用残差连接(He等人,2016),然后进行层归一化。
多标签注意。考虑到每种情感通常由话语中最相关的部分来表达,我们为每种情感生成标签特定的表示,以捕获最关键的信息。在获得嵌入序列
H
m
H^m
Hm之后,我们通过标签式注意力网络来计算在每个模态
m
m
m下每个标签
j
j
j的这些嵌入的组合。形式上,我们将每个嵌入的隐状态表示为
h
i
m
∈
R
d
(
i
∈
[
n
m
]
)
h_{i}^{m}\,\in\,\mathbb{R}^{d}(i\in[n_m])
him∈Rd(i∈[nm]).注意表示
u
j
m
u^m_j
ujm可由下式得到:
u
j
m
=
∑
i
=
1
n
m
α
i
j
m
h
i
m
,
α
i
j
m
=
exp
(
ω
j
m
T
h
i
m
)
∑
i
=
1
n
m
exp
(
w
j
m
T
h
i
m
)
(1)
u_{j}^{m}=\sum_{i=1}^{n_{m}}\alpha_{i j}^{m}h_{i}^{m},\quad\alpha_{i j}^{m}=\frac{\exp({\omega_{j}^{m}}^\mathsf{T} h_{i}^{m})}{\sum_{i=1}^{n_{m}}\exp({\ w_{j}^{m}}^{\mathsf{T}} h_{i}^{m})}\qquad \tag{1}
ujm=i=1∑nmαijmhim,αijm=∑i=1nmexp( wjmThim)exp(ωjmThim)(1)
其中
w
j
m
∈
R
d
w_{j}^{{m}}\in\mathbb{R}^{d}
wjm∈Rd表示第
j
j
j个标签的注意参数,
α
i
j
m
α^m_{ij}
αijm是
h
i
m
h^m_i
him的归一化系数.值得注意的是,模态之间的注意网络仍然是相互独立的,从而分别生成标记特定的表示
U
o
m
∈
R
C
×
d
U_{o}^{m}\in\mathbb{R}^{C\times d}
Uom∈RC×d。
基于对比重建的融合
第二部分旨在利用来自多个模态的信息来恢复任何模态的特征。
多模态特征重构考虑到将多模态信息融合为相同的表示可能会忽略模态的特异性,我们提出了一种基于重构的融合机制,该机制通过当前模态的特征分布和其他模态的语义信息来恢复任意模态的特征。
我们首先使用三个模态特定的编码器 E n m ( ⋅ ) En^m(\cdot) Enm(⋅) 将 U m o U_m^o Umo 投射到潜在空间 S z S_z Sz 中的潜在向量 Z m o ∈ R C × d z Z_m^o \in \mathbb{R}^{C \times d_z} Zmo∈RC×dz。在空间 S z S_z Sz 中,我们计算内在向量 D m = { d m , j ∈ R d z } j = 1 C D_m = \{d_{m,j} \in \mathbb{R}^{d_z}\}_{j=1}^C Dm={dm,j∈Rdz}j=1C,以反映不同模态中每个标签 j j j 的特征分布(在下一个子节中详细解释)。
然后,三个模态特定的解码器 D e m ( ⋅ ) De^m(\cdot) Dem(⋅) 将向量 Z o m Z^m_o Zom 和 D m D^m Dm 分别转换回解码向量 U ~ o m \tilde{U}^m_o U~om 和 D ~ m ∈ R C × d \tilde{D}^m \in \mathbb{R}^{C \times d} D~m∈RC×d。
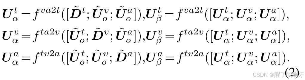
为了实现跨模态特征融合,我们使用一个包含三个网络 f v a 2 t ( ⋅ ) f^{va2t}(\cdot) fva2t(⋅)、 f t a 2 v ( ⋅ ) f^{ta2v}(\cdot) fta2v(⋅) 和 f t v 2 a ( ⋅ ) f^{tv2a}(\cdot) ftv2a(⋅) 的两级重构过程(详细分析在附录A中)。
以模态 t t t 为例,我们首先将内在特征 D ~ t \tilde{D}_t D~t 和来自其他模态( v v v、 a a a)的语义特征 U ~ { v , a } o \tilde{U}_{\{v,a\}}^o U~{v,a}o 按照某一模态顺序进行拼接,其中前者反映当前模态( t t t)的特征分布,后者提供其他模态( v v v、 a a a)的语义信息。拼接后的向量被输入到 f v a 2 t ( ⋅ ) f^{va2t}(\cdot) fva2t(⋅) 中,以获得第一级重构表示(First-level Reconstruction Representations, FRR) U α t ∈ R C × d U^t_\alpha \in \mathbb{R}^{C \times d} Uαt∈RC×d。
然后,将所有模态的 U α m U^m_\alpha Uαm 进行拼接,并输入到 f v a 2 t ( ⋅ ) f^{va2t}(\cdot) fva2t(⋅) 中以生成第二级重构表示(Second-level Reconstruction Representations, SRR) U β t ∈ R C × d U^t_\beta \in \mathbb{R}^{C \times d} Uβt∈RC×d。
所有模态的基于重构的融合过程表示为:

