我国著名的经济学家马寅初指出:“学者不能离开统计
而治学,政治家不能离开统计而施政,事业家不能离开统
计而执业。

一、 统计(Statistics)的涵义
- 统计是人们认识客观世界总体数量变动关系和变动规律的活动的总称,是人们认识客观世界的一种有力工具。
- 统计的研究对象具有以下特点:
数量性。统计数据是客观事物量的反映。
总体性。统计的数量研究是对现象总体中各单位普遍
存在的事实进行大量观察和综合分析,得出反映现象
总体的数量特征。
变异性。总体各单位的特征表现存在着差异,而且这
些差异并不是事先可以预知的。
“统计”的3种含义
- 统计工作(又称统计实践)是搜集、整理、分析和提供关
于社会经济现象的数字资料工作的总称。
英文中的统计statistics与“国家”同一词根,可以说,
自从有了国家,就有统计实践活动。 - 统计数据是统计实践的成果。如价格指数等。
”对统计数据要求:客观性、准确性和及时性。 - 统计学是研究如何测定、收集、整理、归纳和分析反映客
观现象总体数量的数据,以帮助人们正确认识客观世界数
量规律的方法论科学。 - 统计学与统计实践活动的关系是理论与实践的关系,理论
源于实践,理论又高于实践,反过来又指导实践。

