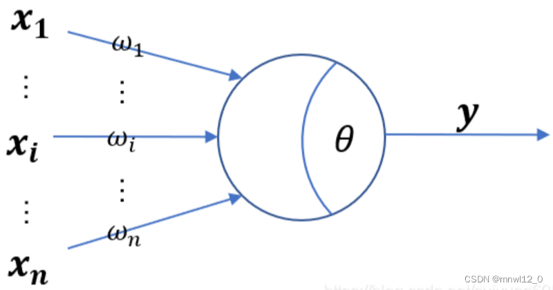
1.单个神经元
神经网络算法,是使用计算机模拟生物神经系统,来模拟人类思维方式的算法。它的基本单位就是人工神经元。通过相互连接形成一张神经网络。

生物神经网络中,每个神经元与其他神经元连接,当它“激活”时,会传递化学物质到相连的神经元,改变其他神经元的电位,当电位达到一定“阈值”,那么这个神经元也会被激活。
单个人工神经元的计算公式:

其中: x 为输入参数向量,表示其他神经元输入的信号。 w为每个输入参数的权重值,表示对应神经元信号的权重。 θ为阈值或者偏差值,是指该激活神经元的难易程度。 y为神经元的输出值,表示该神经元是否被激活。
#----------------------------------
神经元的偏移量θ(也称为偏移项或截距项)是用于调整激活函数的阈值。
激活函数的作用是将神经元的输入转化为输出,其中超过阈值的输入将被激活,而低于阈值的输入则不被激活。偏移量允许我们在没有明确的输入信号的情况下激活神经元。
偏移量的引入可以让神经元对输入信号的灵敏度发生变化。通过调整偏移量的大小,我们可以改变激活函数在输入空间中的位置。这样一来,神经元可以更好地适应不同的输入模式和问题。偏移量允许我们在输入数据中引入一定的偏差,从而更准确地进行分类或预测。
------------------------------------#
Act()为激活函数,常见的有:


2.全连接神经网络结构
定义一个全连接神经网络:(输入层X-L-1个隐藏层-输出层Y)

全连接神经网络,就是指每一层的每个神经元都和下一层的每个神经元相连接。
输入层X是一个样本向量,输出层y变量的上标(0)~(L)表示该变量处于神经网络的哪一层。
表示第L层编号为i的神经元。
表示第L层的神经元数量。
3.反向传播算法(BP算法)
下面来说明如何调整一个神经网络的参数,也就是误差反向传播算法(BP算法)。以得到一个能够根据输入,预测正确输出的模型。
3.1了解优化的目标
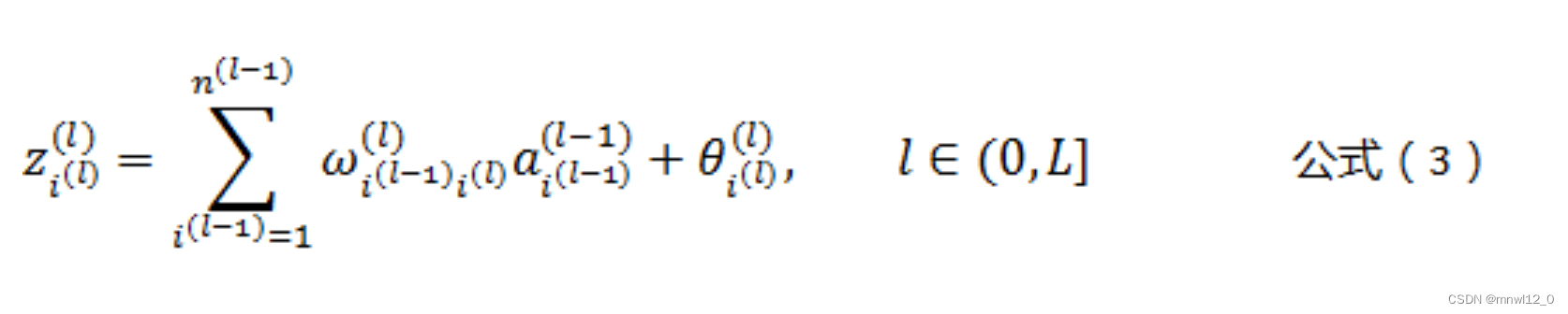
根据人工神经元的定义,有以下三个公式:

