文章目录
1.线性回归的简介
1.1 定义
线性回归(Linear regression)是利用回归方程(函数)对**一个或多个自变量(特征值)和因变量(目标值)**之间关系进行建模的一种分析方式。
特点:只有一个自变量的情况称为单变量回归,多于一个自变量情况的叫做多元回归

1.2 线性回归的应用场景
-
房价预测
-
销售额度预测
-
贷款额度预测
1.3 线性模型理解
举两个例子:
期末成绩:0.7×考试成绩+0.3×平时成绩
房子价格 = 0.02×中心区域的距离 + 0.04×城市一氧化氮浓度 + (-0.12×自住房平均房价) + 0.254×城镇犯罪率
上面两个例子,我们看到特征值与目标值之间建立了一个关系,这个关系可以理解为线性模型。
使用线性回归的API解决上边的期末成绩案例
线性回归API
sklearn.linear_model.LinearRegression()
LinearRegression.coef_:回归系数
解决的数据

代码实现

2.线性回归的损失与优化
在实际中,真实的回归系数与我们预测的回归系数可能截然不同,真实结果与预测结果之间的差值我们就用损失函数来表示。
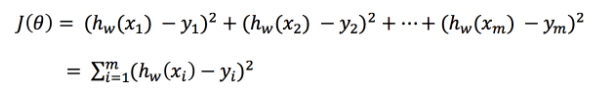
2.1 损失函数
总损失定义为:


如何去减少这个损失,使我们预测的更加准确些?既然存在了这个损失,我们一直说机器学习有自动学习的功能,在线性回归这里更是能够体现。这里可以通过一些优化方法去优化(其实是数学当中的求导功能)回归的总损失!
很多时候对算法的优化就是在求在J(θ)取得最小值(极小值)的时候,对应的回归系数w的值
求J(θ)的极小值的时候常常会遇到局部最优问题,如何解决局部最优问题,找到全局的最优值是机器学习中的重点。
2.2 优化方法
常用的优化方法包括正规方程法和梯度下降法。两者的对比:


常用的梯度下降法:
- 全梯度下降算法(Full gradient descent)FG
- 随机梯度下降算法(Stochastic gradient descent)SG
- 随机平均梯度下降算法(Stochastic average gradient descent) SAG
- 小批量梯度下降算法(Mini-batch gradient descent) mini-bantch
3.scikit里边的线性回归api具体介绍
- sklearn.linear_model.LinearRegression(fit_intercept=True)
- 通过正规方程优化
- fit_intercept:是否计算偏置
- LinearRegression.coef_:回归系数
- LinearRegression.intercept_:偏置
- sklearn.linear_model.SGDRegressor(loss=“squared_loss”, fit_intercept=True, learning_rate =‘invscaling’, eta0=0.01)
- SGDRegressor类实现了随机梯度下降学习,它支持不同的 loss函数和正则化惩罚项来拟合线性回归模型。
- loss:损失类型
- loss=”squared_loss”: 普通最小二乘法
- fit_intercept:是否计算偏置
- learning_rate : string, optional
- 学习率填充
- ‘constant’: eta = eta0
- ‘optimal’: eta = 1.0 / (alpha * (t + t0)) [default]
- ‘invscaling’: eta = eta0 / pow(t, power_t)
- power_t=0.25:存在父类当中
- 对于一个常数值的学习率来说,可以使用learning_rate=’constant’ ,并使用eta0来指定学习率。
- SGDRegressor.coef_:回归系数
- SGDRegressor.intercept_:偏置
sklearn提供给我们两种实现的API, 可以根据选择使用

最低0.47元/天 解锁文章
1444

被折叠的 条评论
为什么被折叠?