1.统计设计
心根据所要研究问题的性质,在有关学科理论指导下,制定统计指标、指标体系和统计分类,给出统一的定义、标准同时提出收集、整理和分析数据的方案和工作进度等。
搞好统计设计不仅要有统计学的一般理论和方法为指导,
而且还要求设计者对所要研究的问题本身具有深刻的认识
和相关的学科知识。
2.收集数据
心统计数据的收集有两种基本方法。对于大多数自然科学和工程技术研究来说,有可能通过有控制的科学实验去取得数据,这时可以采用实验法。对于社会经济现象来说,
般无法进行重复实验,要取得数据就必须进行统计调查。
3.整理与分析.
✧描述统计是对采集的数据进行登记、审核、整理、归类,在此基础上进–步计算出各种能反映总体数量特征的综合指标,并用图表的形式表示经过分析而得到的统计信息。必推断统计是在对样本数据进行描述的基础上,利用一-定方法根据样本数据去估计或检验总体的数量特征。推断统计是现代统计学的主要内容。
4.统计资料的积累、开发与应用
必统计资料需要加以积累,同时还可以作进一步加工,结合相关实质性学科的理论知识去进行分析和利用。如何更好地将统计数据和统计方法应用于各自的研究领域是应用统计学研究的一一个重要方面。
四、统计指标与指标体系
(统计指标是反映统计总体数量特征的概念和数值。如2002
年我国国内生产总值104790.6亿元。
统计指标由两项基本要素构成。
指标的概念是对所研究现象本质的抽象概括,也是对
总体数量特征质的规定性。确定统计指标必须有理论
依据,同时,又必须对理论范畴加以具体化。
指标的数值反映所研究现象在具体时间、地点、条件
下的规模和水平。观察指标数值必须了解其具体的时
间状态、空间范围、计量单位、计量方法等限定,同
时注意由于上述条件变化而引起的可比性问题。
指标与标志的关系
■标志反映总体单位的属性和特征,指标则反映总体的
数量特征。标志和指标的关系是个别和整体的关系。
需要通过对各单位标志的具体表现进行汇总和计算才
能得到相应的指标。
”由于总体和单位的概念会随着研究目的不同而变化,
因此指标与标志的概念也是相对而言的。例如,如果
所要研究的是全国工业企业的情况,则各企业的职工
人数、固定资产、工业增加值等都是总体单位(即各
个企业)的标志,而如果研究目的变成研究某一企业
的职工状况,则该企业变成一一个总体,企业职工人数
变成了统计指标,每个职工的文化程度、技术等级、
性别、年龄等就成为标志。
五、统计数据
。变量与变量值
-
说明现象的某—数量特征的概念也被称为变量,变量
的具体取值是变量值,统计数据就是统计变量的具体
表现。例如,固定资产是一个变量,各企业固定资产
的具体数值是变量值。 -
为了区别,在本书中,凡是变量均用大写的英文字母
表示,而变量值则用小写英文字母表示。 -
连续型变量是指变量的取值在数轴上连续不断,无法
一-列举,即在一个区间内可以取任意实数值。例如
气象上的温度、湿度,零件的尺寸等。 -
离散型变量是指变量的其取值是整数值,可以一。 列
举。例如,企业数,职工人数等。 -
确定性变量是受确定性因素影响的变量,即影响变量
值变化的因素是明确的,是可解释和可控制的。 -
随机变量则是受许多微小的不确定因素(又称随机因
素)影响的变量。变量的取值无法事先确定。
社会经济现象既有确定性变量也有随机变量。统计学
所研究的主要是随机变量。
数据的计量尺度
根据对研究对象计量的不同精确程度,人们将计量尺
度由低到高、由粗略到精确分为四个层次:定类尺度
、
定序尺度、定距尺度和定比尺度。
(1)定类尺度是按照客观现象的某种属性对其进行分类。
这一.场合的所使用的数值只是作为各种分类的代码,并不
反映各类的优劣、量的大小或顺序。例如,人口按性别分
为男女,用“1”表示男性,用“0"表示女性。定类尺度的
主要数学特征是“=”或“≠”。对于不同的类别,虽然可
以计算单位数,但它不能表明第一类的一 一个单位可以相当
于第二类的几个单位。
(2)定序尺度是对各类客观现象之间等级或顺序的一 种测
度。利用定序尺度不仅可以将研究对象分成不同类别,而
且还可以反映各类的优劣或顺序。例如,学生成绩可以分
为优、良、中、及格和不及格等。在这里,定序尺度虽然
无法表明一个优等于几个良,但却能表明优高于良,良又
高于…定序尺度的主要数学特征是“<"或“>”。
(3)定距尺度是对现象类别或次序之间间距的测度。定距
尺度不但可以用数表示现象各类别的不同和顺序大小的差
异,而且可以用确切的数值反映现象之间在量方面的差异
。
定距尺度使用的计量单位一.般为实物单位(自然或物理)
或者价值单位。定距尺度的主要数学特征是“+”或“一”。
统计中的总量指标就是运用定距尺度计量的。
(4)定比尺度。定比尺度是在定距尺度的基础上,确定相
应的比较基数,然后将两种相关的数加以对比而形成相对
数(或平均数),用于反映现象的结构、比重、速度、密度
等数量关系。例如,将一个企业创造的增加值与该企业的
职工人数对比,计算全员劳动生产率,以此反映该企业的
生产效率。定比尺度的主要数学特征是“X”或
数据的类型
■横截面数据又称为静态数据,它是指在同一时间对同
一.总体内不同单位的数量进行观察而获得的数据。
■时间序列数据又称为动态数据,它是指在不同时间对
同一总体的数量表现进行观察而获得的数据。
■面板数据是同时在时间和空间上取得的二维数据。
例如,2005- 2 010年30个省份的农业总产值数据。从某
一年份看,它是由30个农业总产值数字组成的截面数
据;从某一省份看,它是由6年农业总产值数据组成的
一个时间序列数据。面板数据则由30个省份6年的数据
组成,共有180个观测值。
数据的表现形式
诊爱课程
■绝对数。现象的规模、水平- -般以绝对数形式表现。
绝对数的计量单位一般为实物单位或价值单位,有时