为了确保重构的特征向量能够恢复原始信息,我们使用均方误差将重构损失公式化为:
其中
∥
⋅
∥
F
\parallel\cdot\parallel F
∥⋅∥F返回矩阵的Frobenius范数。
由于通道的异质性,不同的通道表达不同的情感。因此,我们引入了一个最大池式网络,促使每个标签专注于其最相关的模态。具体地,我们利用
U
ο
m
,
U
α
m
,
U
β
m
U_{\omicron}^{m},U_{\alpha}^{m},U_{\beta}^{m}
Uοm,Uαm,Uβm上的三个模态特定分类器
h
{
t
,
v
,
a
}
(
⋅
)
h_{\{t,v,a\}}(\cdot)
h{t,v,a}(⋅)来分别计算
{
t
,
v
,
a
}
\{t,v,a\}
{t,v,a}模态的标签预测。然后,我们在这些预测上连接一个Max-Pooling层,以过滤每个标签的最相关模态。以
U
o
m
U^m_o
Uom为例,通过上述网络的最终输出计算为,

同样,我们也可以得到
s
α
s^α
sα和
s
β
s^β
sβ。最后,我们计算二进制交叉熵(BCE)损失为:

其中
l
l
l是BCE损失,
γ
o
,
α
,
β
\gamma_{o,\alpha,\beta}
γo,α,β是权衡参数。
对比表征学习。为了使内在向量 D m D^m Dm 反映不同模态中每个标签的特征分布,我们利用对比学习来学习一个可区分的潜在嵌入空间 S z S^z Sz。对于大小为 B B B 的批次中的样本,在获得 U o m U_o^m Uom、 U α m U_\alpha^m Uαm 和 U β m U_\beta^m Uβm 之后,我们将它们输入对应的编码器 E n m ( ⋅ ) En^m(\cdot) Enm(⋅) 以生成 L 2 L2 L2 正则化的潜在嵌入 Z o m Z_o^m Zom、 Z α m Z_\alpha^m Zαm和 Z β m ∈ R C × d Z Z_\beta^m \in \mathbb{R}^{C \times d_Z} Zβm∈RC×dZ。我们遵循Khosla等人(2020年)提出的监督对比学习(SCL),并维护一个队列来存储最新的潜在嵌入,并按时间顺序更新队列。因此,我们的对比嵌入池为 E = { Z o , α , β t , v , a } i = 1 B ∪ queue E = \{Z_{o, \alpha, \beta}^{t, v, a}\}_{i=1}^B \cup \text{queue} E={Zo,α,βt,v,a}i=1B∪queue。
给定一个锚嵌入
e
∈
E
e \in E
e∈E,对比损失通过将其正样本集合与池 (E) 的其余部分进行对比来定义:
L
s
c
l
(
e
,
E
)
=
−
1
∣
P
(
e
)
∣
∑
e
+
∈
P
(
e
)
log
exp
(
e
⊤
e
+
/
τ
)
∑
e
′
∈
E
(
e
)
exp
(
e
⊤
e
′
/
τ
)
,
(6)
L_{scl}(e, E) = -\frac{1}{|P(e)|} \sum_{e^+ \in P(e)} \log \frac{\exp \left( e^\top e^+ / \tau \right)}{\sum_{e' \in E(e)} \exp \left( e^\top e' / \tau \right)}, \tag{6}
Lscl(e,E)=−∣P(e)∣1e+∈P(e)∑log∑e′∈E(e)exp(e⊤e′/τ)exp(e⊤e+/τ),(6)
其中
P
(
e
)
P(e)
P(e) 为正样本集合,
E
(
e
)
=
E
∖
{
e
}
E(e) = E \setminus \{e\}
E(e)=E∖{e},
τ
∈
R
+
\tau \in \mathbb{R}^+
τ∈R+为温度参数。整个批次的对比损失为:
L
s
c
l
=
∑
e
∈
E
L
s
c
l
(
e
,
E
)
。
(7)
L_{scl} = \sum_{e \in E} L_{scl}(e, E)。 \tag{7}
Lscl=e∈E∑Lscl(e,E)。(7)
