数学建模笔记(六):常微分方程及其应用

本文通过多个实例探讨了常微分方程在物理、生物、经济等领域的应用,包括物体冷却、水桶放水、种群竞争与合作、人口增长等问题的建模与求解。

文章目录


一、常微分方程概述

1.什么是常微分方程

在这里插入图片描述
前为数学摆方程,后为拉普拉斯方程
在这里插入图片描述
要确定每次积分后 C C C的值
在这里插入图片描述
在这里插入图片描述

2.以微分方程解决实际问题的一般思维

在这里插入图片描述
在这里插入图片描述

3.微分方程求解

在这里插入图片描述

4.微分方程适用问题

在这里插入图片描述

5.建立微分方程模型的方法

在这里插入图片描述
在这里插入图片描述


二、物体的冷却过程

1.问题背景

在这里插入图片描述

2.问题分析

在这里插入图片描述

3.模型建立与求解

在这里插入图片描述


三、水桶的放水过程

1.问题背景

在这里插入图片描述

2.问题分析

在这里插入图片描述

3.模型建立与求解

在这里插入图片描述


四、放射性废料的处理

1.问题背景

在这里插入图片描述
在这里插入图片描述

2.问题一模型建立

在这里插入图片描述
在这里插入图片描述

3.问题一模型求解

利用MATLAB求解
在这里插入图片描述
在这里插入图片描述
在这里插入图片描述
在这里插入图片描述
在这里插入图片描述

4.问题二模型建立

在这里插入图片描述

5.问题二模型求解

在这里插入图片描述
在这里插入图片描述
在这里插入图片描述
在这里插入图片描述

6.结果分析

在这里插入图片描述


五、预测人口的增长

1.问题背景

在这里插入图片描述

2.问题分析

在这里插入图片描述
在这里插入图片描述
在这里插入图片描述

3.模型求解

在这里插入图片描述


六、捕鱼业的持续收获

1.问题背景

在这里插入图片描述

2.问题分析

在这里插入图片描述

3.问题假设

在这里插入图片描述

4.模型建立

在这里插入图片描述
在这里插入图片描述

5.一阶常微分方程的平衡点及其稳定性

t t t趋于正无穷大时, x ( t ) x(t) x(t)趋于 x 0 x_0 x0
在这里插入图片描述
使用泰勒展开,方程二为线性更易求解,使用变量分离法求解
在这里插入图片描述

6.模型求解

预测长时间后的情况
在这里插入图片描述
在这里插入图片描述

7.推广(效益模型)

效益最大点小于 r 2 \frac{r}{2} 2r
在这里插入图片描述
在这里插入图片描述
E s 1 E_{s1} Es1 E s 2 E_{s2} Es2 E ∗ E^{*} E比较
在这里插入图片描述


七、军备竞赛

1.问题背景

在这里插入图片描述

2.模型假设

在这里插入图片描述

3.模型建立

在这里插入图片描述

4.模型求解(线性常系数微分方程组的平衡点及其稳定性)

在这里插入图片描述
在这里插入图片描述
在这里插入图片描述
在这里插入图片描述

5.模型解释

在这里插入图片描述


八、种群的相互竞争

1.问题背景

在这里插入图片描述

2.模型假设

在这里插入图片描述

3.模型建立

在这里插入图片描述

4.模型求解

在这里插入图片描述
泰勒展开,近似
在这里插入图片描述
在这里插入图片描述
代入四个平衡点,求满足 p , q p,q p,q要求的平衡点
在这里插入图片描述
在这里插入图片描述

5.各个平衡点稳定性的相轨线分析

在这里插入图片描述
在这里插入图片描述

6.结果分析

理解为竞争能力,定性分析
在这里插入图片描述


九、种群的相互依存

1.问题背景

在这里插入图片描述

2.第一类类模型假设和建立

由于乙不能独立生存,所以在方程中为 − 1 -1 1
在这里插入图片描述

3.第一类模型求解

要求 p q pq pq都大于0
在这里插入图片描述
关于平衡点 P 2 P_2 P2 的相规线分析
由四个小区域 s 1 , s 2 , s 3 , s 4 s_1,s_2,s_3,s_4 s1,s2,s3,s4,分析最终如何趋于平衡点
在这里插入图片描述

4.第一类结果分析

在这里插入图片描述


十、种群的弱肉强(食饵-捕食者模型)

1.问题背景

在这里插入图片描述

2.模型建立

在这里插入图片描述

3.模型求解

雅可比矩阵
雅可比矩阵的重要性在于它体现了一个可微方程与给出点的最优线性逼近。因此,雅可比矩阵类似于多元函数的导数
在这里插入图片描述
在这里插入图片描述
在这里插入图片描述
在这里插入图片描述
积分求解,先将原式 x ( t ) x(t) x(t)替换,接下来就方便求积分
根据周期性,可知 y ( T ) = = y ( 0 ) y(T)==y(0) y(T)==y(0),所以相减结果为0
在这里插入图片描述

