基于FPGA的直方图均衡算法

前言

三年硕士一场空,电子厂里当劳工

直方图均衡化概念

直方图是反映图像像素分布的统计表,类似于小学数学学的统计图。横坐标代表像素值的取值区间,纵坐标代表每一像素值在图像中的像素总数或者所占的百分比。
直方图均衡化是将原始图像通过函数变换,调控图像的灰度分布,得到直方图分布合理的新图像,以此来调节图像亮度、增强动态范围偏小的图像的对比度。
直方图均衡化是一种简单有效的图像增强技术。根据直方图的形态可以判断图像的质量,在工程中用以改善图像的亮度和对比度。

直方图均衡化目的

将图像中原本分布集中的像素值,均衡的分布到所有可取值的范围,这样,图像的对比度和亮度就得到了改善。也就是说通过直方图均衡化对图像进行非线性拉伸,重新分配图像像素值,本质上是根据直方图对图像进行线性或非线性灰度变换。

直方图均衡化思路

占比大的灰度级进行展宽,占比小的灰度级进行压缩,使图像的直方图分布较为均匀,扩大灰度值差别的动态范围,从而增强图像整体的对比度。

Python实现代码

import cv2
import numpy as np
import matplotlib.pyplot as plt
import matplotlib as mpl
mpl.rcParams["font.sans-serif"]=["SimHei"]
mpl.rcParams["axes.unicode_minus"]=False
img = cv2.imread(r'bird1.png', cv2.IMREAD_GRAYSCALE)
equ = cv2.equalizeHist(img) 
plt.figure("原图")
plt.hist(img.ravel(), 256)
plt.figure("直方图均衡化")
plt.hist(equ.ravel(), 256)
plt.show()
cv2.imshow('原图', img)
cv2.imshow('直方图均衡化', equ)
plt.show()
cv2.waitKey(0)

FPGA实现思路

整体思路分为以下五步:
1、RGB 转 YUV
2、图像灰度统计
3、图像像素累加
4、图像灰度归一化计算
5、YUV 转 RGB
门级网表如下:
在这里插入图片描述
其中picture_total负责其中2、3、4步骤,也就是图像均衡化部分

代码实现

RGB888 to YCbCr

转换公式:
Y= (77 R + 150G + 29 B)>>8
Cb= (-43
R- 85 G+128B+32768)>>8
Cr= (128R-107G-21 *B+32768)>>8
这样计算避免了在FPGA中进行乘除运算
代码如下:

//step1 计算括号内的各乘法项
always @(posedge clk or negedge rst_n) begin
    if(!rst_n) begin
        rgb_r_m0 <= 16'd0;
        rgb_r_m1 <= 16'd0;
        rgb_r_m2 <= 16'd0;
        rgb_g_m0 <= 16'd0;
        rgb_g_m1 <= 16'd0;
        rgb_g_m2 <= 16'd0;
        rgb_b_m0 <= 16'd0;
        rgb_b_m1 <= 16'd0;
        rgb_b_m2 <= 16'd0;
    end
    else begin
        rgb_r_m0 <= rgb888_r * 8'd77 ;
        rgb_r_m1 <= rgb888_r * 8'd43 ;
        rgb_r_m2 <= rgb888_r * 8'd128;
        rgb_g_m0 <= rgb888_g * 8'd150;
        rgb_g_m1 <= rgb888_g * 8'd85 ;
        rgb_g_m2 <= rgb888_g * 8'd107;
        rgb_b_m0 <= rgb888_b * 8'd29 ;
        rgb_b_m1 <= rgb888_b * 8'd128;
        rgb_b_m2 <= rgb888_b * 8'd21 ;
    end
end

//step2 括号内各项相加
always @(posedge clk or negedge rst_n) begin
    if(!rst_n) begin
        img_y0  <= 16'd0;
        img_cb0 <= 16'd0;
        img_cr0 <= 16'd0;
    end
    else begin
        img_y0  <= rgb_r_m0 + rgb_g_m0 + rgb_b_m0;
        img_cb0 <= rgb_b_m1 - rgb_r_m1 - rgb_g_m1 + 16'd32768;
        img_cr0 <= rgb_r_m2 - rgb_g_m2 - rgb_b_m2 + 16'd32768;
    end

end

//step3 括号内计算的数据右移8位
always @(posedge clk or negedge rst_n) begin
    if(!rst_n) begin
        img_y1  <= 8'd0;
        img_cb1 <= 8'd0;
        img_cr1 <= 8'd0;
    end
    else begin
        img_y1  <= img_y0 [15:8];
        img_cb1 <= img_cb0[15:8];
        img_cr1 <= img_cr0[15:8];
    end
end

