The Fourier Transform will decompose an image into its sinus and cosines components. In other words, it will transform an image from its spatial domain to its frequency domain. The idea is that any function may be approximated exactly with the sum of infinite sinus and cosines functions.
The performance of a DFT is dependent of the image size. It tends to be the fastest for image sizes that are multiple of the numbers two, three and five. Therefore, to achieve maximal performance it is generally a good idea to pad border values to the image to get a size with such traits.
Fourier Transform is used to analyze the frequency characteristics of various filters.For images, 2D Discrete Fourier Transform (DFT) is used to find the frequency domain. A fast algorithm called Fast Fourier Transform (FFT) is used for calculation of DFT.
For the sinusoidal signal, if the amplitude varies so fast in short time, you can say it is a high frequency signal. If it varies slowly, it is a low frequency signal. You can extend the same idea to images. At the edge points, or noises.So we can say, edges and noises are high frequency contents in an image. If there is no much changes in amplitude, it is a low frequency component.
Performance of DFT calculation is better for some array size. It is fastest when array size is power of two. The arrays whose size is a product of 2’s, 3’s, and 5’s are also processed quite efficiently. So if you are worried about the performance of your code, you can modify the size of the array to any optimal size (by padding zeros) before finding DFT.
Fourier transform is a linear transformation used for the conversion from time (e.g.audio signals in 1 dimension) or spatial (e.g. image in 2 dimensions) domain into the frequency domain.
The Fourier Transform will decompose an image into its sinus and cosines components. In other words, it will transform an image from its spatial domain to its frequency domain. The result of the transformation is complex numbers.Displaying this is possible either via a real image and a complex image or via a magnitude and a phase image. However, throughout the image processing algorithms only the magnitude image is interesting as this contains all the information we need about the images geometric structure.
The performance of a DFT is dependent of the image size. It tends to be the fastest for image sizes that are multiple of the numbers two, three and five. Therefore, to achieve maximal performance it is generally a good idea to pad border values to the image to get a size with such traits.
the dynamic range of the Fourier coefficients is too large to be displayed on the screen.To use the gray scale values for visualization we can transform our linear scale to a logarithmic one.
The reason for doing the filtering in the frequency domain is generally because it is computationally faster to perform two 2D Fourier transforms and a filter multiply than to perform a convolution in the image (spatial) domain.
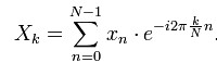
一维离散傅里叶变换公式如下:
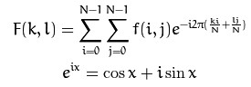
二维离散傅里叶变换公式如下:
离散傅立叶变换的运行速度与图片的尺寸息息相关。当图像的尺寸是2、3、5的整数倍时,计算速度最快。因此,为了达到快速计算的目的,经常通过添凑新的边缘像素的方法获取最佳图像尺寸。傅立叶变换的结果是复数,这就是说对于每个原图像值,结果是两个图像值。此外,频域值范围远远超过空间值范围,因此至少要将频域储存在 float 格式中。
DFT要分别计算实部和虚部,把要处理的图像作为输入的实部、一个全零的图像作为输入的虚部。一般都会用幅度图像来表示图像傅里叶的变换结果(傅里叶谱)。
图像的频率是表征图像中灰度变化剧烈程度的指标,是灰度在平面空间上的梯度。图像的边缘部分是突变部分,变化较快,因此反应在频域上是高频分量;图像的噪声大部分情况下是高频部分;图像大部分平缓的灰度变化部分则为低频分量。也就是说,傅立叶变换提供另外一个角度来观察图像,可以将图像从灰度分布转化到频率分布上来观察图像的特征。
由DFT的性质知,输入为实信号(图像)的时候,频域输出为复数,因此将频域信息分为幅值和相位。频域的幅值高的代表高频分量,幅值低的地方代表低频分量。
以上内容整理自网络。
目前fbc_cv库中支持float类型,经测试,与OpenCV3.1结果完全一致。
实现代码dft.hpp:
// fbc_cv is free software and uses the same licence as OpenCV
// Email: fengbingchun@163.com
#ifndef FBC_CV_DFT_HPP_
#define FBC_CV_DFT_HPP_
/* reference: include/opencv2/core.hpp
modules/core/src/dxt.cpp
*/
#include "core/mat.hpp"
#include "core/core.hpp"
namespace fbc {
template<typename dump> static int DFTFactorize(int n, int* factors);
template<typename dump> static void DFTInit(int n0, int nf, int* factors, int* itab, int elem_size, void* _wave, int inv_itab);
template<typename T> static void DFT_32f(const Complex<T>* src, Complex<T>* dst, int n, int nf, const int* factors, const int* itab, const Complex<T>* wave, int tab_size, const void* spec, Complex<T>* buf, int flags, double _scale);
template<typename T> static void RealDFT_32f(const T* src, T* dst, int n, int nf, int* factors, const int* itab, const Complex<T>* wave, int tab_size, const void* spec, Complex<T>* buf, int flags, double _scale);
template<typename T> static void CCSIDFT_32f(const T* src, T* dst, int n, int nf, int* factors, const int* itab, const Complex<T>* wave, int tab_size, const void* spec, Complex<T>* buf, int flags, double _scale);
template<typename _Tp, int chs> static void complementComplexOutput(Mat_<_Tp, chs>& dst, int len, int dft_dims);
template<typename dump> static void CopyColumn(const uchar* _src, size_t src_step, uchar* _dst, size_t dst_step, int len, size_t elem_size);
template<typename dump> static void CopyFrom2Columns(const uchar* _src, size_t src_step, uchar* _dst0, uchar* _dst1, int len, size_t elem_size);
template<typename dump> static void CopyTo2Columns(const uchar* _src0, const uchar* _src1, uchar* _dst, size_t dst_step, int len, size_t elem_size);
template<typename dump> static void ExpandCCS(uchar* _ptr, int n, int elem_size);
static unsigned char bitrevTab[] =
{
0x00, 0x80, 0x40, 0xc0, 0x20, 0xa0, 0x60, 0xe0, 0x10, 0x90, 0x50, 0xd0, 0x30, 0xb0, 0x70, 0xf0,
0x08, 0x88, 0x48, 0xc8, 0x28, 0xa8, 0x68, 0xe8, 0x18, 0x98, 0x58, 0xd8, 0x38, 0xb8, 0x78, 0xf8,