其中

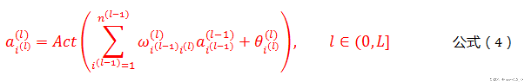
根据公式(2)和公式(3),可以得出各个层的神经元之间的通用计算公式,如下所示:

公式(4)是人工神经网络正向传播的核心公式。只有每层激活后才能向前传导。
#---------------------------分割线------------------------------#
调整神经网络的参数,以得到一个能够正确预测结果的模型。需要定义一个损失函数,使得损失最小,预测与未来实际情况偏差最小。即期望的输出和实际输出的“差别”,其中cost()叫做损失函数。我们的期望是损失值达到最小。定义损失函数如下:

但是,只根据一次输出的损失值,对参数进行调整,无法使模型适应所有输入样本。我们需要的是,调整参数,使得所有输入样本,得到输出的总损失值最小,而不是只让其中一个样本的损失值最小,导致其他样本损失值增大。因此有如下公式:

公式(6)表示一个batch的所有样本输出的总损失值的平均值。其中,bn表示一个batch中样本的数量。
为什么不用所有的样本计算损失值,而将所有样本分成一个个的batch呢?因为所有的训练样本数量太大了,可能有数以百万计,将所有的样本损失值都一起进行运算,计算量过于庞大,大大降低了模型计算的速度。
公式(6)中计算总的损失值C,其实是一个以所有的连接权值ω和所有的阈值θ为变量的多元函数。我们想要的模型就是求得C最小时,所有ω和θ的值。直接计算显然是不可能的,因为对于一个大的深度神经网络,所有的参数变量,可能数以万计。
