程序依赖图,主要包括控制依赖图(CDG)和数据依赖图(DDG),在做程序切片时有重要作用。这里对它们的定义引用SySeVR论文中的话。
一.控制依赖
定义:(这里我对它的表达进行了一些简化,这里考虑的是一个函数内的情况):给定函数 f f f 的 CFG G = ( V , E ) G = (V, E) G=(V,E),以及2个结点 n i , n j n_i, n_j ni,nj(假定 j j j 在 i i i 后面),并且 i ≠ j i \neq j i=j。
-
如果CFG中所有从 n i n_i ni 开始到 end 结点的路径都经过 n j n_j nj,那么称 n j n_j nj post-dominate n i n_i ni(后面的支配前面的)。
-
如果存在CFG中存在一个从 n i n_i ni 到 n j n_j nj 的路径,并且满足 n j n_j nj post-dominate 这个路径上除了 n i n_i ni 和 n j n_j nj 之外的所有结点并且不post-dominate n i n_i ni。那么 n j n_j nj 控制依赖于 n i n_i ni。
1.1.示例1
以下面伪代码为例( S i S_i Si 表示statement i, C i C_i Ci 表示condition i):
S1;
if (C1){
S2;
S3;
}
else
S4;
S5;
S6;
CFG如下

在这个CFG中,可以看到 S1 和 C1 到 END 的2条路径都经过了 S5,S6,因此S5,S6 post-dominate C1。但是S2,S3,S4不post-dominate C1和S1。
对于路径C1->S2->S3 来说,S3 post-dominate S2 但是不post-dominate C1,所以 S3 依赖于 C1。依此类推,可以发现控制依赖源点是condition,终点是block中的语句。
所以CPG为

1.2.示例2
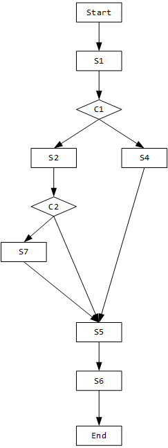
那么现在来一个嵌套循环的看看:
S1;
if (C1){
S2;
if (C2)
S7;
}
else
S4;
S5;
S6;
CFG:

首先看C1 -> S2 -> C2 中,C2 post-dominate S2,但是C1 -> S2 -> C2 -> S7 中,S7 既不post-dominate C2 也不 post-dominate S2,所以依赖的作用域只在1层条件中。
CPG:

1.3.示例3
S1;
while (C1){
S2;
S3;
}
S4;
CFG

重点看 C1 和 S2 S3 的关系。C1->S2->S3 中 S3不post-dominate C1 并且post-dominate S2,所以 S3 依赖于 C1。依此类推
CPG为

可以看到上面得到的CPG都是树状结构,父节点为条件,子结点为block中的语句。
求CPG
如何求CPG还没找到一个靠谱的资料,不过按照这篇博客。求CPG首先求前向支配树FDT。FDT由post-dominate关系构成,不过这里只保存直接post-dominate。比如示例1中,存在
S6 -> C1
S5 -> C1
S6 -> S5
那个 S6 -> C1 会被删除。那么示例1计算出来的FDT如下

然后就是进行抵消操作,把CFG中能抵消的边都抵消了。比如S1 -> C1 和 C1 -> S1 互相抵消。不过这还剩一个问题,就是像 C1 -> S3 这种依赖是怎么产生的?或许计算CFG时就把这些加上(跟AST求并集?)?
二.数据依赖
定义:给定函数 f f f 的 CFG G = ( V , E ) G = (V, E) G=(V,E),以及2个结点 n i , n j n_i, n_j ni,nj(假定 j j j 在 i i i 后面),并且 i ≠ j i \neq j i=j。CFG存在1个路径从 n i n_i ni 到 n j n_j nj。如果 n i n_i ni 中计算得到的值在 n j n_j nj 中用到了,那么 n j n_j nj 数据依赖于 n i n_i ni
比如:
S1: a = b;
S2: b = c + d;
S3: e = a + d;
S4: b = 3;
S5: f = b * 2;
那么存在数据依赖边
S1 -> S3 (S1 def a, S3 use a)
S4 -> S5 (S4 def b, S5 use b)
虽然S2也def了b,但是并没有被使用。
上述数据依赖计算过程:
-
只考虑了
=赋值情况,没有考虑指针地址(scanf)或者函数调用引用赋值的情况。 -
没有考虑指针变量别名的情况。
一般数据依赖分析之前都需要指针分析,以方便别名分析,不过这样开销太大。
本文详细介绍了程序依赖图中的控制依赖(CDG)和数据依赖(DDG),通过示例阐述了它们的概念和计算方法。CDG中,条件节点控制着后续语句的执行,而DDG描述了变量值的传递。文章讨论了如何构建控制前向支配树(FDT)以简化CDG,并提及数据依赖分析中未考虑的指针和别名问题。
6075

被折叠的 条评论
为什么被折叠?



