区分重积分、曲线积分、曲面积分
我又来了,这次还是因为快期末辽hhh。一直搞不明白高数的第十章、第十一章,现在终于有空来弄清楚辽。
一、重积分
要弄明白重积分,首先我们还是来回顾一下定积分的概念。
(一)定积分
首先我们应该弄清楚什么是定积分,常见的形式就是

要知道,这并不是定积分最开始的形式,定积分是为了求某一个函数与x轴的围成的面积,如图

我们会用到“分割、求和、取极限”的方法来求[a,b]上f(x)与x轴围成的面积,将此面积定义为曲边梯形的面积。
具体步骤 :
- 分割
将[a,b]分割成许多小区间,在每一个小区间上用某一点处的高来近似代替每一个细长长方形的高。 - 求和
将所有这些小长方形的面积相加,可看作曲边梯形面积的近似值。 - 取极限
令[a,b]区间无限细分下去,每个小长方形的宽趋近于0,这时所有小长方形的面积之和的极限就可以看作是曲边梯形的面积。即

但这样记太麻烦了,所以给出最开始的定积分的记法

左边为定积分的形式,给出了积分区域[a,b]和积分变量dx,表明要求f(x)在[a,b]上的与x轴围成的面积。但是这仅仅是一个表达式,不要忘了它原本的含义还是右式,求曲边梯形的面积。
注意:这里的积分区域是一维的,是在x轴上的积分。
(二)二重积分
二重积分在计算上是将其转化为两次定积分,但不能不理解它的本质含义。
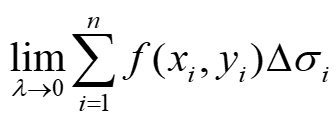
上面提到定积分的含义其实是求曲边梯形的面积,二重积分类似地,求的是曲顶柱体的体积。求体积的步骤还是类似的,依旧是“分割,求和,取极限”的思想。

- 分割
将D区域分割成许多个小矩形区域,如图的∆σi是其中之一,怕眼花缭乱所以就找了个只分割一块的hhh,不过要记住它的确分割出许多块。 - 求和
在每个∆σ中任取一点(ξi,ηi)代入z=f(x,y),得到的z作为一个小柱体的高,再求这么多个小柱体的体积之和。 - 取极限
令D无限地分出许多网格,每个格子的面积趋向于0,这时所有柱体的体积之和的极限就可以看作曲顶柱体的体积。即

但是这么看果然还是好复杂的感觉… 所以又定义了二重积分

左边的二重积分式:D表示积分区域,按照上图就是xoy面上的区域,dσ是面积元素,其实也可以说是那些被分割的小矩形的面积。
右式还是它的本质含义:求曲顶柱体的体积,还有一种说法是它表示平面薄片的质量,感兴趣可以去看看,也有助于理解三重积分。
注意:这里的积分区域是二维的,是在xoy面上的积分。
(三)三重积分
三重积分就不同了,它表示的是物体的质量,先上图

我们知道物体的质量为 m=ρV,但有时候密度并不是均匀的,这时候如何求一个立体图形的质量呢?我们可以把一个立体图形分成许多块,每块去乘以对应的密度,就能近似的得出其质量。
还是一样的套路
- 分割
Ω是图中橙色的立体图形,将Ω分割成许多个小矩形柱体,注意,是在图中橙色立体图形中进行分割。(区域D是它在xoy面上的投影) - 求和
在分割的每个小区域中任取一点(ξi,ηi,ζi),做乘积 f(ξi,ηi,ζi)Δvi,并作和。 - 取极限
将Ω无限地分割下去,每个小柱体的体积都趋向于0,这时将 f(ξi,ηi,ζi)Δvi (i=1…n)全部加起来取极限,就得到物体的质量。
直接给公式

左边的三重积分公式:Ω是积分区域,包括了x轴上、y轴上、z轴上的区域,dv表示体积元素,其实就是分割出的小柱体的体积,f(x,y,z)是密度函数,密度是随着下x、y、z的变化而变化的。
右式是其实可以理解为对ρV的求和,得到物体的质量。
注意:这里积分区域已经达到三维,是在空间直角坐标系中积分。
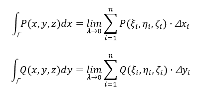
二、曲线积分
(一)对弧长的曲线积分/第一类曲线积分
对弧长的曲线积分,得出的结果的是曲线形构件的质量,m=ρV,这里的V代表曲线的长度,我们只需要计算出它的长度,再乘以密度函数即可。我们依旧按照之前的思路来展开。