0x04, 0x84, 0x44, 0xc4, 0x24, 0xa4, 0x64, 0xe4, 0x14, 0x94, 0x54, 0xd4, 0x34, 0xb4, 0x74, 0xf4,
0x0c, 0x8c, 0x4c, 0xcc, 0x2c, 0xac, 0x6c, 0xec, 0x1c, 0x9c, 0x5c, 0xdc, 0x3c, 0xbc, 0x7c, 0xfc,
0x02, 0x82, 0x42, 0xc2, 0x22, 0xa2, 0x62, 0xe2, 0x12, 0x92, 0x52, 0xd2, 0x32, 0xb2, 0x72, 0xf2,
0x0a, 0x8a, 0x4a, 0xca, 0x2a, 0xaa, 0x6a, 0xea, 0x1a, 0x9a, 0x5a, 0xda, 0x3a, 0xba, 0x7a, 0xfa,
0x06, 0x86, 0x46, 0xc6, 0x26, 0xa6, 0x66, 0xe6, 0x16, 0x96, 0x56, 0xd6, 0x36, 0xb6, 0x76, 0xf6,
0x0e, 0x8e, 0x4e, 0xce, 0x2e, 0xae, 0x6e, 0xee, 0x1e, 0x9e, 0x5e, 0xde, 0x3e, 0xbe, 0x7e, 0xfe,
0x01, 0x81, 0x41, 0xc1, 0x21, 0xa1, 0x61, 0xe1, 0x11, 0x91, 0x51, 0xd1, 0x31, 0xb1, 0x71, 0xf1,
0x09, 0x89, 0x49, 0xc9, 0x29, 0xa9, 0x69, 0xe9, 0x19, 0x99, 0x59, 0xd9, 0x39, 0xb9, 0x79, 0xf9,
0x05, 0x85, 0x45, 0xc5, 0x25, 0xa5, 0x65, 0xe5, 0x15, 0x95, 0x55, 0xd5, 0x35, 0xb5, 0x75, 0xf5,
0x0d, 0x8d, 0x4d, 0xcd, 0x2d, 0xad, 0x6d, 0xed, 0x1d, 0x9d, 0x5d, 0xdd, 0x3d, 0xbd, 0x7d, 0xfd,
0x03, 0x83, 0x43, 0xc3, 0x23, 0xa3, 0x63, 0xe3, 0x13, 0x93, 0x53, 0xd3, 0x33, 0xb3, 0x73, 0xf3,
0x0b, 0x8b, 0x4b, 0xcb, 0x2b, 0xab, 0x6b, 0xeb, 0x1b, 0x9b, 0x5b, 0xdb, 0x3b, 0xbb, 0x7b, 0xfb,
0x07, 0x87, 0x47, 0xc7, 0x27, 0xa7, 0x67, 0xe7, 0x17, 0x97, 0x57, 0xd7, 0x37, 0xb7, 0x77, 0xf7,
0x0f, 0x8f, 0x4f, 0xcf, 0x2f, 0xaf, 0x6f, 0xef, 0x1f, 0x9f, 0x5f, 0xdf, 0x3f, 0xbf, 0x7f, 0xff
};
static const double DFTTab[][2] =
{
{ 1.00000000000000000, 0.00000000000000000 },
{ -1.00000000000000000, 0.00000000000000000 },
{ 0.00000000000000000, 1.00000000000000000 },
{ 0.70710678118654757, 0.70710678118654746 },
{ 0.92387953251128674, 0.38268343236508978 },
{ 0.98078528040323043, 0.19509032201612825 },
{ 0.99518472667219693, 0.09801714032956060 },
{ 0.99879545620517241, 0.04906767432741802 },
{ 0.99969881869620425, 0.02454122852291229 },
{ 0.99992470183914450, 0.01227153828571993 },
{ 0.99998117528260111, 0.00613588464915448 },
{ 0.99999529380957619, 0.00306795676296598 },
{ 0.99999882345170188, 0.00153398018628477 },
{ 0.99999970586288223, 0.00076699031874270 },
{ 0.99999992646571789, 0.00038349518757140 },
{ 0.99999998161642933, 0.00019174759731070 },
{ 0.99999999540410733, 0.00009587379909598 },
{ 0.99999999885102686, 0.00004793689960307 },
{ 0.99999999971275666, 0.00002396844980842 },
{ 0.99999999992818922, 0.00001198422490507 },
{ 0.99999999998204725, 0.00000599211245264 },
{ 0.99999999999551181, 0.00000299605622633 },
{ 0.99999999999887801, 0.00000149802811317 },
{ 0.99999999999971945, 0.00000074901405658 },
{ 0.99999999999992983, 0.00000037450702829 },
{ 0.99999999999998246, 0.00000018725351415 },
{ 0.99999999999999567, 0.00000009362675707 },
{ 0.99999999999999889, 0.00000004681337854 },
{ 0.99999999999999978, 0.00000002340668927 },
{ 0.99999999999999989, 0.00000001170334463 },
{ 1.00000000000000000, 0.00000000585167232 },
{ 1.00000000000000000, 0.00000000292583616 }
};
#define BitRev(i,shift) \
((int)((((unsigned)bitrevTab[(i)&255] << 24)+ \
((unsigned)bitrevTab[((i)>> 8)&255] << 16)+ \
((unsigned)bitrevTab[((i)>>16)&255] << 8)+ \
((unsigned)bitrevTab[((i)>>24)])) >> (shift)))
enum { DFT_NO_PERMUTE = 256, DFT_COMPLEX_INPUT_OR_OUTPUT = 512 };
// Performs a forward or inverse Discrete Fourier transform of a 1D or 2D floating-point array
/*
The function performs one of the following :
- Forward the Fourier transform of a 1D vector of N elements :
\f[Y = F^{ (N) } \cdot X, \f]
where \f$F^{ (N) }_{ jk } = \exp(-2\pi i j k / N)\f$ and \f$i = \sqrt{ -1 }\f$
- Inverse the Fourier transform of a 1D vector of N elements :
\f[\begin{ array }{l} X'= \left (F^{(N)} \right )^{-1} \cdot Y = \left (F^{(N)} \right )^* \cdot y \\ X = (1/N) \cdot X, \end{array}\f]
where \f$F^ *= \left(\textrm{ Re }(F^{ (N) }) - \textrm{ Im }(F^{ (N) })\right) ^ T\f$
- Forward the 2D Fourier transform of a M x N matrix :
\f[Y = F^{ (M) } \cdot X \cdot F^{ (N) }\f]
- Inverse the 2D Fourier transform of a M x N matrix :
\f[\begin{ array }{l} X'= \left (F^{(M)} \right )^* \cdot Y \cdot \left (F^{(N)} \right )^* \\ X = \frac{1}{M \cdot N} \cdot X' \end{ array }\f]
*/
// support type: float, multi-channels
template<typename _Tp, int chs1, int chs2>
int dft(const Mat_<_Tp, chs1>& src0, Mat_<_Tp, chs2>& dst, int flags = 0, int nonzero_rows = 0)
{
FBC_Assert(typeid(float).name() == typeid(_Tp).name());
FBC_Assert(chs1 == 1 || chs1 == 2 || chs2 == 1 || chs2 == 2);
AutoBuffer<uchar> buf;
int prev_len = 0, stage = 0;
bool inv = (flags & DFT_INVERSE) != 0;
int nf = 0, real_transform = src0.channels == 1 || (inv && (flags & DFT_REAL_OUTPUT) != 0);
int elem_size = (int)src0.elemSize1(), complex_elem_size = elem_size * 2;
int factors[34];
bool inplace_transform = false;
if (!inv && src0.channels == 1 && (flags & DFT_COMPLEX_OUTPUT)) {
FBC_Assert(chs2 == 2);
if (dst.empty()) {
dst = Mat_<_Tp, chs2>(src0.rows, src0.cols);
} else {
FBC_Assert(src0.rows == dst.rows && src0.cols == dst.cols);
}
} else if (inv && src0.channels == 2 && (flags & DFT_REAL_OUTPUT)) {
FBC_Assert(chs2 == 1);
if (dst.empty()) {
dst = Mat_<_Tp, chs2>(src0.rows, src0.cols);
} else {
FBC_Assert(src0.rows == dst.rows && src0.cols == dst.cols);
}
} else {
FBC_Assert(chs2 == chs1);
if (dst.empty()) {
dst = Mat_<_Tp, chs2>(src0.rows, src0.cols);
} else {
FBC_Assert(src0.rows == dst.rows && src0.cols == dst.cols);
}
}
if (!real_transform)
elem_size = complex_elem_size;
if (src0.cols == 1 && nonzero_rows > 0) {
FBC_Error("This mode (using nonzero_rows with a single-column matrix) breaks the function's logic, so it is prohibited.\n"
"For fast convolution/correlation use 2-column matrix or single-row matrix instead");
}
// determine, which transform to do first - row-wise