4.模型解释

在这里插入图片描述
在这里插入图片描述
之前为自然情况的种群的发展,当有捕捞时,影响了食饵的自然增长率,捕食者的独立生存死亡率,种群的平均水平都有所下降;
战时捕捞,捕捞强度下降,种群平均水平有所回升;
在这里插入图片描述

5.模型的缺点与改进

在这里插入图片描述
在这里插入图片描述


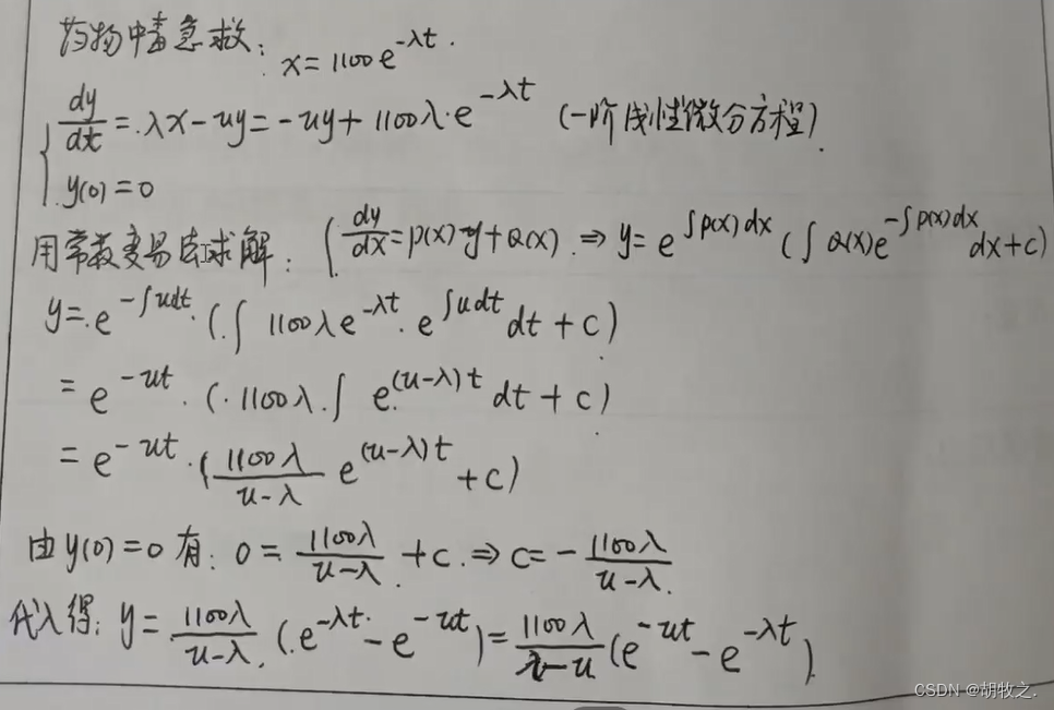
十一、药物中毒急救

1.问题背景

在这里插入图片描述

2.问题分析

在这里插入图片描述
在这里插入图片描述

3.模型假设

半衰期是指血液中药物的浓度降低一半所需用的时间
在这里插入图片描述

4.模型建立

在这里插入图片描述

5.模型求解

变量分离
非齐次一阶线性微分方程,以常数变易求解
在这里插入图片描述
在这里插入图片描述

6.结果分析

假设血液总量为2000ml
根据临界药量算出临界时间,判断此时状况,再根据不同急救措施计算方程,讨论该采取何种措施;也可直接求出血药浓度立即所需要的最小排除率(也就是此时的导数为0)——原先的4.23倍
在这里插入图片描述
在这里插入图片描述
在这里插入图片描述
在这里插入图片描述


十二、人口增长(两种模型的参数估计)

1.问题背景

在这里插入图片描述

2.指数增长模型参数估计(数据拟合)——最小二乘法

在这里插入图片描述

3.指数增长模型参数估计(数据拟合)——数值微分

在这里插入图片描述

4.改进后的指数增长模型参数估计(数据拟合)——线性最小二乘法

在这里插入图片描述

5.三类方法比较与结果分析

在这里插入图片描述
在这里插入图片描述
在这里插入图片描述

6.logistic模型——数值微分计算增长率,线性最小二乘估计参数

在这里插入图片描述

7.logistic模型——非线性最小二乘估计参数

从方程的解出发
在这里插入图片描述

8.两类方法比较与结果分析

在这里插入图片描述
在这里插入图片描述

9.小结与批注

在这里插入图片描述


评论
添加红包

请填写红包祝福语或标题

红包个数最小为10个

红包金额最低5元

当前余额3.43前往充值 >
需支付:10.00
成就一亿技术人!
领取后你会自动成为博主和红包主的粉丝 规则
hope_wisdom
发出的红包
实付
使用余额支付
点击重新获取
扫码支付
钱包余额 0

抵扣说明:

1.余额是钱包充值的虚拟货币,按照1:1的比例进行支付金额的抵扣。
2.余额无法直接购买下载,可以购买VIP、付费专栏及课程。

余额充值