为了构造正样本集合,考虑到学习每个标签的模态特定特征分布的目的,我们重新定义每个 e e e 的标签。根据模态 m m m、标签类别 j j j 和标签极性 k k k,新标签定义为 y ~ = l j , k m \tilde{y} = l_{j, k}^m y~=lj,km,其中 m ∈ { t , v , a } m \in \{t, v, a\} m∈{t,v,a}, j ∈ [ C ] j \in [C] j∈[C], k ∈ { pos , neg } k \in \{\text{pos}, \text{neg}\} k∈{pos,neg}。因此,正样本被选择为 P ( e ) = { e ′ ∣ e ′ ∈ E ( e ) , y ~ ′ = y ~ } P(e) = \{e' | e' \in E(e), \tilde{y}' = \tilde{y}\} P(e)={e′∣e′∈E(e),y~′=y~},其中 y ~ ′ \tilde{y}' y~′ 是 e ′ e' e′ 的标签。换句话说,正样本集合包含来自相同模态且具有相同标签类别和极性的嵌入。
重要的是,我们为每个类别
l
j
,
k
m
l_{j, k}^m
lj,km 保留一个原型嵌入
μ
j
,
k
m
∈
R
d
z
\mu_{j, k}^m \in \mathbb{R}^{d_z}
μj,km∈Rdz,它可以视为一组代表性嵌入向量。为了减少计算负担和训练延迟,我们以移动平均的方式更新类条件原型向量:
μ
j
,
k
m
=
Normalize
(
ϕ
μ
j
,
k
m
+
(
1
−
ϕ
)
e
)
,
i
f
y
~
=
l
j
,
k
m
,
(8)
\mu_{j, k}^m = \text{Normalize}(\phi \mu_{j, k}^m + (1 - \phi)e),if \qquad \tilde{y} = l_{j, k}^m, \tag{8}
μj,km=Normalize(ϕμj,km+(1−ϕ)e),ify~=lj,km,(8)
其中动量原型
μ
j
,
k
m
\mu_{j, k}^m
μj,km 是符合类定义
l
j
,
k
m
l_{j, k}^m
lj,km 的归一化嵌入的移动平均,
ϕ
\phi
ϕ 是一个超参数。
在训练期间,我们利用原型通过soft-max模式获得内在向量
D
m
=
[
d
1
m
,
…
,
d
C
m
]
D_m = [d_1^m, \ldots, d_C^m]
Dm=[d1m,…,dCm]:
d
j
m
=
∑
k
∈
{
pos
,
neg
}
α
j
,
k
m
u
j
,
k
m
,
α
j
,
k
m
=
exp
(
e
⊤
u
j
,
k
m
)
∑
k
′
∈
{
pos
,
neg
}
exp
(
e
⊤
u
j
,
k
′
m
)
,
(9)
d_j^m = \sum_{k \in \{\text{pos}, \text{neg}\}} \alpha_{j, k}^m u_{j, k}^m,\quad \alpha_{j, k}^m = \frac{\exp(e^\top u_{j, k}^m)}{\sum_{k' \in \{\text{pos}, \text{neg}\}} \exp(e^\top u_{j, k'}^m)}, \tag{9}
djm=k∈{pos,neg}∑αj,kmuj,km,αj,km=∑k′∈{pos,neg}exp(e⊤uj,k′m)exp(e⊤uj,km),(9)
在预测期间,采用hard-max模式:
d
j
m
=
I
[
α
j
,
pos
m
>
α
j
,
neg
m
]
u
j
,
pos
m
+
I
[
α
j
,
pos
m
≤
α
j
,
neg
m
]
u
j
,
neg
m
,
(10)
d_j^m = I[\alpha_{j, \text{pos}}^m > \alpha_{j, \text{neg}}^m] u_{j, \text{pos}}^m + I[\alpha_{j, \text{pos}}^m \leq \alpha_{j, \text{neg}}^m] u_{j, \text{neg}}^m, \tag{10}
djm=I[αj,posm>αj,negm]uj,posm+I[αj,posm≤αj,negm]uj,negm,(10)
其中
I
[
⋅
]
I[\cdot]
I[⋅] 是指示函数。
基于Shuffle的特征聚合
虽然利用最相关的模态足以找到判别特征,但多模态融合可以使用互补信息来获得更鲁棒的表示。因此,我们设计了一个基于洗牌的聚合,利用跨模态的信息,其中包括样本和模态明智的洗牌过程。样本和模态混洗的动机分别是为了丰富标签的同现关系和实现随机跨模态聚合。如图3所示,在获得一批样本的SRR之后,顺序且独立地执行两个混洗过程。具体来说,我们将批次的向量
U
β
m
U^m_β
Uβm堆叠为,