// (stage 0) or column-wise (stage 1) transform
if (!(flags & DFT_ROWS) && src0.rows > 1 &&
((src0.cols == 1 && (!src0.isContinuous() || !dst.isContinuous())) ||
(src0.cols > 1 && inv && real_transform)))
stage = 1;
Mat_<_Tp, chs1> src = src0;
for (;;) {
double scale = 1;
uchar* wave = 0;
int* itab = 0;
uchar* ptr;
int i, len, count, sz = 0;
int use_buf = 0, odd_real = 0;
if (stage == 0) { // row-wise transform
len = !inv ? src.cols : dst.cols;
count = src.rows;
if (len == 1 && !(flags & DFT_ROWS)) {
len = !inv ? src.rows : dst.rows;
count = 1;
}
odd_real = real_transform && (len & 1);
} else {
len = dst.rows;
count = !inv ? src0.cols : dst.cols;
sz = 2 * len*complex_elem_size;
}
void *spec = 0;
{
if (len != prev_len)
nf = DFTFactorize<dump>(len, factors);
inplace_transform = factors[0] == factors[nf - 1];
sz += len*(complex_elem_size + sizeof(int));
i = nf > 1 && (factors[0] & 1) == 0;
if ((factors[i] & 1) != 0 && factors[i] > 5)
sz += (factors[i] + 1)*complex_elem_size;
if ((stage == 0 && ((src.data == dst.data && !inplace_transform) || odd_real)) ||
(stage == 1 && !inplace_transform)) {
use_buf = 1;
sz += len*complex_elem_size;
}
}
ptr = (uchar*)buf;
buf.allocate(sz + 32);
if (ptr != (uchar*)buf)
prev_len = 0; // because we release the buffer,
// force recalculation of twiddle factors and permutation table
ptr = (uchar*)buf;
if (!spec) {
wave = ptr;
ptr += len*complex_elem_size;
itab = (int*)ptr;
ptr = (uchar*)fbcAlignPtr<dump>(ptr + len*sizeof(int), 16);
if (len != prev_len || (!inplace_transform && inv && real_transform))
DFTInit<dump>(len, nf, factors, itab, complex_elem_size, wave, stage == 0 && inv && real_transform);
// otherwise reuse the tables calculated on the previous stage
}
if (stage == 0) {
uchar* tmp_buf = 0;
int dptr_offset = 0;
int dst_full_len = len*elem_size;
int _flags = (int)inv + (src.channels != dst.channels ? DFT_COMPLEX_INPUT_OR_OUTPUT : 0);
if (use_buf) {
tmp_buf = ptr;
ptr += len*complex_elem_size;
if (odd_real && !inv && len > 1 && !(_flags & DFT_COMPLEX_INPUT_OR_OUTPUT))
dptr_offset = elem_size;
}
if (!inv && (_flags & DFT_COMPLEX_INPUT_OR_OUTPUT))
dst_full_len += (len & 1) ? elem_size : complex_elem_size;
if (count > 1 && !(flags & DFT_ROWS) && (!inv || !real_transform))
stage = 1;
else if (flags & FBC_DXT_SCALE)
scale = 1. / (len * (flags & DFT_ROWS ? 1 : count));
if (nonzero_rows <= 0 || nonzero_rows > count)
nonzero_rows = count;
for (i = 0; i < nonzero_rows; i++) {
const uchar* sptr = src.ptr(i);
uchar* dptr0 = dst.ptr(i);
uchar* dptr = dptr0;
if (tmp_buf)
dptr = tmp_buf;
if (!real_transform) {
DFT_32f<_Tp>(static_cast<const Complex<_Tp>*>((void*)sptr), static_cast<Complex<_Tp>*>((void*)dptr), len, nf, factors, itab, static_cast<const Complex<_Tp>*>((void*)wave), len, spec, static_cast<Complex<float>*>((void*)ptr), _flags, scale);
} else if (!inv) {
RealDFT_32f<_Tp>(static_cast<const _Tp*>((void*)sptr), static_cast<_Tp*>((void*)dptr), len, nf, factors, itab, static_cast<const Complex<_Tp>*>((void*)wave), len, spec, static_cast<Complex<_Tp>*>((void*)ptr), _flags, scale);
} else if (inv) {
CCSIDFT_32f<_Tp>(static_cast<const _Tp*>((void*)sptr), static_cast<_Tp*>((void*)dptr), len, nf, factors, itab, static_cast<const Complex<_Tp>*>((void*)wave), len, spec, static_cast<Complex<_Tp>*>((void*)ptr), _flags, scale);
} else {
FBC_Error("no support type");
}
if (dptr != dptr0)
memcpy(dptr0, dptr + dptr_offset, dst_full_len);
}
for (; i < count; i++) {
uchar* dptr0 = dst.ptr(i);
memset(dptr0, 0, dst_full_len);
}
if (stage != 1) {
if (!inv && real_transform && dst.channels == 2)
complementComplexOutput(dst, nonzero_rows, 1);
break;
}
src = dst;
} else {
int a = 0, b = count;
uchar *buf0, *buf1, *dbuf0, *dbuf1;
const uchar* sptr0 = src.ptr();
uchar* dptr0 = dst.ptr();
buf0 = ptr;
ptr += len*complex_elem_size;
buf1 = ptr;
ptr += len*complex_elem_size;
dbuf0 = buf0, dbuf1 = buf1;
if (use_buf) {
dbuf1 = ptr;
dbuf0 = buf1;
ptr += len*complex_elem_size;
}
if (real_transform && inv && src.cols > 1)
stage = 0;
else if (flags & FBC_DXT_SCALE)
scale = 1. / (len * count);
if (real_transform) {
int even;
a = 1;
even = (count & 1) == 0;
b = (count + 1) / 2;
if (!inv) {
memset(buf0, 0, len*complex_elem_size);
CopyColumn<dump>(sptr0, src.step, buf0, complex_elem_size, len, elem_size);
sptr0 += dst.channels*elem_size;
if (even) {
memset(buf1, 0, len*complex_elem_size);
CopyColumn<dump>(sptr0 + (count - 2)*elem_size, src.step, buf1, complex_elem_size, len, elem_size);
}
} else if (src.channels == 1) {
CopyColumn<dump>(sptr0, src.step, buf0, elem_size, len, elem_size);
ExpandCCS<dump>(buf0, len, elem_size);
if (even) {
CopyColumn<dump>(sptr0 + (count - 1)*elem_size, src.step, buf1, elem_size, len, elem_size);
ExpandCCS<dump>(buf1, len, elem_size);
}
sptr0 += elem_size;
} else {
CopyColumn<dump>(sptr0, src.step, buf0, complex_elem_size, len, complex_elem_size);
if (even) {
CopyColumn<dump>(sptr0 + b*complex_elem_size, src.step, buf1, complex_elem_size, len, complex_elem_size);
}
sptr0 += complex_elem_size;
}
if (even)
DFT_32f<_Tp>(static_cast<const Complex<_Tp>*>((void*)buf1), static_cast<Complex<_Tp>*>((void*)dbuf1), len, nf, factors, itab, static_cast<const Complex<_Tp>*>((void*)wave), len, spec, static_cast<Complex<_Tp>*>((void*)ptr), inv, scale);
DFT_32f<_Tp>(static_cast<const Complex<_Tp>*>((void*)buf0), static_cast<Complex<_Tp>*>((void*)dbuf0), len, nf, factors, itab, static_cast<const Complex<_Tp>*>((void*)wave), len, spec, static_cast<Complex<_Tp>*>((void*)ptr), inv, scale);
if (dst.channels == 1) {
if (!inv) {
// copy the half of output vector to the first/last column.