//延时3拍以同步数据信号
always@(posedge clk or negedge rst_n) begin
    if(!rst_n) begin
        rgb_vsync_d <= 3'd0;
        rgb_clken_d <= 3'd0;
        rgb_href_d    <= 3'd0;
    end
    else begin
        rgb_vsync_d <= {rgb_vsync_d[1:0], rgb_vsync};
        rgb_clken_d <= {rgb_clken_d[1:0], rgb_clken};
        rgb_href_d    <= {rgb_href_d[1:0]   , rgb_href   };
    end
end

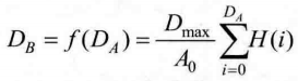
直方图均衡化

Alt
H(i)为第 i 级灰度的像素个数,A0为图像的面积(即分辨率或者说是像素的总数),Dmax为灰度最大值,即255。
从上述公式可以看出,首先需要统计像素总数和计算均衡输出,都要进行写和读,用一个RAM又写又读满足不了要求,因此我们使用双端口RAM,一个口只读不写,另一个口只写不读。
在直方图像素统计的时候,在帧同步信号为高时,统计直方图数据;在帧同步信号为低时,输出直方图数据;
在直方图均衡化的时候,将上一步读出的数据进行累加均衡,根据像素点灰度值对应的地址,写入RAM2中;在延时四个周期后读出。
部分代码如下:
1、信号说明

//信号说明
 // ram1读地址总线
    wire    [7:0]   rd_addr_bus;
    // ram1读数据
    wire    [31:0]  rd_data;
    // ram1写使能总线
    wire            wren_bus;
    // ram1写地址总线
    wire    [7:0]   wr_addr_bus;
    // ram1写数据总线
    wire    [31:0]  wr_data_bus;
    // 输入灰度打一拍
    reg [7:0]       pre_img_Y_r;
    // 数据有效打一拍
    reg             pre_clken_r;
    // pre_vsync打一拍检测下降沿
    reg             pre_vsync_r;
    // 读出直方图地址计数器
    reg [7:0]       rd_addr_cnt;
    // 读出直方图地址计数器使能
    reg             rd_addr_cnt_en;
    // 计数器使能打4拍,ram1读出数据需要1时钟周期,第一拍用于累加的使能,累加消耗1时钟周期,乘除消耗2时钟周期
    reg [3:0]       cnt_en_lag4;
    // 计数器打4拍作为ram2的写入地址
    reg [7:0]       rd_addr_cnt_r1;
    reg [7:0]       rd_addr_cnt_r2;
    reg [7:0]       rd_addr_cnt_r3;
    reg [7:0]       rd_addr_cnt_r4;
    // 直方图累加和
    reg [31:0]      sum;
    // 直方图累加和 * 255
    reg [31:0]      sum_x_255;
    // 累加 * 255 / 307200,图像分辨率为640*480=307200
    reg [7:0]      sum_x_255_div_307200;
	 reg [7:0]       cnt_delay;
    // vsync高电平期间ram1统计直方图,低电平期间读出ram1直方图,并清零
    assign rd_addr_bus = pre_vsync ? pre_img_Y     : rd_addr_cnt;  //读地址
    assign wren_bus    = pre_vsync ? pre_clken_r   : cnt_en_lag4[0]; //写使能
    assign wr_addr_bus = pre_vsync ? pre_img_Y_r   : cnt_delay;//写地址
    assign wr_data_bus = pre_vsync ? (rd_data + 1) : 8'd0;//写数据   

2、第一个RAM 进行数据统计

blk_mem_gen_0 RAM1_8x256 (
	//A端口只读不写
  .clock(clk),    // input wire clka
  .wren_a(1'b0),      // input wire [0 : 0] wea  A端口写使能无效
  .address_a(rd_addr_bus),  // input wire [7 : 0] addra 输入图像像素作为地址
  .data_a(0),    // input wire [31 : 0] dina    A端口只读不写
  .q_a(rd_data),  // output wire [31 : 0] douta A端口读出的数据保存到Cnt中