其中
M
M
M是模态的数量。首先,在每个模态
m
m
m上,我们执行样本式混洗(sws),

其中
{
r
i
}
1
B
\{r_i\}^B_1
{ri}1B是样本的新索引。然后,对于每个样本,模态混洗(mws)被执行为:

其中
{
r
i
}
1
M
\{r_i\}^M_1
{ri}1M是模态的新索引。然后,分别在标签维度上级联
V
V
V和
V
^
\widehat{V}
V
,如
![Q = n qm i = [vm i,1; ...; vm i,C] {t,v,a} m oB i ∈ RB×M×C·d,Q = n q m i = [n vm i,1; ...d.;[v,v,a] {t,v,a} m oB i ∈ RB×M×C.(13)](https://i-blog.csdnimg.cn/direct/896de3668d0f4398a5f906a544c2b57e.png#pic_center)
值得注意的是,与由来自单个模态和单个样本的特征连接的
q
i
m
q_i^m
qim不同,构成
q
^
i
m
\widehat{q}_i^m
q
im的特征从1到
M
M
M个模态和1到
C
C
C个样本中随机采样。最后,使用
Q
Q
Q和
Q
^
\widehat{Q}
Q
来微调具有BCE损失的分类器
h
c
(
⋅
)
hc(·)
hc(⋅),
其中
γ
S
,
f
\gamma_{S,f}
γS,f是权衡参数。结合方程3、5、7和14,最终目标函数可表示为

其中
γ
s
,
γ
r
\gamma_{s},\gamma_{r}
γs,γr为权衡参数。在预测过程中,利用最相关模态和多模态融合,得到测试样本
i
′
{i}\prime
i′的预测结果:

图3 shuffle的语义图。洗牌是在批量和模态维度上进行的。不同的颜色代表不同的模态。洗牌后,新的同现关系可以出现在训练集中(灰色虚线框)。
实验
实验设置
数据集和评估指标。我们在两个基准MMER数据集(CMU-MOSEI(Zadeh et al. 2018 b)和M3 ED(Zhao et al. 2022))上评估了CARAT,这些数据集保持了公共SDK 23中的设置。采用了四个评价指标:准确度(Acc)、Micro-F1、精确度(P)和召回率(R)。数据集的更详细描述和预处理见附录B。
基线。我们将CARAT与两组的各种入路进行了比较。第一组是多标签分类(MLC)方法。具体地,在这些方法中,多模态输入被早期融合(简单地级联)为新的输入。对于经典方法:(1)BR(Boutell等人,2004)将MLC转换为多个二元分类,同时忽略标签相关性。(2)LP(Tsoumakas and Katakis 2006)将初始标签集分解为若干随机子集,并训练相应的分类器。(3)CC(Read等人,2011)通过考虑高阶标签相关性,将MLC转换为一系列二元分类问题。对于基于深度的方法:(4)SGM(Yang et al. 2018)将MLC视为通过标签相关的序列生成问题。(5)LSAN(Xiao et al. 2019)探索了标签和文档之间的语义连接,以构建标签特定的文档表示。(6)ML-GCN(Chen等人,2019 b)采用GCN映射标签表示并捕获标签相关性以进行图像识别。
第二类是多模态多标记方法。(7)MulT(Tsai等人,2019)使用跨模态交互将信息从一种模态融合到另一种模态。(8)MISA(Hazarika,Zimmermann,and Zynga 2020)为融合学习模态不变和模态特定的表示。(9)MMS2S(Zhang et al. 2020)以序列到集合的方法处理模态和标签依赖性。(10)HHMPN(Zhang et al. 2021)通过图形消息传递对特征到标签、标签到标签和模态到标签的依赖关系进行建模。(11)TAILOR(Zhang et al. 2022)逆向描述了模态之间的共性和多样性,以获得区分性表征。(12)AMP(Ge et al. 2023)通过对抗性时间掩蔽和对抗性参数扰动来学习鲁棒的表示。
实作详细数据。我们将隐态的大小设为d = 256,dz = 64。嵌入队列的大小被设置为8192。所有的编码器Enm(·)和解码器Dem(·)都是用两层MLP实现的。我们设定超参数γo=0.01、γα=0.1、γβ =1、γs=1、γsf =0.1和γr =1,不同权重设置的分析见附录A。对于Transformer编码器的层数,我们设置lt =6,lv = la =4。我们使用了Adam(Kingma and Ba 2014)优化器,初始学习速率为5e−5,线性衰减学习速率调度带有预热策略。批大小B设置为64。在训练过程中,我们对20个时期的方法进行训练,以选择在验证集中具有最佳F1分数的模型作为我们的最终模型。所有实验均采用一个NVIDIA A100 GPU进行。
实验结果
性能比较。我们在表1、2中显示了CMU-MOSEI和M3 ED(仅部分多模态基线)的性能比较,观察结果如下:1)CARAT显著优于所有竞争对手。尽管MISA具有突出的召回率,但其精确度下降到很低的值,并且在更重要的指标(MicroF 1和准确度)上,其性能远远不如CARAT。此外,在非结盟环境下,CARAT仍然保持了不错的业绩提升,这证明了CARAT能够更好地打破模态差距的障碍。2)在单模态方法中,基于深度的方法SGM、LSAN和ML-GCN的性能优于经典方法BR、CC和LP,表明深度表示能够更好地捕获语义特征,标签关联有助于捕获更有意义的信息。3)与单模态方法相比,多模态方法表现出更好的性能,这说明了对多模态交互建模的必要性。4)在所有的基线中,TAILOR获得了具有竞争力的性能,这验证了利用模态间的共性和多样性来获得区分性标签表示的有效性。