// before doing that, defgragment the vector
memcpy(dbuf0 + elem_size, dbuf0, elem_size);
CopyColumn<dump>(dbuf0 + elem_size, elem_size, dptr0, dst.step, len, elem_size);
if (even) {
memcpy(dbuf1 + elem_size, dbuf1, elem_size);
CopyColumn<dump>(dbuf1 + elem_size, elem_size, dptr0 + (count - 1)*elem_size, dst.step, len, elem_size);
}
dptr0 += elem_size;
} else {
// copy the real part of the complex vector to the first/last column
CopyColumn<dump>(dbuf0, complex_elem_size, dptr0, dst.step, len, elem_size);
if (even)
CopyColumn<dump>(dbuf1, complex_elem_size, dptr0 + (count - 1)*elem_size, dst.step, len, elem_size);
dptr0 += elem_size;
}
} else {
assert(!inv);
CopyColumn<dump>(dbuf0, complex_elem_size, dptr0, dst.step, len, complex_elem_size);
if (even)
CopyColumn<dump>(dbuf1, complex_elem_size, dptr0 + b*complex_elem_size, dst.step, len, complex_elem_size);
dptr0 += complex_elem_size;
}
}
for (i = a; i < b; i += 2) {
if (i + 1 < b) {
CopyFrom2Columns<dump>(sptr0, src.step, buf0, buf1, len, complex_elem_size);
DFT_32f<_Tp>(static_cast<const Complex<_Tp>*>((void*)buf1), static_cast<Complex<_Tp>*>((void*)dbuf1), len, nf, factors, itab, static_cast<const Complex<_Tp>*>((void*)wave), len, spec, static_cast<Complex<_Tp>*>((void*)ptr), inv, scale);
} else
CopyColumn<dump>(sptr0, src.step, buf0, complex_elem_size, len, complex_elem_size);
DFT_32f<_Tp>(static_cast<const Complex<_Tp>*>((void*)buf0), static_cast<Complex<_Tp>*>((void*)dbuf0), len, nf, factors, itab, static_cast<const Complex<_Tp>*>((void*)wave), len, spec, static_cast<Complex<_Tp>*>((void*)ptr), inv, scale);
if (i + 1 < b)
CopyTo2Columns<dump>(dbuf0, dbuf1, dptr0, dst.step, len, complex_elem_size);
else
CopyColumn<dump>(dbuf0, complex_elem_size, dptr0, dst.step, len, complex_elem_size);
sptr0 += 2 * complex_elem_size;
dptr0 += 2 * complex_elem_size;
}
if (stage != 0) {
if (!inv && real_transform && dst.channels == 2 && len > 1)
complementComplexOutput(dst, len, 2);
break;
}
src = dst;
}
}
return 0;
}
template<typename T> struct DFT_VecR4
{
int operator()(Complex<T>*, int, int, int&, const Complex<T>*) const { return 1; }
};
// mixed-radix complex discrete Fourier transform: double-precision version
template<typename T>
static void DFT_32f(const Complex<T>* src, Complex<T>* dst, int n, int nf, const int* factors, const int* itab, const Complex<T>* wave, int tab_size, const void* spec, Complex<T>* buf, int flags, double _scale)
{
static const T sin_120 = (T)0.86602540378443864676372317075294;
static const T fft5_2 = (T)0.559016994374947424102293417182819;
static const T fft5_3 = (T)-0.951056516295153572116439333379382;
static const T fft5_4 = (T)-1.538841768587626701285145288018455;
static const T fft5_5 = (T)0.363271264002680442947733378740309;
int n0 = n, f_idx, nx;
int inv = flags & DFT_INVERSE;
int dw0 = tab_size, dw;
int i, j, k;
Complex<T> t;
T scale = (T)_scale;
int tab_step;
tab_step = tab_size == n ? 1 : tab_size == n * 2 ? 2 : tab_size / n;
// 0. shuffle data
if (dst != src) {
assert((flags & DFT_NO_PERMUTE) == 0);
if (!inv) {
for (i = 0; i <= n - 2; i += 2, itab += 2 * tab_step) {
int k0 = itab[0], k1 = itab[tab_step];
assert((unsigned)k0 < (unsigned)n && (unsigned)k1 < (unsigned)n);
dst[i] = src[k0]; dst[i + 1] = src[k1];
}
if (i < n)
dst[n - 1] = src[n - 1];
} else {
for (i = 0; i <= n - 2; i += 2, itab += 2 * tab_step) {
int k0 = itab[0], k1 = itab[tab_step];
assert((unsigned)k0 < (unsigned)n && (unsigned)k1 < (unsigned)n);
t.re = src[k0].re; t.im = -src[k0].im;
dst[i] = t;
t.re = src[k1].re; t.im = -src[k1].im;
dst[i + 1] = t;
}
if (i < n) {
t.re = src[n - 1].re; t.im = -src[n - 1].im;
dst[i] = t;
}
}
} else {
if ((flags & DFT_NO_PERMUTE) == 0) {
FBC_Assert(factors[0] == factors[nf - 1]);
if (nf == 1) {
if ((n & 3) == 0) {
int n2 = n / 2;
Complex<T>* dsth = dst + n2;
for (i = 0; i < n2; i += 2, itab += tab_step * 2) {
j = itab[0];
assert((unsigned)j < (unsigned)n2);
FBC_SWAP(dst[i + 1], dsth[j], t);
if (j > i) {
FBC_SWAP(dst[i], dst[j], t);
FBC_SWAP(dsth[i + 1], dsth[j + 1], t);
}
}
}
// else do nothing
} else {
for (i = 0; i < n; i++, itab += tab_step) {
j = itab[0];
assert((unsigned)j < (unsigned)n);
if (j > i)
FBC_SWAP(dst[i], dst[j], t);
}
}
}
if (inv) {
for (i = 0; i <= n - 2; i += 2) {
T t0 = -dst[i].im;
T t1 = -dst[i + 1].im;
dst[i].im = t0; dst[i + 1].im = t1;
}
if (i < n)
dst[n - 1].im = -dst[n - 1].im;
}
}
n = 1;
// 1. power-2 transforms
if ((factors[0] & 1) == 0) {
if (factors[0] >= 4) {
DFT_VecR4<T> vr4;
n = vr4(dst, factors[0], n0, dw0, wave);
}
// radix-4 transform
for (; n * 4 <= factors[0];) {
nx = n;
n *= 4;
dw0 /= 4;
for (i = 0; i < n0; i += n) {
Complex<T> *v0, *v1;
T r0, i0, r1, i1, r2, i2, r3, i3, r4, i4;
v0 = dst + i;
v1 = v0 + nx * 2;
r0 = v1[0].re; i0 = v1[0].im;
r4 = v1[nx].re; i4 = v1[nx].im;
r1 = r0 + r4; i1 = i0 + i4;
r3 = i0 - i4; i3 = r4 - r0;
r2 = v0[0].re; i2 = v0[0].im;
r4 = v0[nx].re; i4 = v0[nx].im;
r0 = r2 + r4; i0 = i2 + i4;
r2 -= r4; i2 -= i4;
v0[0].re = r0 + r1; v0[0].im = i0 + i1;
v1[0].re = r0 - r1; v1[0].im = i0 - i1;
v0[nx].re = r2 + r3; v0[nx].im = i2 + i3;
v1[nx].re = r2 - r3; v1[nx].im = i2 - i3;
for (j = 1, dw = dw0; j < nx; j++, dw += dw0) {
v0 = dst + i + j;
v1 = v0 + nx * 2;
r2 = v0[nx].re*wave[dw * 2].re - v0[nx].im*wave[dw * 2].im;
i2 = v0[nx].re*wave[dw * 2].im + v0[nx].im*wave[dw * 2].re;
r0 = v1[0].re*wave[dw].im + v1[0].im*wave[dw].re;
i0 = v1[0].re*wave[dw].re - v1[0].im*wave[dw].im;
r3 = v1[nx].re*wave[dw * 3].im + v1[nx].im*wave[dw * 3].re;
i3 = v1[nx].re*wave[dw * 3].re - v1[nx].im*wave[dw * 3].im;
r1 = i0 + i3; i1 = r0 + r3;
r3 = r0 - r3; i3 = i3 - i0;
r4 = v0[0].re; i4 = v0[0].im;
r0 = r4 + r2; i0 = i4 + i2;
r2 = r4 - r2; i2 = i4 - i2;
v0[0].re = r0 + r1; v0[0].im = i0 + i1;
v1[0].re = r0 - r1; v1[0].im = i0 - i1;
v0[nx].re = r2 + r3; v0[nx].im = i2 + i3;