在这里我们使用梯度下降算法来逐步逼近C的最小值,也就是先随机得到一组参数变量的值,然后计算参数变量当前的梯度,向梯度的反方向,也就是C变小最快的方向,逐步调整参数值,最终得到C的最小值,或者近似最小值。(梯度:类似于曲线在某一点的导数值,即切线,该点沿切线变化速度最快,正方向增大最快,反方向减小最快)
而将所有样本,随机分成一个个固定长度的batch,以得到近似的梯度方向,叫做随机梯度下降算法。
3.2开始求梯度
那么,根据梯度的定义,接下来的任务,就是求取各个参数变量相对于C的偏导数。我们将使用误差反向传播算法来求取各个参数变量的偏导数。
这里先剧透一下,求取参数偏导数的方法,和神经网络正向传播(根据样本计算输出值)的方式类似,也是逐层求解,只是方向正好相反,从最后一层L层开始,逐层向前。
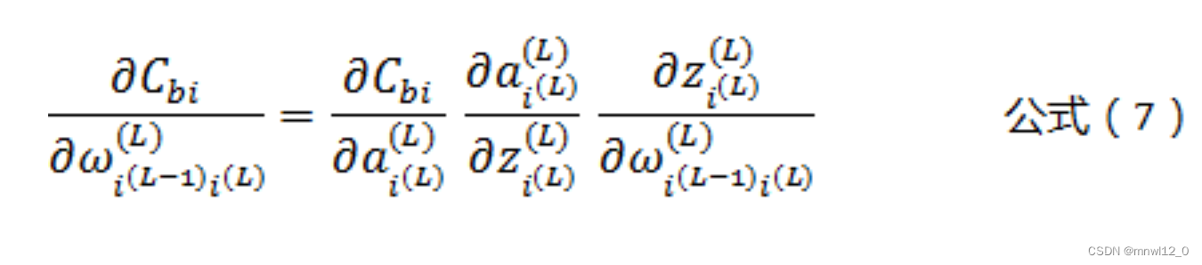
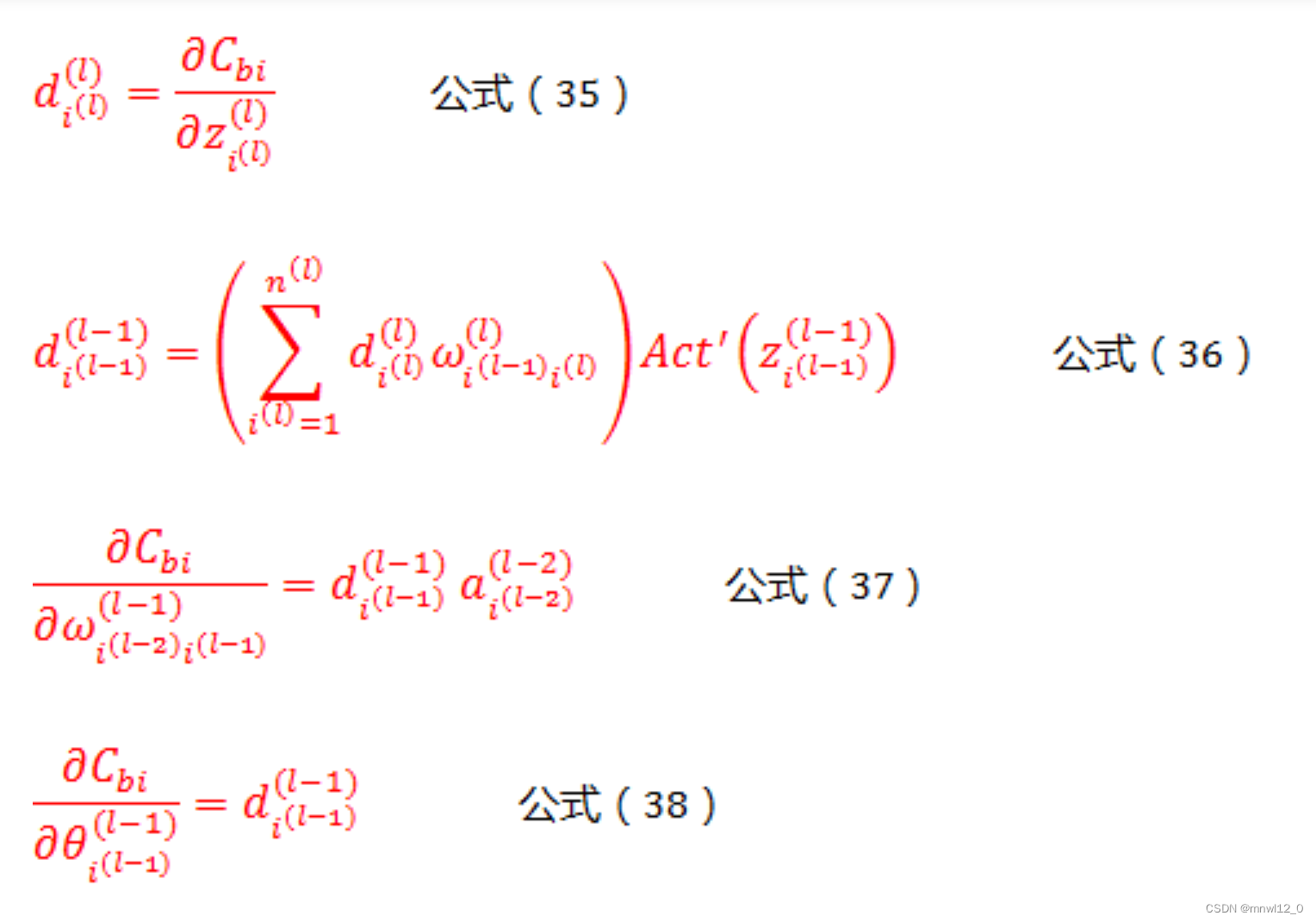
首先,我们先求神经网络最后一层,也就是输出层的相关参数的偏导数。为了降低推导的复杂性,我们只计算相对于一个样本的损失值函数Cbi的偏导数,因为相对于总损失值函数C的偏导数值,也不过是把某个参数的所有相对于Cbi偏导数值加起来而已。
根据公式(2)、公式(3)、公式(5),以及“复合函数求导法则”,可以得到输出层(L层)某个神经元的权值参数ω的偏导数,计算公式如下:

根据公式(5)可以得到:

根据公式(2)可以得到:

根据公式(3)可以得到:
![]()
将公式(8)(9)(10),带入公式(7),可以得到:

我们令d为梯度:
![]()
根据公式(8)(9)得到:

将公式(13),带入公式(11),可以得到:

这样我们就得到了输出层L相关的权值参数ω的偏导数计算公式!
接下来,同理可得输出层L相关的阈值θ的偏导数计算公式为:

而根据公式(3)可以得到:

将公式(16)带入公式(15)可以得到:

这就是输出层L相关的阈值θ的偏导数计算公式!
3.3根据L层,求前一层参数的偏导函数
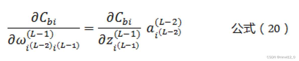
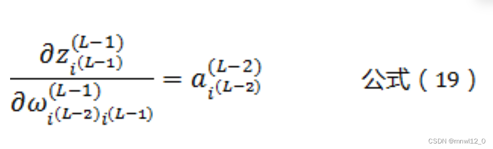
由公式(3)可知,一个权值参数ω只影响一个L-1层的神经元,因此有:

根据公式(3)可以得到:
![]()
根据公式(3)可以得到:

根据公式(12)可以得到:

将公式(21)带入公式(20)可以得到:

同理,我们可以得到:

根据公式(3)可以得到:

将公式(24)带入公式(23)可以得到:

这样我们就得到了L-1层神经元相关参数的计算公式!
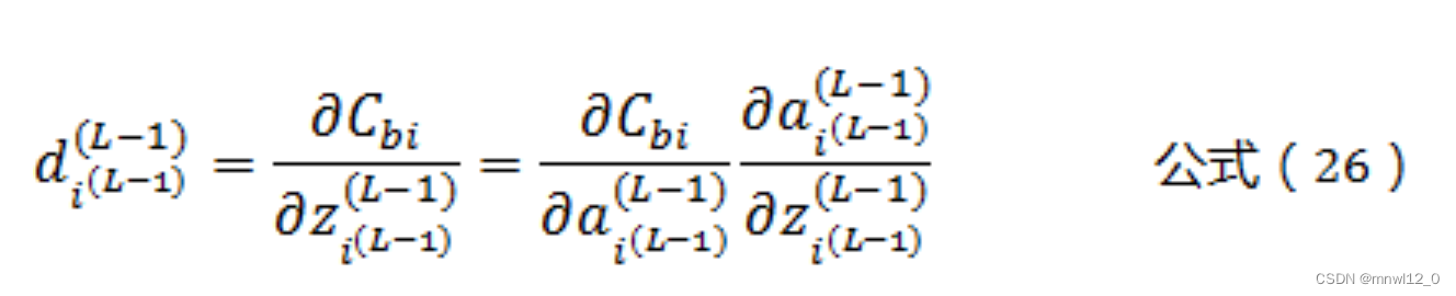
下面,我们还需要推导一下
之间的关系,根据公式(2)可以得到:

同样根据公式(2)可以得到:

将公式(27)带入公式(26)可以得到:
![]()
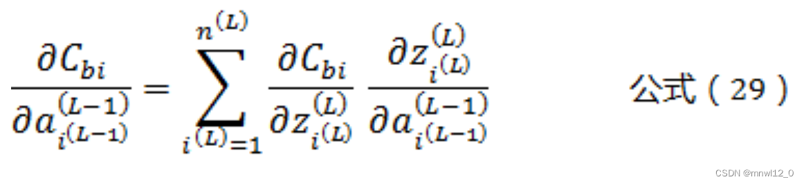
由公式(3)可知,一个权值参数ω只影响一个L-1层的神经元,但这个L-1层神经元影响了所有L层的神经元。因此,根据“多元复合函数求导法则”有:

根据公式(12)可以得到:
![]()
将公式(27)带入公式(26)可以得到:

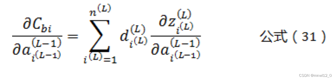
根据公式(3)可以得到:

将公式(32)带入到公式(31)可以得到:

将公式(33)带入公式(28)可以得到:

这样我们就得到了反向传播,逐层推导的通用公式:

在这里,ω和z都是正向传播过程中,已经算好的常数,而
可以从L层开始逐层向前推导,直到第1层,第0层是输入层,不需要调整参数。而第L层的
可参考公式(13)。
3.4全连接神经网络的python实现代码(sin(x)模拟优化[2部分为有注释代码])
#coding=utf-8
import numpy as np
import matplotlib.pylab as plt
import random
class NeuralNetwork(object):
def __init__(self, sizes, act, act_derivative, cost_derivative):
#sizes表示神经网络各层的神经元个数,第一层为输入层,最后一层为输出层
#act为神经元的激活函数
#act_derivative为激活函数的导数
#cost_derivative为损失函数的导数
self.num_layers = len(sizes)
self.sizes = sizes
self.biases = [np.random.randn(nueron_num, 1) for nueron_num in sizes[1:]]
self.weights = [np.random.randn(next_layer_nueron_num, nueron_num)
for nueron_num, next_layer_nueron_num in zip(sizes[:-1], sizes[1:])]
self.act=act
self.act_derivative=act_derivative
self.cost_derivative=cost_derivative
#前向反馈(正向传播)
def feedforward(self, a):
#逐层计算神经元的激活值,公式(4)
for b, w in zip(self.biases, self.weights):
a = self.act(np.dot(w, a)+b)
return a
#随机梯度下降算法
def SGD(self, training_data, epochs, batch_size, learning_rate):
#将训练样本training_data随机分为若干个长度为batch_size的batch
#使用各个batch的数据不断调整参数,学习率为learning_rate
#迭代epochs次
n = len(training_data)
for j in range(epochs):
random.shuffle(training_data)
batches = [training_data[k:k+batch_size] for k in range(0, n, batch_size)]
for batch in batches:
self.update_batch(batch, learning_rate)
print("Epoch {0} complete".format(j))
def update_batch(self, batch, learning_rate):
#根据一个batch中的训练样本,调整各个参数值
nabla_b = [np.zeros(b.shape) for b in self.biases]
nabla_w = [np.zeros(w.shape) for w in self.weights]
for x, y in batch:
delta_nabla_b, delta_nabla_w = self.backprop(x, y)
nabla_b = [nb+dnb for nb, dnb in zip(nabla_b, delta_nabla_b)]
nabla_w = [nw+dnw for nw, dnw in zip(nabla_w, delta_nabla_w)]
#计算梯度,并调整各个参数值
self.weights = [w-(learning_rate/len(batch))*nw for w, nw in zip(self.weights, nabla_w)]
self.biases = [b-(learning_rate/len(batch))*nb for b, nb in zip(self.biases, nabla_b)]
#反向传播
def backprop(self, x, y):
#保存b和w的偏导数值
nabla_b = [np.zeros(b.shape) for b in self.biases]
nabla_w = [np.zeros(w.shape) for w in self.weights]
#正向传播
activation = x
#保存每一层神经元的激活值
activations = [x]
#保存每一层神经元的z值
zs = []
for b, w in zip(self.biases, self.weights):
z = np.dot(w, activation)+b
zs.append(z)
activation = self.act(z)
activations.append(activation)
#反向传播得到各个参数的偏导数值
#公式(13)
d = self.cost_derivative(activations[-1], y) * self.act_derivative(zs[-1])
#公式(17)
nabla_b[-1] = d
#公式(14)
nabla_w[-1] = np.dot(d, activations[-2].transpose())
#反向逐层计算
for l in range(2, self.num_layers):