-
分割
如图,将弧段AB分割成若干份,取任意一份表示为Δs。 -
求和
在分割的每个小区域中任取一点(ξi,ηi),做乘积 f(ξi,ηi)Δsi,并作和。 -
取极限
将AB无限地分割下去,每个小弧段的长度都趋向于0,这时将 f(ξi,ηi)Δsi (i=1…n)全部加起来取极限,就得到这段弧的质量。
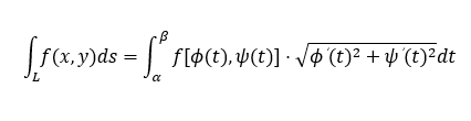
将AB表示为L,并对弧长s积分,得到表达式

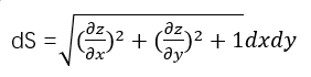
左式:L即弧段AB,ds为弧元素,也可以说是分割出的小弧段的长度。求小弧段的长度ds有个简单的技巧,就是利用直角三角形:

其实就是用直线连接AB两点,在水平方向和竖直方向分别做直线,构成一个直角三角形。因为第三步的取极限,这时可以把直线AB近似地看成Δs。
又因为我们需要做积分计算,对x和y都积分不是很方便,于是我们将x、y都化成参数方程,只用一个参数来表示两个变量。即:

这时候,能简单地推导出我们常用的对弧长的曲线积分的公式

此处右式:α、β分别是参数 t 的下限和上限,然后将表示x、y的参数方程代进函数 f(x,y) ,将上面求得的ds代进,就得到右式。它表示曲线形构件的质量。
注意:这里的积分是二维的,是在xoy面上对弧长的积分。
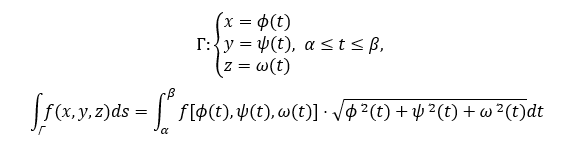
也可以拓展到立体空间,此时变量有三个:

剩下的步骤类似,最终结果为

注意根号下的函数都是导数再平方。
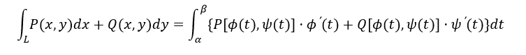
(二)对坐标的曲线积分/第二类曲线积分
准备知识:变力沿曲线做功问题
我们知道,一个恒力沿着曲线做功,它做的功为W=F∙s,但是如果这个力是变力,我们应该怎么求呢? 一个变力虽然是可变的,可以变方向,可以变大小。
-
分割
针对方向,我们总是能将它分解成水平方向上的力和竖直方向上的力,分别为向量i,j。
针对大小,我们假定分解出的两个方向,力的大小对应不同的函数,分别为P(x,y),Q(x,y)。那么可以写出:F(x, y) = P(x, y) i + Q(x, y) j
力的公式解决了,接下来是曲线。假设有光滑曲线L。

先将L分割为许多小弧段,分别为M1,M2…Mn,取其中一个有向小弧段
来分析,因为它很短,可以用水平方向上的单位向量和竖直方向上的单位向量来表示。

其中,i 是 x 轴上的单位向量,j 是 y 轴上的单位向量。
那么曲线的表示也完成了。所以,只研究这一小弧段MiMi-1,力在它方向上所做的功,就能用水平方向上的力和曲线、竖直方向上的力和曲线来表示。

当然这只是一小段曲线上的功. -
求和
为了求出力沿着整段曲线做的功, 我们将所有小弧段上的功相加

-
取极限

由此引出第二类曲线积分:对坐标的曲线积分
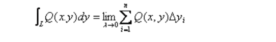
(1) 对坐标x的曲线积分

其中,L是有向的曲线弧
左式:表示在有向曲线弧上对坐标x的曲线积分,其实也就是上面提到的在水平方向上做的功。
(2)对坐标y的曲线积分

左式:表示在有向曲线弧上对坐标y的曲线积分,其实也就是上面提到的在垂直方向上做的功。
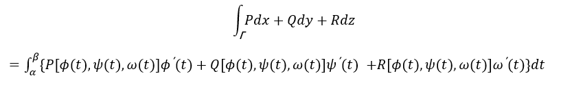
(3)推广至空间曲线


与第一类曲线积分类似,对x、y、z做积分比较麻烦,所以还是要将这三个变量化为参数方程,再代入上面积分式。得出来的结果就是:
平面上的对坐标的曲线积分

空间上的对坐标的曲线积分

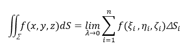
三、曲面积分
(一)对面积的曲面积分/第一类曲面积分
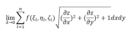
对面积的曲面积分,积出来的是什么呢。这次我们先来观察它的公式:

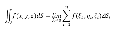
首先看左式的积分区域 Σ,我们看到它是在二重积分号下的,推测积分积的是面积,而dS也证明了它积的的确是面积,再看函数 f(x,y,z) ,我们知道这个积分是在空间直角坐标系中的,但是为什么已经对面积进行积分,都能够求出总面积来了,却还要乘一个函数呢?
其实我们可以联想到在三重积分中,对体积进行积分后,也乘了一个函数,它就是密度函数,就不难想到,对面积的曲面积分,其实也是求出了这个面的质量。只不过求出的是质量非均匀分布的曲面壳的质量。
但是要算它可没那么简单。
我们先复习一下向量积的几何意义。
| a×b | = | a || b | sinθ ,它表示以a、b为邻边的平行四边形的面积。

那么dS也能够用这种表示方法,但是又因为dS在空间直角坐标系中一般是斜的,所以还需做进一步讨论。先上图(用word画的不容易啊)

刚刚提到的dS可以用向量的叉乘来表示,那么(直接用word打了)

既然我们把dS表示出来了,也就是表示出了∆S,把
代入

右式变成:

有没有似曾相识的感觉,反正我是没有hhh,其实这是二重积分的一种形式
还是类似于这个

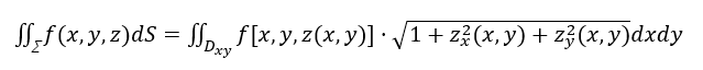
所以到此我们就将第一类曲面积分转换成了二重积分。最终结果如下,Dxy是S在xoy面上的投影,毕竟积分元素都换了,积分区域也是要换成对应的。

(二)对坐标的曲面积分
准备知识:
-
速度场
速度是一个矢量,也就是说他是有方向的。
在三维空间里,在空间直角坐标系中,有xyz三个方向。
那速度就可以表示成一个(Ux,Uy,Uz)的矢量。 -
假设有一种密度为1的稳定流体,它的速度场为v,v是一个向量,且它可以表示为

-
有向曲面
曲面通常是双侧的,你可以查查著名的莫比乌斯带就是单侧曲面。有侧的曲面可以分为上侧和下侧,此时曲面方程为z=z(x,y),它的法向量:

这里可以把z=z(x,y)改写成 f(x,y,z)=z-z(x,y), 再对每一个变量求偏导得出法向量,然后根据z坐标判断曲面的侧向分为左侧和右侧,此时曲面方程为y=y(x,z)

分为前侧和后侧,此时曲面方程为x=x(y,z)

-
单位时间内, 流过闭区域S的流量, 其中v是沿垂直于面S的方向

主要内容:
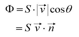
引例:设稳定的不可压缩流体的速度场为 :v=(P(x,y,z),Q(x,y,z),R(x,y,z))
求单位时间内流过有向曲面Σ的流量 ϕ 。
此处讨论两种情况:
(1)有向曲面Σ是一个平面上的闭区域S,S的面积很容易算出来,它的法向量n也不会改变

所以它的流量为

注意:此处n是单位法向量
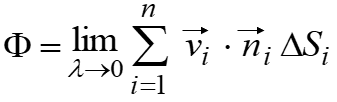
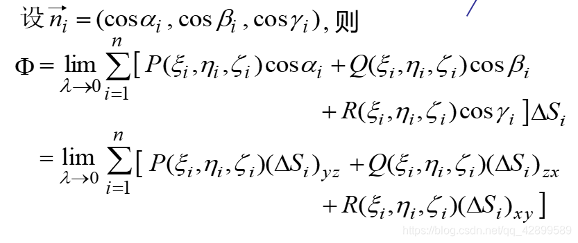
(2)设Σ是一个普通的曲面,求它的面积仍可以用“分割、求和、取极限”的方法来计算,继而得出

先复习一个知识点,看法向量n,复习一个知识点:方向余弦
方向余弦的特征:
设a=(x,y,z), a的单位向量e表示为:


上式又可以改写为:

划重点了!!接下来引出对坐标的曲面积分的定义,直接上图。



由以上推导,组合形式的含义就是,求流过有向曲面的流体的流量。
而对坐标的曲面积分是由组合形式拆分出来的。
over…
本文深入解析了重积分、曲线积分和曲面积分的概念及计算方法,从定积分出发,逐步过渡到三维空间的积分,详细解释了各类积分的本质含义及其应用场景。
26





