Everyone knows that the battle of Endor is just a myth fabled by George Lucas for promotion of his movie. Actually, no battle of Endor has happened and the First Galactic Empire prospers to this day.
There are creatures of n races living in the First Galactic Empire. In order to demonstrate their freedom, equality and brotherhood the Emperor commanded to introduce the holidays. During each of these holidays creatures of one non-empty subset of races should give gifts to creatures of another non-empty subset of races, not intersecting the first one.
The Emperor’s stuff is not very strong in maths so you should calculate how many such holidays can be introduced. Two holidays are considered different if they differ in the subset of races which give gifts or in the subset of races which receive gifts.
Input
The input contains the only integer n (1 ≤ n ≤ 200000) — the number of races living in the First Galactic Empire.
Output
Find the number of holidays the Emperor commanded to introduce. This number can be very large, so output the reminder of division of this number by 109 + 9.
Example
Input
2
Output
2
Input
3
Output
12
Input
5
Output
180
Input
200000
Output
82096552
link
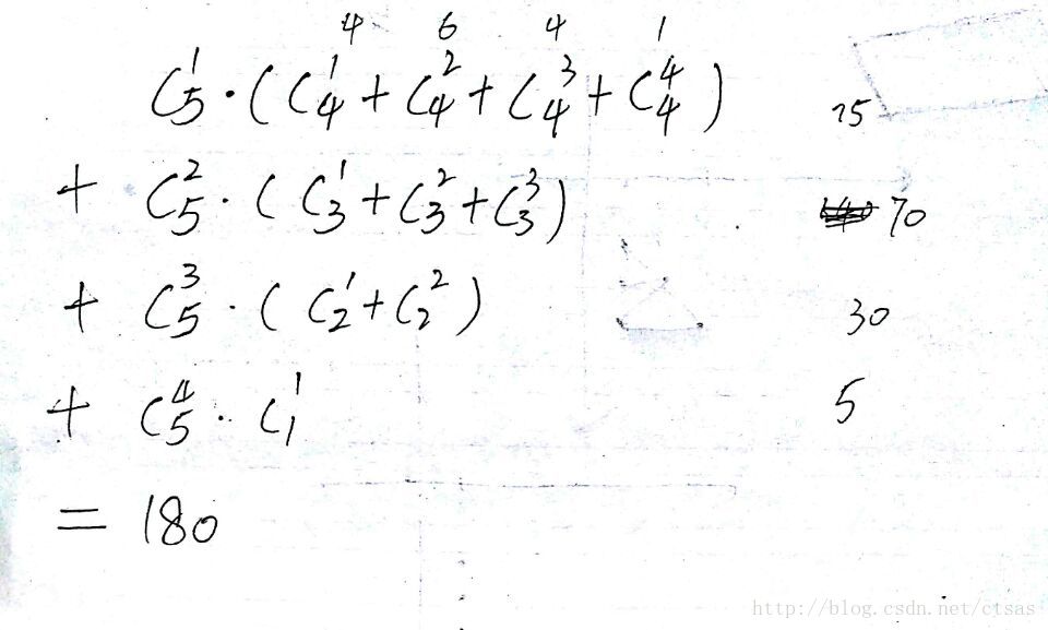
题解
对5这个样例做个解释如下
不难的到答案
#include<stdio.h>
#include<math.h>
#include<string.h>
#include<queue>
#include<stack>
#include<vector>
#include<algorithm>
#define MAX_N 200005
#define PI acos(-1.0)
#define INF 0x3f3f3f3f
#define MOD 1000000009
using namespace std;
typedef long long LL;
LL fac[MAX_N];//阶乘表
void init(){
fac[1]=1;
for(int i=2;i<MAX_N;i++)
fac[i]=fac[i-1]*i%MOD;
}
//扩展欧几里得
LL exGcd(LL a,LL b,LL &x,LL &y){
if(b==0){
x=1,y=0;
return a;
}
LL q=exGcd(b,a%b,y,x);
y-=a/b*x;
return q;
}
//逆元
LL mod_inverse(LL a){
LL x,y;
exGcd(a,MOD,x,y);
return (MOD+x)%MOD;
}
LL mod_pow(LL a,int n){
LL res=1;
while(n){
if(n&1) res=res*a%MOD;
a=a*a%MOD;
n>>=1;
}
return res;
}
int main()
{
init();
int n;
scanf("%d",&n);
LL ans=0;
for(int i=1;i<n;i++){
ans+=fac[n]*mod_inverse(fac[n-i])%MOD*mod_inverse(fac[i])%MOD*(mod_pow(2,n-i)-1)%MOD;
ans%=MOD;
}
printf("%lld\n",ans);
return 0;
}

本文介绍了一个基于组合数学的问题,即在一个虚构的银河帝国中,如何计算不同种族间可能举行的节日数量。通过公式推导和代码实现,展示了如何解决这类问题,并给出了解决方案。
606

被折叠的 条评论
为什么被折叠?



