ArcGIS实现长时序趋势分析-含slope和p值

本文介绍了三种GIS软件在趋势分析中的应用方法:ArcGIS的栅格计算器和Curve_Fit插件计算Slope与P值,以及ENVI的小熊工具箱自动化分析。着重比较了方法二(Curve_Fit)的自动化优势和方法三(ENVI)的速度问题。

以下是我在摸索趋势分析的一些总结,有些方法结果不理想,个人比较推荐方法二,赶时间的朋友们可直接跳转方法二


目前有3种方法可以使用GIS软件实现趋势分析。

方法一:

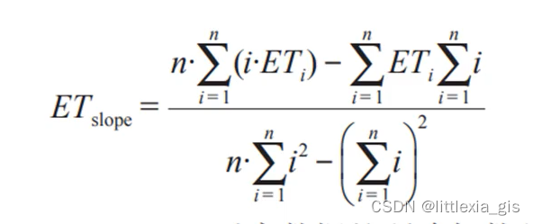
利用ArcGIS的栅格计算器,输入趋势检验的公式,可得到斜率,将结果划分,Slope>0,表现为增加趋势,Slope<0,表现为减少趋势。

这个方法需要提前在文档或excel中整理好公式,确保栅格计算器中的输入无误,此方法缺点是没有显著性检验

图文教程;基于arcgis栅格计算器进行连续时间序列NDVI的Slope趋势分析-CSDN博客

视频教程:

A&C分区|Arcgis空间演变分析,含Slope趋势计算,影像不同分级定量统计(时空演变格局第二集:空间演变分析)_哔哩哔哩_bilibili

方法二:

添加Curve_Fit插件,自动化计算slpe与p值等,下载地址:Curve Fit : A Pixel Level Raster Regression Tool - Desktop Decision Support Tools (usgs.gov)

安装过程参考:将Curve Fit工具添加到ArcGIS 10.2及更高版本中_arccurvefit-CSDN博客

 安装成功后,将Curve_Fit插件从ArcGIS的自定义模式中选中拖动到工具条的任意位置上。

双击插件,选择输入图层,起始年份从1开始计数,依次类推,如下图所示,选择关系式,如果选择y=ax+b,则输出的文件选择parameter a,它就是要求的斜率,同时,勾选P Value做显著性检验,选这两个能够趋势分析的要求。

 

该方法等待时间较长(大概要几个小时) ,最终会出两个栅格数据。

对趋势分析的结果进行划分,可以参照下表

怎么生成划分的结果呢,我的方法直接但也比较多重复性操作,根据表格内容将Slope数据重分类成2类,p值数据重分类为3类。然后使用栅格计算器工具生成【交集】数据

交集公式:SetNull((IsNull("slope2") | IsNull("p1")),1)

这样,依次计算就得到了五组具有不同含义的数据,最后将它们叠加或镶嵌到一个栅格里。最终生成20年数据的趋势分析。

方法三:

在ENVI中利用【小熊工具箱】自动化进行趋势分析,计算过程很快,具体步骤可参考ENVI结合ArcGIS制作2001-2018年NDVI趋势图(附实用工具和数据下载) - 知乎 (zhihu.com)

但是我在使用这个方法后,出现基准面和投影的问题,不方便裁剪和空间分析,要解决这个问题需要花一定时间,由于时间关系,这个方法我先舍弃。

评论 29
添加红包

请填写红包祝福语或标题

红包个数最小为10个

红包金额最低5元

当前余额3.43前往充值 >
需支付:10.00
成就一亿技术人!
领取后你会自动成为博主和红包主的粉丝 规则
hope_wisdom
发出的红包
实付
使用余额支付
点击重新获取
扫码支付
钱包余额 0

抵扣说明:

1.余额是钱包充值的虚拟货币,按照1:1的比例进行支付金额的抵扣。
2.余额无法直接购买下载,可以购买VIP、付费专栏及课程。

余额充值