  // B端口只写不读
  .wren_b(wren_bus),      // input wire [0 : 0] web
  .address_b(wr_addr_bus),  // input wire [7 : 0] addrb
  .data_b(wr_data_bus),    // input wire [31 : 0] dinb
  .q_b()  // output wire [31 : 0] doutb
);

3、累加均衡

 // 计数器使能打4拍,读出数据消耗一时钟周期,累加、乘、除消耗三时钟周期
    always @(posedge clk, negedge rst_n) begin
        if(!rst_n)
            cnt_en_lag4 <= 0;
        else
            cnt_en_lag4 <= {cnt_en_lag4[2:0], rd_addr_cnt_en};
    end

    // 直方图累加,消耗一时钟周期
    always @(posedge clk, negedge rst_n) begin
        if(!rst_n)
            sum <= 0;
        else if(cnt_en_lag4[0])// 计数器使能打一拍用于累加,因为读出数据延迟一时钟周期
            sum <= sum + rd_data;
        else
            sum <= 0;
    end
    // 累加 * 255,即sum * 256 - sum,消耗一时钟周期
    always @(posedge clk, negedge rst_n) begin
        if(!rst_n)
            sum_x_255 <= 0;
        else
            sum_x_255 <= (sum << 8) - sum;
    end

    // 累加 * 255 / 307200,消耗一时钟周期
    always @(posedge clk, negedge rst_n) begin
        if(!rst_n)
            sum_x_255_div_307200 <= 0;
        else
            sum_x_255_div_307200 <= sum_x_255 / 307200;
    end

这里其实写的不太好,在FPGA中尽量避免乘除运算,我这里直接写了个乘法,其实可以:

图像分辨率640*480,为避免乘除法采用640*512来处理
[(2^5+2^4)+(2^2+2^1)] / 2^16, 为优化时序用流水线花2拍处理

4、第二个RAM

blk_mem_gen_0 inst_ram_8x256 (
	//A端口只读不写
  .clock(clk),    // input wire clka
  .wren_a(1'b0),      // input wire [0 : 0] wea  A端口写使能无效
  .address_a(pre_img_Y),  // input wire [7 : 0] addra 输入图像像素作为地址
  .data_a(0),    // input wire [31 : 0] dina    A端口只读不写
  .q_a(post_img_Y),  // output wire [31 : 0] douta A端口读出的数据保存到Cnt中

  // B端口只写不读
  .wren_b(cnt_en_lag4[3]),      // input wire [0 : 0] web
  .address_b(rd_addr_cnt_r4),  // input wire [7 : 0] addrb
  .data_b(sum_x_255_div_307200),    // input wire [31 : 0] dinb
  .q_b()  // output wire [31 : 0] doutb
);

YUV转RGB

module ycbcr2rgb
(
    //module clock
    input               clk          ,  // 模块驱动时钟
    input               rst_n        ,  // 复位信号

    //图像处理前的数据接口
	 input              ycbcb_vsync  ,  // vsync信号
    input              ycbcbr_clken ,  // 时钟使能信号
    input              ycbcr_href  ,  // 数据有效信号
    input      [7:0]   gray_data,       // 输出图像Y数据
	 input      [7:0]   gray_cb_data,       // 输出图像cb数据
    input      [7:0]   gray_cr_data,       // 输出图像cr数据

    //图像处理后的数据接口
    output               rgb_vsync    ,  // vsync信号
    output               rgb_clken    ,  // 时钟使能信号
    output               rgb_href    ,  // 数据有效信号
    output       [7:0]   post_img_red  ,    // 输入图像数据RGB
	 output      [7:0]    post_img_green ,
	 output      [7:0]    post_img_blue 
);


reg [19:0] gray_data_r1;
reg [19:0] gray_cb_data_r1,gray_cb_data_r2;
reg [19:0] gray_cr_data_r1,gray_cr_data_r2;

