目标级联分析法
目标级联分析法(Analytical/Analysis Target Cascading , ATC),是由Kim H M,Michelena NF等人在2003年提出的一种用于解决复杂系统中目标优化问题的新方法。
其特征在于:(1)目标级联,即系统中的父级系统为子系统设置目标并将目标传递给子系统;(2)每个子系统都有一个分析模块来计算子系统的响应;(3)通过调节子系统之间的偏差来解决子系统之间的一致性问题,在协同优化中,每一级子系统在设计优化时暂时不考虑同级子系统之间的联系,自主决策独立进行优化,优化目标是使该子系统的设计优化结果与上一级系统优化提供的目标差异最小,各个子系统设计优化结果的不一致性通过上一级系统优化来协调。是一种采用并行思想解决非集中式、层次结构协调问题的设计方法。
结构与原理
ATC的的分析对象是多层次系统i,从上到下进行分解,各层响应从下向上不断反馈,以三层级系统为例进行说明。


ATC是基于模块的、层次性的优化方法,如图2所示,超级系统层将联系变量与子系统层的设计目标传递给子系统。子系统级被分为优化设计模块P和分析模块r。设计模块P负责元素目标的优化,分析模块r用于计算元素的响应。局部设计变量、联系变量、子层级系统响应作为分析模块r的输入,输出则为该子系统的实际响应传递给优化设计模块。优化设计模块在自主进行该子系统模块的优化后,将子系统的实际响应与联系变量传回超级系统层。
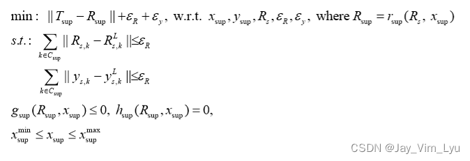
原始设计优化问题可以描述为:在满足约束条件下,找到一个设计方案使设计目标与实际的响应之间的差距最小。数学模型为:

其中,T代表设计目标,R代表实际响应,x代表设计变量。约束简略不提。
转变为ATC问题后,超级系统的数学模型则可以表示为:

其中需要注意的是设计变量x被划分为局部设计变量xsup和联系变量y(与子系统级相关),增加的约束为复杂系统分解时耦合变量的一致性约束。
子系统级的数学模型和设备级的数学模型在此简略不提,如有需要可阅读原论文。
举例分析
此处对作者电磁MATLAB文章中的例子做一个进一步解释,帮助理解,不知道自己的理解对不对,如果有错误或者不恰当的地方,请指正。
初始目标函数:
求f(x1) = a1(x1-a2)^2最小值; 从下面的设计变量的关系可以将之分为两层的系统
其中 x = [x1, x2],可以认为是两个设计变 X1为局部设计变量,X2为联系变量
约束条件:
g1(x) = b1x1 + b2x2 + b3 <= 0
g2(x) = c1x1 + c2x2 + c3 <= 0
其中
a = [2, 3];
b = [2, 4, 1];
c = [4, -1, 1];
转换成目标级联分析法( Analytical Target Cascading , ATC )模型为:
1求P1 = f(x1_1) + phi_1(x1_1,x1_2,v,w)最小值, 可以看作第一层系统的目标函数
其中 x1_2, v, w 是固定参数, phi_1是增广拉格朗日罚函数,即耦合变量的一致性约束,在设计优化模块进行设计优化
该函数可以参看作者@颹蕭蕭的文章
2求P2 = phi_2(x1_1,x1_2,v,w)最小值,作为第二层系统的目标函数
其中x1_1, v, w 是固定参数, phi_2是增广拉格朗日罚函数
约束条件:
g1(x) <= 0
g2(x) <= 0
对于此方法的代码实现,由于时间和能力原因还没有完成,如果以后能够完成再补充吧
参考资料
- Kim H M , Michelena N F , Papalambros P Y , et al. Target cascading in optimal system design. J Mech Des (Trans ASME)[J]. Journal of Mechanical Design, 2003.
- 黄英杰. 基于目标级联法和智能优化算法的车间调度问题研究[D]. 华南理工大学, 2012.
- 王涵. 基于目标级联的废旧机械装备多目标优化再设计方法研究[D]. 武汉科技大学, 2019.
- 电磁MATLAB.目标级联分析法
- 颹蕭蕭.增广拉格朗日函数法(ALM)
- 孙砚秋.拉格朗日函数
5279

被折叠的 条评论
为什么被折叠?



