马尔可夫模型 | Python实现MCMC马尔可夫蒙特卡洛模拟的AR时间序列参数估计
最新推荐文章于 2024-12-08 10:36:59 发布
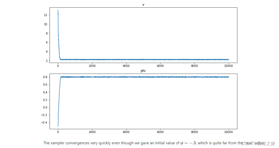
本文通过Python实现了MCMC马尔可夫蒙特卡洛模拟,用于估计AR时间序列的参数。在非共轭条件下,采用Gibbs步骤对方差进行边际采样,并利用标准MCMC进行采样。提供了相关参考资料链接。




订阅专栏 解锁全文
628

被折叠的 条评论
为什么被折叠?