也采用复合单位。实物单位可以是自然计量单位,也
可以是物理计量单位,如人口数用人计量,机器数用
台计量,对于一-些化工产品和燃料,常常还折合成标
准实物单位计量。复合计量单位是由两种或两种以上
计量单位复合而成的,如以“吨公里”为货物周转量
的计量单位,以“千瓦时”为用电量的计量单位。
■
相对数。相对数由2个互相联系的数值对比求得。关于
各种相对数,本书将在第十一章作详细介绍。
.平均数。关于平均数,本书将在第三章作详细介绍。
数据的收集方法
(一)数据收集的概念
”所谓数据收集是根据统计研究的目的,运用科学的方
法,有计划、有组织地采集数据的过程。数据收集是
统计工作的基础环节。
.统计数据按来源不同分为第一 手资料和第二手资料。
第- -手资料是通过专门的调查或实验,直接向需要观
察的对象收集的反映其情况的统计资料,一般称为原
始资料:第二手资料是指对他人调查或实验取得的原
始资料进行加工后得到的数据。对原始资料的收集,
又称为统计调查。
(二)统计调查方法
1.直接观察法
是指由调查人员到现场对调查对象进行直接查看、
测量和计量。直接调查取得的资料准确性较高,但
需要大量人力、物力。
”2.报告法(通讯法)
●
由统计机构将调查表格分发给被调查者,被调查者
根据填报要求填写、寄回。在被调查单位有健全的
原始记录和核算制度、统计基础较好的条件下,利
用报告法能够有效地取得资料。我国现行的统计报
表制度采用的就是这种方法。
■3.登记法
●登记法由有关的组织机构发出通告,规定当事人在
规定事情发生后到该机构登记,填写所需材料。
■4.采访法
●
采访法是根据被调查者的回答来收集统计资料,这
种方法又可分为口头询问法和被调查者自填法两种
。口头询问法是由调查人员对被调查者逐。采访,
当面填答。被调查者自填法,即调查人员把调查表
交给被调查者,向被调查者说明填表的要求和方法
并对有关注意事项加以解释,由被调查者按实际
情况一一填写,填好后交给调查人员审核收回。
5.实验法
●
是用于收集测试某一新产品、新工艺或新方法使用效
果的资料的方法。特点是可以将影响现象的其他因素
控制不变,专门观察某-一因素的影响。
6.网络调查法
●
是传统调查方法和网络的结合,在互联网普及程度越
来越高的现代社会,开始得到广泛使用。
7.电话访问法
是调查人员通过电话向被调查者询问、交谈以获得所
需资料。该方法在国外使用广泛,国外流行的有中心
控制电话访谈法和电脑辅助电话访谈法(CATI)
。
统计调查方式与统计调查体系
(一)统计调查方式
■1.普查
●
普查是一种专门]组织的全面调查,它主要是用以收
集某些不能或不宜用定期报表收集的统计资料。对
国情国力的调查一般采用普 查。
2.统计报表制度
●
统计报表制度是依照国家有关法规,自上而下地统
一布置, 以原始记录为依据,按照统的表式、统
.的指标项目、 统一的报送时间和报送程序,自下
而上逐级地定期提供统计资料的一种调查 方式。
3.抽样调查
●
抽样调查是一种非全面调查。通常的抽样调查是指随机抽
样调查,即按随机原则从调查对象中抽取部分单位作为样
本进行观察,用以推算总体数量特征的一种调 查方式。
●抽样调查有如下特点:第一,样本单位按随机原则抽取,
排除了主观因素对选样的影响。第二,根据样本信息对总
体的数量特征做出估计。第三,抽样误差可以事先计算并
加以控制。
●抽样调查的适用范围主要有:第一,对一些不可能或不必
要进行全面调查的社会现象,采用抽样调查。第二,对普
查资料进行必要的核对与修正。
4.重点调查
●
重点调查是指在调查对象中,只选择一部分重点单
位进行的非全面调查。所谓重点单位,是着眼于现
象的量的方面而言,尽管这些单位在全部单位中只
是一部分,但它们在所研究现象的标志总量中却占
有较大的比重,在总体中具有举足轻重的作用。
5.典型调查
典型调查是一-种专门组织的非全面调查。它是根据
调查的目的,在对所研究的对象进行初步分析的基
础上,有意识地选取若干具有代表性的单位进行调
查和研究,借以认识事物发展变化的规律。
课
三、统计调查方案的设计
■1.确定调查目的和任务
■
2.确定调查对象和调查单位
调查对象,是指需要调查的现象总体,由性质相同
的许多调查单位组成。调查单位,是指所要调查的
具体单位,它是进行调查登记的标志的承担者。报
告单位亦称填报单位,是负责向上报告调查内容、
提交统计资料的单位。
四、间接统计数据的主要来源
发床不
■对于应用统计的分析人员来说,相当一部分统计数据
不必亲自进行统计调查,可取自有关统计部门和机构
发布的统计资料。
■利用第二手数据,第一要注意引用数据的计算口径及
其合理性:第二
,
一.定要注明数据的来源,以尊重他
人的劳动成果。
第二节数据的整理
数据整理概述
吕
统计分组
三
频数分布
四
频数与频率
五
累计频数与累计频率
六
频数分布的类型
.爱2
数据整理概述
(一)数据整理的意义
■统计数据整理就是人们对社会经济现象从感性认识上升
到理性认识的过渡阶段,既是统计调查阶段的继续和深
入,又是统计分析阶段的基础,起着承前启后的作用。
(二)数据整理的内容
”1.统计资料的审核。
2.资料的分组和汇总。
■3.编制统计表或绘制统计图,描述整理的结果。
. 4.统计资料的积累、保管和公布。
二、统计分组
诊爱课程
(二)统计分组的方法
在进行统计分组时,要遵循两个原则:穷尽原则
和互斥原则。
●1.品质分组方法
一品质分组就是对研究现象按品质(或属性)标志
进行分组。
2.数量分组
●
数量分组就是对研究现象按数量标志分组。
按数量标志分组,各组数量界限的确定必须能反映事
物质的差别,采用适当的分组形式,确定相宜的组距
组限。
一(1)单项式分组与组距式分组
- (2)间断组距式分组和连续组距式分组
(3) 等距分组与异距分组