z = zs[-l]
sp = self.act_derivative(z)
#公式(36),反向逐层求参数偏导
d = np.dot(self.weights[-l+1].transpose(), d) * sp
#公式(38)
nabla_b[-l] = d
#公式(37)
nabla_w[-l] = np.dot(d, activations[-l-1].transpose())
return (nabla_b, nabla_w)
#距离函数的偏导数
def distance_derivative(output_activations, y):
#损失函数的偏导数
return 2*(output_activations-y)
# sigmoid函数
def sigmoid(z):
return 1.0/(1.0+np.exp(-z))
# sigmoid函数的导数
def sigmoid_derivative(z):
return sigmoid(z)*(1-sigmoid(z))
if __name__ == "__main__":
#创建一个5层的全连接神经网络,每层的神经元个数为1,8,5,3,1
#其中第一层为输入层,最后一层为输出层
network=NeuralNetwork([1,8,5,3,1],sigmoid,sigmoid_derivative,distance_derivative)
#训练集样本
x = np.array([np.linspace(-7, 7, 200)]).T
#训练集结果,由于使用了sigmoid作为激活函数,需保证其结果落在(0,1)区间内
y = (np.cos(x)+1)/2
#使用随机梯度下降算法(SGD)对模型进行训练
#迭代5000次;每次随机抽取40个样本作为一个batch;学习率设为0.1
training_data=[(np.array([x_value]),np.array([y_value])) for x_value,y_value in zip(x,y)]
network.SGD(training_data,5000,40,0.1)
#测试集样本
x_test = np.array([np.linspace(-9, 9, 120)])
#测试集结果
y_predict = network.feedforward(x_test)
#图示对比训练集和测试集数据
plt.plot(x,y,'r',x_test.T,y_predict.T,'*')
plt.show()
#coding=utf-8
import numpy as np
import matplotlib.pylab as plt
import random
class NeuralNetwork(object):
def __init__(self, sizes, act, act_derivative, cost_derivative):#初始化函数
self.num_layers = len(sizes)#sizes表示神经网络各层的神经元个数,第一层为输入层,最后一层为输出层size=[1,3,8,4,1]
self.sizes = sizes
self.biases = [np.random.randn(nueron_num, 1) for nueron_num in sizes[1:]]#生成每一层(除了输入层)的偏置项,标准正态分布(均值为0,标准差为1)
self.weights = [np.random.randn(next_layer_nueron_num, nueron_num)#对于每一对神经元数量(当前层神经元数量为nueron_num,下一层神经元数量为next_layer_nueron_num),都会生成一个维度为(next_layer_nueron_num, nueron_num)的随机数数组,表示当前层神经元与下一层神经元之间的权重连接。
for nueron_num, next_layer_nueron_num in zip(sizes[:-1], sizes[1:])]#创建一个新的列表,其中的每个元素都将由相邻的sizes列表元素对组成。这对元素分别表示当前层和下一层的神经元数量。
self.act=act#act为神经元的激活函数
self.act_derivative=act_derivative#act_derivative为激活函数的导数
self.cost_derivative=cost_derivative#cost_derivative为损失函数的导数
#前向反馈(正向传播)
def feedforward(self, a):
#逐层计算神经元的激活值,公式(4)
for b, w in zip(self.biases, self.weights):
a = self.act(np.dot(w, a)+b)
return a
#随机梯度下降算法
def SGD(self, training_data, epochs, batch_size, learning_rate):
n = len(training_data)
for j in range(epochs):#迭代epochs次
random.shuffle(training_data)#将训练样本training_data随机分
batches = [training_data[k:k+batch_size] for k in range(0, n, batch_size)]#将训练样本training_data随机分为若干个长度为batch_size的batch
for batch in batches:
self.update_batch(batch, learning_rate)#调用update_batch,使用各个batch的数据不断调整参数,学习率为learning_rate
print("Epoch {0} complete".format(j))
def update_batch(self, batch, learning_rate):