//放大512倍
always@(posedge clk or negedge rst_n)
begin
	if(!rst_n)
		begin
		gray_data_r1 <= 0;
		gray_cb_data_r1 <= 0; gray_cb_data_r2 <= 0;
		gray_cr_data_r1 <= 0; gray_cr_data_r2 <= 0;
		end
	else
	begin
		gray_data_r1 	 <= gray_data * 18'd596;
		gray_cb_data_r1 <= gray_cb_data * 18'd200;
		gray_cb_data_r2 <= gray_cb_data * 18'd1033;
		gray_cr_data_r1 <= gray_cr_data * 18'd817;
		gray_cr_data_r2 <= gray_cr_data * 18'd416;
	end
end

//右移9位
reg [19:0] XOUT; 
reg [19:0] YOUT; 
reg [19:0] ZOUT;
always@(posedge clk or negedge rst_n)
begin
	if(!rst_n)
	begin
		XOUT <= 0; 
		YOUT <= 0; 
		ZOUT <= 0;
	end
	else
	begin
		XOUT <= (gray_data_r1 + gray_cr_data_r1 - 20'd114131)>>9; 
		YOUT <= (gray_data_r1 - gray_cb_data_r1 - gray_cr_data_r2 + 20'd69370)>>9; 
		ZOUT <= (gray_data_r1 + gray_cb_data_r2 - 20'd141787)>>9;
	end
end

//像素值>0判断
reg [7:0] R, G, B;
always@(posedge clk or negedge rst_n)
begin
	if(!rst_n)
	begin
		R <= 0;
		G <= 0;
		B <= 0;
	end
	else
	begin
		R <= XOUT[10] ? 8'd0 : (XOUT[9:0] > 9'd255) ? 8'd255 : XOUT[7:0];
		G <= YOUT[10] ? 8'd0 : (YOUT[9:0] > 9'd255) ? 8'd255 : YOUT[7:0];
		B <= ZOUT[10] ? 8'd0 : (ZOUT[9:0] > 9'd255) ? 8'd255 : ZOUT[7:0];
	end
end

//计算 右移 判断 三个时钟延迟
reg [2:0] post_frame_vsync_r;
reg [2:0] post_frame_href_r;
reg [2:0] post_frame_clken_r;
always@(posedge clk or negedge rst_n)
begin
	if(!rst_n)
	begin
		post_frame_vsync_r <= 0;
		post_frame_href_r <= 0;
		post_frame_clken_r <= 0;
	end
	else
	begin
		post_frame_vsync_r <= {post_frame_vsync_r[1:0], ycbcb_vsync};
		post_frame_href_r <= {post_frame_href_r[1:0], ycbcr_href};
		post_frame_clken_r <= {post_frame_clken_r[1:0], ycbcbr_clken};
	end
end

//逻辑赋值
assign rgb_vsync = post_frame_vsync_r[2];
assign rgb_href  = post_frame_href_r[2];
assign rgb_clken = post_frame_clken_r[2];

//拼图
//wire [7:0] post_img_red;
//wire [7:0] post_img_green;
//wire [7:0] post_img_blue;
assign post_img_red =  rgb_href ? R : 8'd0;
assign post_img_green = rgb_href ? G : 8'd0;
assign post_img_blue = rgb_href ? B : 8'd0;
//assign rgb_data[23:16] = post_img_red;
//assign rgb_data[15:8]  = post_img_green;
//assign rgb_data[7:0]   = post_img_blue;

endmodule

结果

测试代码依旧是利用medelsim仿真图片。代码在我前面的暗通道算法那一节有给出。
在这里插入图片描述

参考

大磊的视频

评论
添加红包

请填写红包祝福语或标题

红包个数最小为10个

红包金额最低5元

当前余额3.43前往充值 >
需支付:10.00
成就一亿技术人!
领取后你会自动成为博主和红包主的粉丝 规则
hope_wisdom
发出的红包

打赏作者

CrazyCmt

你的鼓励将是我创作的最大动力

¥1 ¥2 ¥4 ¥6 ¥10 ¥20
扫码支付:¥1
获取中
扫码支付

您的余额不足,请更换扫码支付或充值

打赏作者

实付
使用余额支付
点击重新获取
扫码支付
钱包余额 0

抵扣说明:

1.余额是钱包充值的虚拟货币,按照1:1的比例进行支付金额的抵扣。
2.余额无法直接购买下载,可以购买VIP、付费专栏及课程。

余额充值