v1[nx].re = r2 - r3; v1[nx].im = i2 - i3;
}
}
}
for (; n < factors[0];) {
// do the remaining radix-2 transform
nx = n;
n *= 2;
dw0 /= 2;
for (i = 0; i < n0; i += n) {
Complex<T>* v = dst + i;
T r0 = v[0].re + v[nx].re;
T i0 = v[0].im + v[nx].im;
T r1 = v[0].re - v[nx].re;
T i1 = v[0].im - v[nx].im;
v[0].re = r0; v[0].im = i0;
v[nx].re = r1; v[nx].im = i1;
for (j = 1, dw = dw0; j < nx; j++, dw += dw0) {
v = dst + i + j;
r1 = v[nx].re*wave[dw].re - v[nx].im*wave[dw].im;
i1 = v[nx].im*wave[dw].re + v[nx].re*wave[dw].im;
r0 = v[0].re; i0 = v[0].im;
v[0].re = r0 + r1; v[0].im = i0 + i1;
v[nx].re = r0 - r1; v[nx].im = i0 - i1;
}
}
}
}
// 2. all the other transforms
for (f_idx = (factors[0] & 1) ? 0 : 1; f_idx < nf; f_idx++) {
int factor = factors[f_idx];
nx = n;
n *= factor;
dw0 /= factor;
if (factor == 3) {
// radix-3
for (i = 0; i < n0; i += n) {
Complex<T>* v = dst + i;
T r1 = v[nx].re + v[nx * 2].re;
T i1 = v[nx].im + v[nx * 2].im;
T r0 = v[0].re;
T i0 = v[0].im;
T r2 = sin_120*(v[nx].im - v[nx * 2].im);
T i2 = sin_120*(v[nx * 2].re - v[nx].re);
v[0].re = r0 + r1; v[0].im = i0 + i1;
r0 -= (T)0.5*r1; i0 -= (T)0.5*i1;
v[nx].re = r0 + r2; v[nx].im = i0 + i2;
v[nx * 2].re = r0 - r2; v[nx * 2].im = i0 - i2;
for (j = 1, dw = dw0; j < nx; j++, dw += dw0) {
v = dst + i + j;
r0 = v[nx].re*wave[dw].re - v[nx].im*wave[dw].im;
i0 = v[nx].re*wave[dw].im + v[nx].im*wave[dw].re;
i2 = v[nx * 2].re*wave[dw * 2].re - v[nx * 2].im*wave[dw * 2].im;
r2 = v[nx * 2].re*wave[dw * 2].im + v[nx * 2].im*wave[dw * 2].re;
r1 = r0 + i2; i1 = i0 + r2;
r2 = sin_120*(i0 - r2); i2 = sin_120*(i2 - r0);
r0 = v[0].re; i0 = v[0].im;
v[0].re = r0 + r1; v[0].im = i0 + i1;
r0 -= (T)0.5*r1; i0 -= (T)0.5*i1;
v[nx].re = r0 + r2; v[nx].im = i0 + i2;
v[nx * 2].re = r0 - r2; v[nx * 2].im = i0 - i2;
}
}
} else if (factor == 5) {
// radix-5
for (i = 0; i < n0; i += n) {
for (j = 0, dw = 0; j < nx; j++, dw += dw0) {
Complex<T>* v0 = dst + i + j;
Complex<T>* v1 = v0 + nx * 2;
Complex<T>* v2 = v1 + nx * 2;
T r0, i0, r1, i1, r2, i2, r3, i3, r4, i4, r5, i5;
r3 = v0[nx].re*wave[dw].re - v0[nx].im*wave[dw].im;
i3 = v0[nx].re*wave[dw].im + v0[nx].im*wave[dw].re;
r2 = v2[0].re*wave[dw * 4].re - v2[0].im*wave[dw * 4].im;
i2 = v2[0].re*wave[dw * 4].im + v2[0].im*wave[dw * 4].re;
r1 = r3 + r2; i1 = i3 + i2;
r3 -= r2; i3 -= i2;
r4 = v1[nx].re*wave[dw * 3].re - v1[nx].im*wave[dw * 3].im;
i4 = v1[nx].re*wave[dw * 3].im + v1[nx].im*wave[dw * 3].re;
r0 = v1[0].re*wave[dw * 2].re - v1[0].im*wave[dw * 2].im;
i0 = v1[0].re*wave[dw * 2].im + v1[0].im*wave[dw * 2].re;
r2 = r4 + r0; i2 = i4 + i0;
r4 -= r0; i4 -= i0;
r0 = v0[0].re; i0 = v0[0].im;
r5 = r1 + r2; i5 = i1 + i2;
v0[0].re = r0 + r5; v0[0].im = i0 + i5;
r0 -= (T)0.25*r5; i0 -= (T)0.25*i5;
r1 = fft5_2*(r1 - r2); i1 = fft5_2*(i1 - i2);
r2 = -fft5_3*(i3 + i4); i2 = fft5_3*(r3 + r4);
i3 *= -fft5_5; r3 *= fft5_5;
i4 *= -fft5_4; r4 *= fft5_4;
r5 = r2 + i3; i5 = i2 + r3;
r2 -= i4; i2 -= r4;
r3 = r0 + r1; i3 = i0 + i1;
r0 -= r1; i0 -= i1;
v0[nx].re = r3 + r2; v0[nx].im = i3 + i2;
v2[0].re = r3 - r2; v2[0].im = i3 - i2;
v1[0].re = r0 + r5; v1[0].im = i0 + i5;
v1[nx].re = r0 - r5; v1[nx].im = i0 - i5;
}
}
} else {
// radix-"factor" - an odd number
int p, q, factor2 = (factor - 1) / 2;
int d, dd, dw_f = tab_size / factor;
Complex<T>* a = buf;
Complex<T>* b = buf + factor2;
for (i = 0; i < n0; i += n) {
for (j = 0, dw = 0; j < nx; j++, dw += dw0) {
Complex<T>* v = dst + i + j;
Complex<T> v_0 = v[0];
Complex<T> vn_0 = v_0;
if (j == 0) {
for (p = 1, k = nx; p <= factor2; p++, k += nx) {
T r0 = v[k].re + v[n - k].re;
T i0 = v[k].im - v[n - k].im;
T r1 = v[k].re - v[n - k].re;
T i1 = v[k].im + v[n - k].im;
vn_0.re += r0; vn_0.im += i1;
a[p - 1].re = r0; a[p - 1].im = i0;
b[p - 1].re = r1; b[p - 1].im = i1;
}
} else {
const Complex<T>* wave_ = wave + dw*factor;
d = dw;
for (p = 1, k = nx; p <= factor2; p++, k += nx, d += dw) {
T r2 = v[k].re*wave[d].re - v[k].im*wave[d].im;
T i2 = v[k].re*wave[d].im + v[k].im*wave[d].re;
T r1 = v[n - k].re*wave_[-d].re - v[n - k].im*wave_[-d].im;
T i1 = v[n - k].re*wave_[-d].im + v[n - k].im*wave_[-d].re;
T r0 = r2 + r1;
T i0 = i2 - i1;
r1 = r2 - r1;
i1 = i2 + i1;
vn_0.re += r0; vn_0.im += i1;
a[p - 1].re = r0; a[p - 1].im = i0;
b[p - 1].re = r1; b[p - 1].im = i1;
}
}
v[0] = vn_0;
for (p = 1, k = nx; p <= factor2; p++, k += nx) {
Complex<T> s0 = v_0, s1 = v_0;
d = dd = dw_f*p;
for (q = 0; q < factor2; q++) {
T r0 = wave[d].re * a[q].re;
T i0 = wave[d].im * a[q].im;
T r1 = wave[d].re * b[q].im;
T i1 = wave[d].im * b[q].re;
s1.re += r0 + i0; s0.re += r0 - i0;
s1.im += r1 - i1; s0.im += r1 + i1;
d += dd;
d -= -(d >= tab_size) & tab_size;
}
v[k] = s0;
v[n - k] = s1;
}
}
}
}
}
if (scale != 1) {
T re_scale = scale, im_scale = scale;
if (inv)
im_scale = -im_scale;
for (i = 0; i < n0; i++) {
T t0 = dst[i].re*re_scale;
T t1 = dst[i].im*im_scale;
dst[i].re = t0;
dst[i].im = t1;
}
} else if (inv) {
for (i = 0; i <= n0 - 2; i += 2) {
T t0 = -dst[i].im;
T t1 = -dst[i + 1].im;
dst[i].im = t0;
dst[i + 1].im = t1;
}
if (i < n0)
dst[n0 - 1].im = -dst[n0 - 1].im;
}
}
/* FFT of real vector
output vector format:
re(0), re(1), im(1), ... , re(n/2-1), im((n+1)/2-1) [, re((n+1)/2)] OR
re(0), 0, re(1), im(1), ..., re(n/2-1), im((n+1)/2-1) [, re((n+1)/2), 0] */
template<typename T>
static void RealDFT_32f(const T* src, T* dst, int n, int nf, int* factors, const int* itab, const Complex<T>* wave, int tab_size, const void* spec, Complex<T>* buf, int flags, double _scale)
{
int complex_output = (flags & DFT_COMPLEX_INPUT_OR_OUTPUT) != 0;
T scale = (T)_scale;
int j, n2 = n >> 1;
dst += complex_output;
assert(tab_size == n);
if (n == 1) {
dst[0] = src[0] * scale;
} else if (n == 2) {
T t = (src[0] + src[1])*scale;
dst[1] = (src[0] - src[1])*scale;
dst[0] = t;
} else if (n & 1) {
dst -= complex_output;
Complex<T>* _dst = (Complex<T>*)dst;