三、频数分布
(一)频数分布
■在统计分组的基础上,将总体所有的单位按某一标志进
行归类排列,称为频数分布,或次数分布。按品质标志
分组所形成的数列即品质分布数列,按数量标志分组所
形成的数列叫变量分布数列.
(二)分布数列的两个要素
分布数列由两个要素构成:一个是总体按某标志所分的组
;另一个是各组所出现的单位数,即频数,亦称次数。




五、累计频数与累计频率
8 (一)累计频数(率)分布数列
■
向上累计频数(或频率)分布,其方法是先列出各组的上
限,然后由标志值低的组向标志值高的组依次累计。向
.上累计频数表明某组上限以下的各组单位数之和是多少
向上累计频率表明某组上限以下的各组单位数之和古
总体单位数的比重。
■
向下累计频数(或频率)分布,其方法是先列出各组的下
限,然后由标志值高的组向标志值低的组依次累计。向
下累计频数表明某组下限以上的各组单位数之和是多少
向下累计频率表明某组下限以上的各组单位数之和古
总体单位数的比重。









统计图:略
第三章
数据分布特征描述
第三章统计数据分布特征的统计描述
53例
如何正确地反映居民的收入水平
第一节分布集中趋势 的描述
第二节
分布离散程度的度量
第三节
分布的偏度和峰度
平均数,容易受到极端值的影响
描述分布集趋势的主要指标和作用
平均数
众数
中位数




- 例如,全国人均能源消费量指标,是全国能源消费总量与全国人口数的比率,因为每个人都有能源消费这个标志,所以可以计算人均能源消费量。
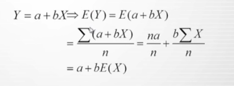
算数平均是,总量和个体一一对应。
人均钢产量是一个强度相对数,因为不是每个人都炼钢。不存在一一对应关系。



关于权数
权数有两种表现形式:用各组的次数做为权数,即绝对数
形式:用各组的频率做为权数,即相对数形式。
真正起权衡作用的不是频次而是频率;权数在平均数计算中发挥了权衡轻重的作用,权数越大,

分组数据怎么办
3.由组距数列计算算术平均数
当分组数据为组距数列时,计算算术平均数就必须使用
加权算术平均数的形式。在组距数列中,由于各组变量
值不是惟- -的,而是一个区间范围,具体数据已经被掩
盖了,因此各组的变量值通常只能用组中值来代表。