消融研究。为了证明每个组件的重要性,我们将CARAT与各种消融变体进行了比较。如表3所示,我们可以看到:1)同时利用特异性和互补性的效果:通过同时使用最相关模态(MRM)的特征和聚集特征(AGG),(1)优于(2)和(3),这表明了结合模态特异性和互补性的重要性。2)对比表征学习的效果:在不进行损失Lscl的情况下,(4)比CARAT更差,这说明了利用对比学习来学习可区分表征的意义。进一步地,通过去除编码和解码过程,(5)比(4)更差,这验证了在潜在空间中探索本征嵌入的合理性。3)两级特征重构的效果:首先,(6)比CARAT差,这揭示了使用损失Lrec约束特征重构的有效性。与CARAT相比,去除第一级和第二级重建过程,(7)和(8)具有不同程度的性能降级。当去除整个重构过程时,(9)的性能比(7)和(8)进一步降低,这证实了多级特征重构实现多模态融合的有效性。4)不同混洗操作的影响:排除任何一轮混洗过程,(10)和(11)比CARAT更差,当去除两个混洗过程时(12)甚至更差,这证实了在样本和模态维度上执行混洗的有效性。
对准CMU-
表3 MOSEI上的消融测试。“MRM”和“AGG”分别表示使用最相关模态和AGGregated特征的特征。“w/o”表示移除。“w/o En,De”表示去除编码和解码。“w/o {α,β,α&β}-recon”表示去除第一级重建、第二级重建或两者。“w/o { sw-,mw-,mw}shf”表示移除样本、模态方式混洗过程或两者。附录A中提供了详细的实现。
分析
可区分表示的可视化。为了研究对比学习(CL)在可区分表示上的功效,我们使用t-SNE(货车der Maaten和欣顿2008)在对齐的CMUMOSEI数据集上可视化空间Sz中的嵌入Zmo,而不使用或使用对比学习。如图5所示,在没有CL的情况下(左图),虽然属于不同模态的嵌入可以很好地区分,但是每个模态中不同类的嵌入被集中在一起。相反,在右边的子图中,属于不同模态和标签的嵌入被明确地彼此分离,并且相同模态的嵌入仍然保持更紧密的分布。因此,利用CL,CARAT产生了分离良好的聚类和更可区分的表示。
模态与标签相关性的可视化。我们将标签与其最相关模态的相关性可视化。如图4(a)所示,每个标签不均等地关注不同的模态,通常有其自己的俯卧模态。模态-标签相关性在标签与标签之间不同,情感惊讶和悲伤分别与视觉情态和语篇情态高度相关。更多可视化示例见附录E。
个案研究。为了进一步证明CARAT的有效性,图4(B)给出了两个案例。1)不同情态所表达的情感是不一致的,这反映了情态的特殊性。例如,在一个示例中,在情况2中,可以从视觉和音频中直观地挖掘情感愤怒,但不能从文本中挖掘。2)HHMPN由于忽略了模态的特异性而错误地省略了相关的标注,导致无法捕获更丰富的语义信息。相反,TAILOR给出了错误的相关标签。由于TAILOR使用的自我注意只能探索每个样本内的标签相关性,因此无法利用全局信息。总的来说,我们的克拉达到了最好的性能。


结论
本文提出了一种面向MMER的对比特征重构与聚集(CARAT)方法,该方法将有效的表示学习和多依赖建模集成到一个统一的框架中.提出了一种基于重构的融合机制,通过对比学习模态分离特征和标签相关特征,建立模态与标签之间的细粒度依赖关系模型.为了进一步挖掘模态互补性,我们引入了一种基于shuffle的聚合策略来丰富标签间的共现协作。在基准数据集CMU-MOSEI和M3 ED上,实验表明,CARAT方法优于最先进的方法。
555

被折叠的 条评论
为什么被折叠?