_dst[0].re = src[0] * scale;
_dst[0].im = 0;
for (j = 1; j < n; j += 2) {
T t0 = src[itab[j]] * scale;
T t1 = src[itab[j + 1]] * scale;
_dst[j].re = t0;
_dst[j].im = 0;
_dst[j + 1].re = t1;
_dst[j + 1].im = 0;
}
DFT_32f(_dst, _dst, n, nf, factors, itab, wave, tab_size, 0, buf, DFT_NO_PERMUTE, 1);
if (!complex_output)
dst[1] = dst[0];
} else {
T t0, t;
T h1_re, h1_im, h2_re, h2_im;
T scale2 = scale*(T)0.5;
factors[0] >>= 1;
DFT_32f((Complex<T>*)src, (Complex<T>*)dst, n2, nf - (factors[0] == 1), factors + (factors[0] == 1), itab, wave, tab_size, 0, buf, 0, 1);
factors[0] <<= 1;
t = dst[0] - dst[1];
dst[0] = (dst[0] + dst[1])*scale;
dst[1] = t*scale;
t0 = dst[n2];
t = dst[n - 1];
dst[n - 1] = dst[1];
for (j = 2, wave++; j < n2; j += 2, wave++) {
/* calc odd */
h2_re = scale2*(dst[j + 1] + t);
h2_im = scale2*(dst[n - j] - dst[j]);
/* calc even */
h1_re = scale2*(dst[j] + dst[n - j]);
h1_im = scale2*(dst[j + 1] - t);
/* rotate */
t = h2_re*wave->re - h2_im*wave->im;
h2_im = h2_re*wave->im + h2_im*wave->re;
h2_re = t;
t = dst[n - j - 1];
dst[j - 1] = h1_re + h2_re;
dst[n - j - 1] = h1_re - h2_re;
dst[j] = h1_im + h2_im;
dst[n - j] = h2_im - h1_im;
}
if (j <= n2) {
dst[n2 - 1] = t0*scale;
dst[n2] = -t*scale;
}
}
if (complex_output && ((n & 1) == 0 || n == 1)) {
dst[-1] = dst[0];
dst[0] = 0;
if (n > 1)
dst[n] = 0;
}
}
/* Inverse FFT of complex conjugate-symmetric vector
input vector format:
re[0], re[1], im[1], ... , re[n/2-1], im[n/2-1], re[n/2] OR
re(0), 0, re(1), im(1), ..., re(n/2-1), im((n+1)/2-1) [, re((n+1)/2), 0] */
template<typename T>
static void CCSIDFT_32f(const T* src, T* dst, int n, int nf, int* factors, const int* itab, const Complex<T>* wave, int tab_size, const void* spec, Complex<T>* buf, int flags, double _scale)
{
int complex_input = (flags & DFT_COMPLEX_INPUT_OR_OUTPUT) != 0;
int j, k, n2 = (n + 1) >> 1;
T scale = (T)_scale;
T save_s1 = 0.;
T t0, t1, t2, t3, t;
assert(tab_size == n);
if (complex_input) {
assert(src != dst);
save_s1 = src[1];
((T*)src)[1] = src[0];
src++;
}
if (n == 1) {
dst[0] = (T)(src[0] * scale);
} else if (n == 2) {
t = (src[0] + src[1])*scale;
dst[1] = (src[0] - src[1])*scale;
dst[0] = t;
} else if (n & 1) {
Complex<T>* _src = (Complex<T>*)(src - 1);
Complex<T>* _dst = (Complex<T>*)dst;
_dst[0].re = src[0];
_dst[0].im = 0;
for (j = 1; j < n2; j++) {
int k0 = itab[j], k1 = itab[n - j];
t0 = _src[j].re; t1 = _src[j].im;
_dst[k0].re = t0; _dst[k0].im = -t1;
_dst[k1].re = t0; _dst[k1].im = t1;
}
DFT_32f(_dst, _dst, n, nf, factors, itab, wave, tab_size, 0, buf, DFT_NO_PERMUTE, 1.);
dst[0] *= scale;
for (j = 1; j < n; j += 2) {
t0 = dst[j * 2] * scale;
t1 = dst[j * 2 + 2] * scale;
dst[j] = t0;
dst[j + 1] = t1;
}
} else {
int inplace = src == dst;
const Complex<T>* w = wave;
t = src[1];
t0 = (src[0] + src[n - 1]);
t1 = (src[n - 1] - src[0]);
dst[0] = t0;
dst[1] = t1;
for (j = 2, w++; j < n2; j += 2, w++) {
T h1_re, h1_im, h2_re, h2_im;
h1_re = (t + src[n - j - 1]);
h1_im = (src[j] - src[n - j]);
h2_re = (t - src[n - j - 1]);
h2_im = (src[j] + src[n - j]);
t = h2_re*w->re + h2_im*w->im;
h2_im = h2_im*w->re - h2_re*w->im;
h2_re = t;
t = src[j + 1];
t0 = h1_re - h2_im;
t1 = -h1_im - h2_re;
t2 = h1_re + h2_im;
t3 = h1_im - h2_re;
if (inplace) {
dst[j] = t0;
dst[j + 1] = t1;
dst[n - j] = t2;
dst[n - j + 1] = t3;
} else {
int j2 = j >> 1;
k = itab[j2];
dst[k] = t0;
dst[k + 1] = t1;
k = itab[n2 - j2];
dst[k] = t2;
dst[k + 1] = t3;
}
}
if (j <= n2) {
t0 = t * 2;
t1 = src[n2] * 2;
if (inplace) {
dst[n2] = t0;
dst[n2 + 1] = t1;
} else {
k = itab[n2];
dst[k * 2] = t0;
dst[k * 2 + 1] = t1;
}
}
factors[0] >>= 1;
DFT_32f((Complex<T>*)dst, (Complex<T>*)dst, n2,
nf - (factors[0] == 1),
factors + (factors[0] == 1), itab,
wave, tab_size, 0, buf,
inplace ? 0 : DFT_NO_PERMUTE, 1.);
factors[0] <<= 1;
for (j = 0; j < n; j += 2) {
t0 = dst[j] * scale;
t1 = dst[j + 1] * (-scale);
dst[j] = t0;
dst[j + 1] = t1;
}
}
if (complex_input)
((T*)src)[0] = (T)save_s1;
}
template<typename _Tp, int chs>
static void complementComplexOutput(Mat_<_Tp, chs>& dst, int len, int dft_dims)
{
int i, n = dst.cols;
size_t elem_size = dst.elemSize1();
if (elem_size == sizeof(float)) {
float* p0 = (float*)dst.ptr();
size_t dstep = dst.step / sizeof(p0[0]);
for (i = 0; i < len; i++) {
float* p = p0 + dstep*i;
float* q = dft_dims == 1 || i == 0 || i * 2 == len ? p : p0 + dstep*(len - i);
for (int j = 1; j < (n + 1) / 2; j++) {
p[(n - j) * 2] = q[j * 2];
p[(n - j) * 2 + 1] = -q[j * 2 + 1];
}
}
} else {
double* p0 = (double*)dst.ptr();
size_t dstep = dst.step / sizeof(p0[0]);
for (i = 0; i < len; i++) {
double* p = p0 + dstep*i;
double* q = dft_dims == 1 || i == 0 || i * 2 == len ? p : p0 + dstep*(len - i);
for (int j = 1; j < (n + 1) / 2; j++) {
p[(n - j) * 2] = q[j * 2];
p[(n - j) * 2 + 1] = -q[j * 2 + 1];
}
}
}
}
template<typename dump>
static void CopyColumn(const uchar* _src, size_t src_step, uchar* _dst, size_t dst_step, int len, size_t elem_size)
{
int i, t0, t1;
const int* src = (const int*)_src;
int* dst = (int*)_dst;
src_step /= sizeof(src[0]);
dst_step /= sizeof(dst[0]);
if (elem_size == sizeof(int)) {
for (i = 0; i < len; i++, src += src_step, dst += dst_step)
dst[0] = src[0];
} else if (elem_size == sizeof(int) * 2) {
for (i = 0; i < len; i++, src += src_step, dst += dst_step) {
t0 = src[0]; t1 = src[1];
dst[0] = t0; dst[1] = t1;
}
} else if (elem_size == sizeof(int) * 4) {
for (i = 0; i < len; i++, src += src_step, dst += dst_step) {
t0 = src[0]; t1 = src[1];
dst[0] = t0; dst[1] = t1;
t0 = src[2]; t1 = src[3];
dst[2] = t0; dst[3] = t1;
}
}
}
template<typename dump>
static void CopyFrom2Columns(const uchar* _src, size_t src_step, uchar* _dst0, uchar* _dst1, int len, size_t elem_size)
{
int i, t0, t1;
const int* src = (const int*)_src;
int* dst0 = (int*)_dst0;
int* dst1 = (int*)_dst1;
src_step /= sizeof(src[0]);