上述计算结果与加权算术平均法计算的结果是不同的。这
是因为,在加权算术平均数的计算中实际上是以各组的组
中值作为各组标志值平均数的代表,其前提条件是假定标
志值在各组内均匀分布。而事实上,标志值的分布并不
定呈完全的均匀分布。
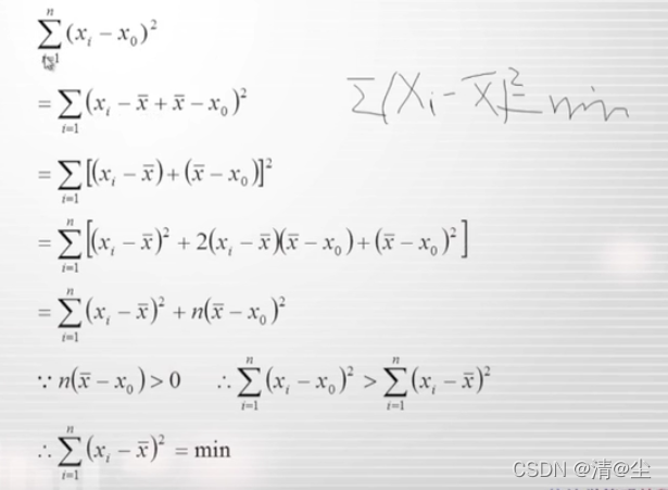
简单算数平均,计算均匀分布数据。





心上述性质表明,算术平均数用来代表个别单位的标志值虽
然存在误差,但用来代表整个总体或分布数列的一般水平,
却是没有误差的,因为它与个别单位标志值的正、负离差
恰好相互抵销,从而使得离差总和恒等于零。
心也就是说,所有单位的标志值都用其算术平均数代替之后
再加总起来,仍然等于原来的总体标志总量。





E期望
调和平均数





加权为1


x标志值
f权重
知道各组变量值和总量,不知道权重,用调和平均数


几何平均数




减去本金1,100%

位置平均数





不知道众数,去焦点。
用下限计算众数。

等距分组





分组与不分组中位数不变。
组内中位数确定

1、先找到中位数所在的组,
2、根据中位数上限公式,确定中位数








最大-最小





为了去掉绝对值符号,我们采用平方形式计算。就有了方差和标准差
方差和标准差是衡量变异程度最常用的指标
未分组资料
平均平方距离
标准差反应平均距离

方差反应,变量值和平均数据的平均平方距离
标准差反应平均距离。

方差,前要计算平均数。第一步。找到组中值。
xf 总量
利用公式计算方差和标准差









这个性质可以扩展到任意有限多个相互独立的随机变量之和。
。




变量x+a的反差就是x的方差





借助方差标准差计算,判断离散程度。

标准差系数判断不同组离散程度。变异系数。

反应数据集中程度。
或者众数的代表性如何。
心异众比率主要用于衡量一组数据以众数为分布中心的集
中程度,即衡量众数代表一-组数据一般水平的代表性。
.异众比率的数值越小,说明众数的代表性越大:
异众比率的数值越大,说明众数的代表性越小。
定类数据常用异众比率
第三节分布的偏度 和峰度
统计动差
偏度
峰度




偏度系数公式。

峰度系数通过K变化判断峰度情况


概率






性质2 样本空间概率为1
性质3 不含样本点的空集概率为0



A会发生,B也会发生,为A交B的概率










随机变量及其分布

常微分学常没分,
数理方程没天理;
实变函数学十遍,
泛函分析心犯寒;
微分拓扑躲不脱,
随机过程随机过;
概率分析概率分,
微分几何分几何;
微机原理闹危机,
汇编语言不会编;
量子力学量力学,
混沌理论混沌理;
机械制图机械制,
模糊控制模糊控;
模电学到想摸电,
单片机前中弹片。

该标志值记入平均数的份额也越大:
一、变异指标的含义与作用
(一)定义测度数据分布离散程度的指标称为变异指标。
(二)作用
1.衡量平均指标的代表性。
2.反映社会经济活动的均衡性。
在社会经济活动分析中,经常需要从动态上研究现象变化
过程是否稳定。例如,对不同时期生产经营成果的分析。
3.衡量统计推断效果
在统计推断中,变异指标常常是判别统计推断前提条件是
否成立的依据,也是衡量推断效果的重要尺度。
本文深入探讨了统计学在经济、科研和商业中的核心作用,包括统计设计、数据收集、整理与分析,以及统计指标与指标体系。重点讲解了统计数据、变量、数据类型、分布特征描述,以及统计调查方法如抽样调查、重点调查等。此外,还涉及了数据分组、频数分布、变异指标和分布的偏度与峰度。
1890

被折叠的 条评论
为什么被折叠?



