1、初识PSO算法
(1)冲突避免
(2)速度匹配
(3)群体中心
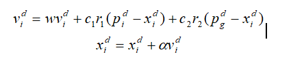
2、PSO算法的基本理论

i=1,2,3,....,m;w为非负数
3、PSO算法的约束优化
(1)罚函数法
(2)限制搜索范围
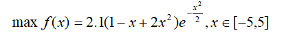
4、例子
(1) 求:

(2)代码
function main()
clc;
clear all;
close all;
tic;
E0=0.001;
MaxNum=100;
narvs=1;
particlesize=30;
c1=2;
c2=2;
w=0.6;
vmax=0.8;
x=-5+10*rand(particlesize,narvs);
v=2*rand(particlesize,narvs);
fitness=inline('1/(1+(2.1*(1-x+2*x.^2).*exp(-x.^2/2)))','x');
for i=1:p
订阅专栏 解锁全文
78

被折叠的 条评论
为什么被折叠?