if (elem_size == sizeof(int)) {
for (i = 0; i < len; i++, src += src_step) {
t0 = src[0]; t1 = src[1];
dst0[i] = t0; dst1[i] = t1;
}
} else if (elem_size == sizeof(int) * 2) {
for (i = 0; i < len * 2; i += 2, src += src_step) {
t0 = src[0]; t1 = src[1];
dst0[i] = t0; dst0[i + 1] = t1;
t0 = src[2]; t1 = src[3];
dst1[i] = t0; dst1[i + 1] = t1;
}
} else if (elem_size == sizeof(int) * 4) {
for (i = 0; i < len * 4; i += 4, src += src_step) {
t0 = src[0]; t1 = src[1];
dst0[i] = t0; dst0[i + 1] = t1;
t0 = src[2]; t1 = src[3];
dst0[i + 2] = t0; dst0[i + 3] = t1;
t0 = src[4]; t1 = src[5];
dst1[i] = t0; dst1[i + 1] = t1;
t0 = src[6]; t1 = src[7];
dst1[i + 2] = t0; dst1[i + 3] = t1;
}
}
}
template<typename dump>
static void CopyTo2Columns(const uchar* _src0, const uchar* _src1, uchar* _dst, size_t dst_step, int len, size_t elem_size)
{
int i, t0, t1;
const int* src0 = (const int*)_src0;
const int* src1 = (const int*)_src1;
int* dst = (int*)_dst;
dst_step /= sizeof(dst[0]);
if (elem_size == sizeof(int)) {
for (i = 0; i < len; i++, dst += dst_step) {
t0 = src0[i]; t1 = src1[i];
dst[0] = t0; dst[1] = t1;
}
} else if (elem_size == sizeof(int) * 2) {
for (i = 0; i < len * 2; i += 2, dst += dst_step) {
t0 = src0[i]; t1 = src0[i + 1];
dst[0] = t0; dst[1] = t1;
t0 = src1[i]; t1 = src1[i + 1];
dst[2] = t0; dst[3] = t1;
}
} else if (elem_size == sizeof(int) * 4) {
for (i = 0; i < len * 4; i += 4, dst += dst_step) {
t0 = src0[i]; t1 = src0[i + 1];
dst[0] = t0; dst[1] = t1;
t0 = src0[i + 2]; t1 = src0[i + 3];
dst[2] = t0; dst[3] = t1;
t0 = src1[i]; t1 = src1[i + 1];
dst[4] = t0; dst[5] = t1;
t0 = src1[i + 2]; t1 = src1[i + 3];
dst[6] = t0; dst[7] = t1;
}
}
}
template<typename dump>
static void ExpandCCS(uchar* _ptr, int n, int elem_size)
{
int i;
if (elem_size == (int)sizeof(float)) {
float* p = (float*)_ptr;
for (i = 1; i < (n + 1) / 2; i++) {
p[(n - i) * 2] = p[i * 2 - 1];
p[(n - i) * 2 + 1] = -p[i * 2];
}
if ((n & 1) == 0) {
p[n] = p[n - 1];
p[n + 1] = 0.f;
n--;
}
for (i = n - 1; i > 0; i--)
p[i + 1] = p[i];
p[1] = 0.f;
} else {
double* p = (double*)_ptr;
for (i = 1; i < (n + 1) / 2; i++) {
p[(n - i) * 2] = p[i * 2 - 1];
p[(n - i) * 2 + 1] = -p[i * 2];
}
if ((n & 1) == 0) {
p[n] = p[n - 1];
p[n + 1] = 0.f;
n--;
}
for (i = n - 1; i > 0; i--)
p[i + 1] = p[i];
p[1] = 0.f;
}
}
template<typename dump>
static int DFTFactorize(int n, int* factors)
{
int nf = 0, f, i, j;
if (n <= 5) {
factors[0] = n;
return 1;
}
f = (((n - 1) ^ n) + 1) >> 1;
if (f > 1) {
factors[nf++] = f;
n = f == n ? 1 : n / f;
}
for (f = 3; n > 1;) {
int d = n / f;
if (d*f == n) {
factors[nf++] = f;
n = d;
} else {
f += 2;
if (f*f > n)
break;
}
}
if (n > 1)
factors[nf++] = n;
f = (factors[0] & 1) == 0;
for (i = f; i < (nf + f) / 2; i++)
std::swap(factors[i], factors[nf - i - 1 + f]);
return nf;
}
template<typename dump>
static void DFTInit(int n0, int nf, int* factors, int* itab, int elem_size, void* _wave, int inv_itab)
{
int digits[34], radix[34];
int n = factors[0], m = 0;
int* itab0 = itab;
int i, j, k;
Complex<double> w, w1;
double t;
if (n0 <= 5) {
itab[0] = 0;
itab[n0 - 1] = n0 - 1;
if (n0 != 4) {
for (i = 1; i < n0 - 1; i++)
itab[i] = i;
} else {
itab[1] = 2;
itab[2] = 1;
}
if (n0 == 5) {
if (elem_size == sizeof(Complex<double>))
((Complex<double>*)_wave)[0] = Complex<double>(1., 0.);
else
((Complex<float>*)_wave)[0] = Complex<float>(1.f, 0.f);
}
if (n0 != 4)
return;
m = 2;
} else {
// radix[] is initialized from index 'nf' down to zero
assert(nf < 34);
radix[nf] = 1;
digits[nf] = 0;
for (i = 0; i < nf; i++) {
digits[i] = 0;
radix[nf - i - 1] = radix[nf - i] * factors[nf - i - 1];
}
if (inv_itab && factors[0] != factors[nf - 1])
itab = (int*)_wave;
if ((n & 1) == 0) {
int a = radix[1], na2 = n*a >> 1, na4 = na2 >> 1;
for (m = 0; (unsigned)(1 << m) < (unsigned)n; m++)
;
if (n <= 2) {
itab[0] = 0;
itab[1] = na2;
} else if (n <= 256) {
int shift = 10 - m;
for (i = 0; i <= n - 4; i += 4) {
j = (bitrevTab[i >> 2] >> shift)*a;
itab[i] = j;
itab[i + 1] = j + na2;
itab[i + 2] = j + na4;
itab[i + 3] = j + na2 + na4;
}
} else {
int shift = 34 - m;
for (i = 0; i < n; i += 4) {
int i4 = i >> 2;
j = BitRev(i4, shift)*a;
itab[i] = j;
itab[i + 1] = j + na2;
itab[i + 2] = j + na4;
itab[i + 3] = j + na2 + na4;
}
}
digits[1]++;
if (nf >= 2) {
for (i = n, j = radix[2]; i < n0;) {
for (k = 0; k < n; k++)
itab[i + k] = itab[k] + j;
if ((i += n) >= n0)
break;
j += radix[2];
for (k = 1; ++digits[k] >= factors[k]; k++) {
digits[k] = 0;
j += radix[k + 2] - radix[k];
}
}
}
} else {
for (i = 0, j = 0;;) {
itab[i] = j;
if (++i >= n0)
break;
j += radix[1];
for (k = 0; ++digits[k] >= factors[k]; k++) {
digits[k] = 0;
j += radix[k + 2] - radix[k];
}
}
}
if (itab != itab0) {
itab0[0] = 0;
for (i = n0 & 1; i < n0; i += 2) {
int k0 = itab[i];
int k1 = itab[i + 1];
itab0[k0] = i;
itab0[k1] = i + 1;
}
}
}
if ((n0 & (n0 - 1)) == 0) {
w.re = w1.re = DFTTab[m][0];
w.im = w1.im = -DFTTab[m][1];
} else {
t = -FBC_PI * 2 / n0;
w.im = w1.im = sin(t);
w.re = w1.re = std::sqrt(1. - w1.im*w1.im);
}
n = (n0 + 1) / 2;
if (elem_size == sizeof(Complex<double>)) {
Complex<double>* wave = (Complex<double>*)_wave;
wave[0].re = 1.;
wave[0].im = 0.;
if ((n0 & 1) == 0) {
wave[n].re = -1.;
wave[n].im = 0;
}
for (i = 1; i < n; i++) {
wave[i] = w;
wave[n0 - i].re = w.re;
wave[n0 - i].im = -w.im;
t = w.re*w1.re - w.im*w1.im;
w.im = w.re*w1.im + w.im*w1.re;
w.re = t;
}
} else {
Complex<float>* wave = (Complex<float>*)_wave;
assert(elem_size == sizeof(Complex<float>));
wave[0].re = 1.f;
wave[0].im = 0.f;
if ((n0 & 1) == 0) {
wave[n].re = -1.f;
wave[n].im = 0.f;
}
for (i = 1; i < n; i++) {
wave[i].re = (float)w.re;
wave[i].im = (float)w.im;
wave[n0 - i].re = (float)w.re;
wave[n0 - i].im = (float)-w.im;
t = w.re*w1.re - w.im*w1.im;
w.im = w.re*w1.im + w.im*w1.re;
w.re = t;
}
}
}
// Calculates the inverse Discrete Fourier Transform of a 1D or 2D array