#根据一个batch中的训练样本,调整各个参数值
nabla_b = [np.zeros(b.shape) for b in self.biases]#用列表推导来创建一个由多个零矩阵组成的列表,与 b 大小相同的全零数组
nabla_w = [np.zeros(w.shape) for w in self.weights]
for x, y in batch:
delta_nabla_b, delta_nabla_w = self.backprop(x, y)
nabla_b = [nb+dnb for nb, dnb in zip(nabla_b, delta_nabla_b)]#对于每对梯度 (nb, dnb) 或 (nw, dnw),将它们逐元素相加,并将结果赋值给 nabla_b 和 nabla_w 中的相应元素。
nabla_w = [nw+dnw for nw, dnw in zip(nabla_w, delta_nabla_w)]
#计算梯度,并调整各个参数值
self.weights = [w-(learning_rate/len(batch))*nw for w, nw in zip(self.weights, nabla_w)]
self.biases = [b-(learning_rate/len(batch))*nb for b, nb in zip(self.biases, nabla_b)]
#反向传播
def backprop(self, x, y):
#保存b和w的偏导数值
nabla_b = [np.zeros(b.shape) for b in self.biases]
nabla_w = [np.zeros(w.shape) for w in self.weights]
#正向传播
activation = x
#保存每一层神经元的激活值
activations = [x]
#保存每一层神经元的z值
zs = []
for b, w in zip(self.biases, self.weights):
z = np.dot(w, activation)+b
zs.append(z)
activation = self.act(z)
activations.append(activation)
#反向传播得到各个参数的偏导数值
#公式(13)
d = self.cost_derivative(activations[-1], y) * self.act_derivative(zs[-1])
#公式(17)
nabla_b[-1] = d
#公式(14)
nabla_w[-1] = np.dot(d, activations[-2].transpose())
#反向逐层计算
for l in range(2, self.num_layers):
z = zs[-l]
sp = self.act_derivative(z)
#公式(36),反向逐层求参数偏导
d = np.dot(self.weights[-l+1].transpose(), d) * sp
#公式(38)
nabla_b[-l] = d
#公式(37)
nabla_w[-l] = np.dot(d, activations[-l-1].transpose())
return (nabla_b, nabla_w)
#距离函数的偏导数
def distance_derivative(output_activations, y):
#损失函数的偏导数
return 2*(output_activations-y)
# sigmoid函数
def sigmoid(z):
return 1.0/(1.0+np.exp(-z))
# sigmoid函数的导数
def sigmoid_derivative(z):
return sigmoid(z)*(1-sigmoid(z))
if __name__ == "__main__":
#创建一个5层的全连接神经网络,每层的神经元个数为1,8,5,3,1
#其中第一层为输入层,最后一层为输出层
network=NeuralNetwork([1,8,5,3,1],sigmoid,sigmoid_derivative,distance_derivative)
#训练集样本
x = np.array([np.linspace(-7, 7, 200)]).T
#训练集结果,由于使用了sigmoid作为激活函数,需保证其结果落在(0,1)区间内
#--------------------可以用作修改的训练函数----------------------------#
y = (np.cos(x)+1)/2
#y = (np.tan(x))/2
#使用随机梯度下降算法(SGD)对模型进行训练
#迭代5000次;每次随机抽取40个样本作为一个batch;学习率设为0.1
training_data=[(np.array([x_value]),np.array([y_value])) for x_value,y_value in zip(x,y)]
#-----------------注意训练次数过少无法训练出效果,拟合图基本没有---------#
network.SGD(training_data,100,40,0.1)
#测试集样本
x_test = np.array([np.linspace(-9, 9, 120)])
#测试集结果
y_predict = network.feedforward(x_test)
#图示对比训练集和测试集数据
plt.plot(x,y,'r',x_test.T,y_predict.T,'*')
plt.show()
本文详细介绍了神经网络的基础单元——人工神经元,包括其计算公式和激活函数。接着阐述了全连接神经网络的结构,每个神经元与下一层所有神经元相连。然后重点讨论了反向传播算法,用于调整网络参数以最小化损失函数,包括梯度计算和参数更新的过程。最后,提供了一个基于Python的全连接神经网络实现示例,展示了如何使用随机梯度下降法进行训练。
9395

被折叠的 条评论
为什么被折叠?