template<typename _Tp, int chs1, int chs2>
int idft(const Mat_<_Tp, chs1>& src, Mat_<_Tp, chs2>& dst, int flags = 0, int nonzero_rows = 0)
{
dft(src, dst, flags | DFT_INVERSE, nonzero_rows);
}
} // namespace fbc
#endif // FBC_CV_DFT_HPP_
测试代码test_dft.cpp:
#include "test_dft.hpp"
#include <assert.h>
#include <vector>
#include <dft.hpp>
#include <imgproc.hpp>
#include <merge.hpp>
#include <split.hpp>
#include <core/mathfuncs.hpp>
#include <opencv2/opencv.hpp>
int test_dft_float()
{
cv::Mat matSrc = cv::imread("E:/GitCode/OpenCV_Test/test_images/1.jpg", 1);
if (matSrc.empty()) {
std::cout << "read image fail" << std::endl;
return -1;
}
cv::cvtColor(matSrc, matSrc, CV_BGR2GRAY);
int width = matSrc.cols;
int height = matSrc.rows;
fbc::Mat_<uchar, 1> mat1(height, width, matSrc.data);
int m = fbc::getOptimalDFTSize(mat1.rows);
int n = fbc::getOptimalDFTSize(mat1.cols);
fbc::Mat_<uchar, 1> padded(m, n); //expand input image to optimal size
// on the border add zero values
fbc::copyMakeBorder(mat1, padded, 0, m - mat1.rows, 0, n - mat1.cols, fbc::BORDER_CONSTANT, fbc::Scalar::all(0));
fbc::Mat_<float, 1> padded1(m, n);
padded.convertTo(padded1);
fbc::Mat_<float, 1> tmp(m, n, fbc::Scalar::all(0));
std::vector<fbc::Mat_<float, 1>> planes{ padded1, tmp}; // Add to the expanded another plane with zeros
fbc::Mat_<float, 2> complexI(m, n);
fbc::merge(planes, complexI);
fbc::Mat_<float, 2> dft(m, n);
fbc::dft(complexI, dft);
// compute the magnitude and switch to logarithmic scale
// => log(1 + sqrt(Re(DFT(I))^2 + Im(DFT(I))^2))
fbc::split(dft, planes);
fbc::Mat_<float, 1> mag;
fbc::magnitude(planes[0], planes[1], mag);
fbc::Mat_<float, 1> ones(mag.rows, mag.cols, fbc::Scalar::all(1.0));
mag += ones;
fbc::log(mag, mag);
// crop the spectrum, if it has an odd number of rows or columns
fbc::Mat_<float, 1> crop;
mag.copyTo(crop, fbc::Rect(0, 0, mag.cols & -2, mag.rows & -2));
// rearrange the quadrants of Fourier image so that the origin is at the image center
int cx = crop.cols / 2;
int cy = crop.rows / 2;
fbc::Mat_<float, 1> q0, q1, q2, q3;
crop.getROI(q0, fbc::Rect(0, 0, cx, cy)); // Top-Left - Create a ROI per quadrant
crop.getROI(q1, fbc::Rect(cx, 0, cx, cy)); // Top-Right
crop.getROI(q2, fbc::Rect(0, cy, cx, cy)); // Bottom-Left
crop.getROI(q3, fbc::Rect(cx, cy, cx, cy)); // Bottom-Right
fbc::Mat_<float, 1> tmp1; // swap quadrants (Top-Left with Bottom-Right)
q0.copyTo(tmp1);
for (int y = 0; y < q3.rows; y++) { // q3.copyTo(q0);
float* p1 = (float*)q0.ptr(y);
float* p2 = (float*)q3.ptr(y);
for (int x = 0; x < q3.cols; x++) {
p1[x] = p2[x];
}
}
for (int y = 0; y < q3.rows; y++) { // tmp1.copyTo(q3);
float* p1 = (float*)tmp1.ptr(y);
float* p2 = (float*)q3.ptr(y);
for (int x = 0; x < q3.cols; x++) {
p2[x] = p1[x];
}
}
q1.copyTo(tmp1); // swap quadrant (Top-Right with Bottom-Left)
for (int y = 0; y < q2.rows; y++) { // q2.copyTo(q1);
float* p1 = (float*)q1.ptr(y);
float* p2 = (float*)q2.ptr(y);
for (int x = 0; x < q2.cols; x++) {
p1[x] = p2[x];
}
}
for (int y = 0; y < q2.rows; y++) { // tmp1.copyTo(q2);
float* p1 = (float*)q2.ptr(y);
float* p2 = (float*)tmp1.ptr(y);
for (int x = 0; x < q2.cols; x++) {
p1[x] = p2[x];
}
}
fbc::normalize(crop, crop, 0, 1, FBC_MINMAX); // Transform the matrix with float values into a
// viewable image form (float between values 0 and 1).
cv::Mat mat1_(height, width, CV_8UC1, matSrc.data);
int m_ = cv::getOptimalDFTSize(mat1_.rows);
int n_ = cv::getOptimalDFTSize(mat1_.cols);
cv::Mat padded_;
cv::copyMakeBorder(mat1_, padded_, 0, m_ - mat1_.rows, 0, n_ - mat1_.cols, cv::BORDER_CONSTANT, cv::Scalar::all(0));
cv::Mat planes_[2] { cv::Mat_<float>(padded_), cv::Mat::zeros(padded_.size(), CV_32F) };
cv::Mat complexI_;
cv::merge(planes_, 2, complexI_); // Add to the expanded another plane with zeros
cv::Mat dft_;
cv::dft(complexI_, dft_);
cv::split(dft_, planes_);
cv::Mat mag_;
cv::magnitude(planes_[0], planes_[1], mag_);
cv::Mat ones_(mag_.rows, mag_.cols, CV_32FC1, cv::Scalar::all(1.0));
mag_ += ones_;
cv::log(mag_, mag_);
cv::Mat crop_ = mag_(cv::Rect(0, 0, mag.cols & -2, mag.rows & -2));
int cx_ = crop_.cols / 2;
int cy_ = crop_.rows / 2;
cv::Mat q0_(crop_, cv::Rect(0, 0, cx, cy));
cv::Mat q1_(crop_, cv::Rect(cx, 0, cx, cy));
cv::Mat q2_(crop_, cv::Rect(0, cy, cx, cy));
cv::Mat q3_(crop_, cv::Rect(cx, cy, cx, cy));
cv::Mat tmp1_;
q0_.copyTo(tmp1_);
q3_.copyTo(q0_);
tmp1_.copyTo(q3_);
q1_.copyTo(tmp1_);
q2_.copyTo(q1_);
tmp1_.copyTo(q2_);
cv::normalize(crop_, crop_, 0, 1, CV_MINMAX);
assert(m == m_ && n == n_ && padded.step == padded_.step);
for (int y = 0; y < m; y++) {
const fbc::uchar* p = padded.ptr(y);
const uchar* p_ = padded_.ptr(y);
for (int x = 0; x < padded.step; x++) {
assert(p[x] == p_[x]);
}
}
assert(complexI.rows == complexI_.rows && complexI.cols == complexI_.cols && complexI.channels == complexI_.channels() && complexI.step == complexI_.step);
for (int y = 0; y < m; y++) {
const fbc::uchar* p = complexI.ptr(y);
const uchar* p_ = complexI_.ptr(y);
for (int x = 0; x < complexI.step; x++) {
assert(p[x] == p_[x]);
}
}
assert(dft.rows == dft_.rows && dft.cols == dft_.cols && dft.channels == dft_.channels() && dft.step == dft_.step);
for (int y = 0; y < m; y++) {
const fbc::uchar* p = dft.ptr(y);
const uchar* p_ = dft_.ptr(y);
for (int x = 0; x < dft.step; x++) {
assert(p[x] == p_[x]);
}
}
assert(crop.rows == crop_.rows && crop.cols == crop_.cols && crop.channels == crop_.channels() && crop.step == crop_.step);
for (int y = 0; y < crop.rows; y++) {
const fbc::uchar* p = crop.ptr(y);
const uchar* p_ = crop_.ptr(y);
for (int x = 0; x < crop.step; x++) {
assert(p[x] == p_[x]);
}
}
cv::Mat dst(crop.rows, crop.cols, CV_32FC1, crop_.data);
dst = dst * 255;
cv::imwrite("E:/GitCode/OpenCV_Test/test_images/dft.jpg", dst);
return 0;
}
测试图像结果如下:
2059

被折叠的 条评论
为什么被折叠?



