在我们能够较为熟练地使用一门编程语言后,我们就可以学习计算机科学中复杂而又重要的知识——数据结构。
目录
一、认识数据结构与算法
数据结构(Data Structure)是计算机存储、组织数据的方式,指相互之间存在一种或多种特定关系的数据元素的集合。
算法(Algorithm):就是定义良好的计算过程,他取一个或一组的值为输入,并产生出一个或一组值作为输出。简单来说算法就是一系列的计算步骤,用来将输入数据转化成输出结果。
简单地来说,数据结构就是研究数据在内存中的存储模式,并且研究对这些数据如何进行增删查改的操作以达到有效管理数据的目的。
数据结构与算法的学习对于一个程序员来说至关重要,它虽然难度大,但是也值得学习。
二、算法效率
算法效率分析分为两种:第一种是时间效率,第二种是空间效率。时间效率被称为时间复杂度,而空间效率被称作空间复杂度。
时间复杂度主要衡量的是一个算法的运行速度,而空间复杂度主要衡量一个算法所需要的额外空间。
在计算机发展的早期,计算机的存储容量很小。所以对空间复杂度很是在乎。但是经过计算机行业的迅速发展,计算机的存储容量已经达到了很高的程度。所以我们如今已经不需要再特别关注一个算法的空间复杂度
三、时间复杂度
1.时间复杂度的定义
一个算法的运行速度最直观的表现方式就是运行的时间,然而不同的计算机本身的配置不同,有的一秒钟可以计算数亿次,有的只能计算几百万次,工作效率并不相同。那么就不可以用单独的时间,而是某些操作执行的次数来定义时间复杂度。
时间复杂度的定义:在计算机科学中,算法的时间复杂度是一个数学上的函数,它定量描述了该算法的运行时间。一个算法执行所耗费的时间,只有你把你的程序放在机器上跑起来,才能知道。时间复杂度这个分析方式。一个算法所花费的时间与其中语句的执行次数成正比例,算法中的基本操作的执行次数,为算法的时间复杂度。注意这里计算的只是一个估算的次数,只能代表程序运行次数的数量级。
2.时间复杂度的计算方法
我们计算一下下面这个程序执行基本操作的次数
void Func1(int N)
{
int count = 0;
for (int i = 0; i < N ; ++ i)
{
for (int j = 0; j < N ; ++ j)
{
++count;
}
}
for (int k = 0; k < 2 * N ; ++ k)
{
++count;
}
int M = 10;
while (M--)
{
++count;
}
printf("%d\n", count);
}
我们定义一个函数,以变量N为自变量,则F(N)=N^2+2N+10,我们对于这样的次数只需要估算,保留其中对实际次数影响最大的部分,那么这里我们使用大O的渐进表示法。
推导大O阶方法:
- 用常数1取代运行时间中的所有加法常数。
- 在修改后的运行次数函数中,只保留最高阶项。
- 如果最高阶项存在且不是1,则去除与这个项目相乘的常数。得到的结果就是大O阶。使用大O的渐进表示法以后,Func1的时间复杂度为:N = 10 F(N) = 100N = 100 F(N) = 10000N = 1000 F(N) = 1000000
对于真实的F(N),我们就只需要保留最高次项,计算过后:程序的时间复杂度O(N^2)
另外有些算法的时间复杂度存在最好、平均和最坏情况
例如:在一个长度为N数组中搜索一个数据x
最好情况:1次找到
最坏情况:N次找到
平均情况:N/2次找到
在实际中一般情况关注的是算法的最坏运行情况,所以数组中搜索数据时间复杂度为O(N)
3.时间复杂度的计算实例
(1)计算循环次数
void Func4(int N)
{
int count = 0;
for (int k = 0; k < 100; ++k)
{
++count;
}
printf("%d\n", count);}
}
在这里程序的运行必定为100次,我们管这种固定次数运行的程序的时间复杂度为O(1)
(2)查找字符
const char * strchr ( const char * str, int character );
这个函数可以找到一个字符串中是否存在一个指定字符,存在则返回字符串中这个字符的地址,不存在则返回空指针,在这里程序的最坏的运行次数为n次,这种程序的时间复杂度为O(N)
(3)冒泡排序
void BubbleSort(int* a, int n)
{
assert(a);
for (size_t end = n; end > 0; --end)
{
int exchange = 0;
for (size_t i = 1; i < end; ++i)
{
if (a[i-1] > a[i])
{
Swap(&a[i-1], &a[i]);
exchange = 1;
}
}
if (exchange == 0)
{
break;
}
}
如果待排序的数组为降序,在这里程序的运行次数为:(n-1)+(n-2)+(n-3)+…+1次,根据等差数列求和公式最终结果为:N*(N-1)/2 = 0.5*N^2-0.5*N,保留最高项并舍去前面的系数,这种程序的时间复杂度为O(N^2)
(4)二分查找
int BinarySearch(int* a, int n, int x)
{
assert(a);
int begin = 0;
int end = n-1;
while (begin < end)
{
int mid = begin + ((end-begin)>>1);
if (a[mid] < x)
begin = mid+1;
else if (a[mid] > x)
end = mid;
else
return mid;
}
return -1;
}
二分查找运用于有序的数组中查找数据,这是一个效率很高的查找算法只是使用范围有限,比如对于一个数组1 2 3 4 5 6 7 8 9 10我们项从中找到3,首先我们定义begin和end两个变量储存第一个和最后一个元素的下标0和9,对比3和中间元素5大于3,那么end移动到中间的位置4,再次对比3和中间元素3等于3,就找到了。
也就是说在最坏的情况下,直到begin和end之间只剩一个元素,每一次查找就会舍弃一半的元素。此时我们有以下表达式成立:N/2/2/2……/2=1,反过来Log2N=x(x为次数),这种程序的时间复杂度为O(Log2N)
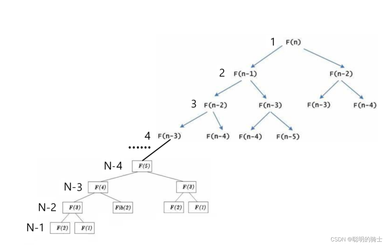
(5)斐波那契数列递归
long long Fibonacci(size_t N)
{
return N < 2 ? N : Fibonacci(N-1)+Fibonacci(N-2);
}

这个程序在第一层递归中函数执行1次,为2的0次方;第二层递归中函数执行2次,为2的1次方;第三层递归中函数执行4次,为2的2次方;第四层递归中函数执行8次,为2的3次方……最后一层执行2的N-1次方次,最后根据等比数列求和公式:1*(2-2^N)/(1-2) = 2^N-1,这种程序的时间复杂度为O(2^N)
这种程序的时间复杂度为太大了,在数据较大时,再稍微大一些时,运行的速度就会明显降低。所以这个算法是不会在实践中采用的。
四、空间复杂度
1.空间复杂度的定义
空间复杂度是对一个算法在运行过程中临时占用存储空间大小的量度 。空间复杂度不是程序占用了多少bytes的空间,因为这个也没太大意义,所以空间复杂度算的是变量的个数,更精确的说计算的是相对固定的内存单元的多少。空间复杂度计算规则基本跟实践复杂度类似,也使用大O渐进表示法。
首先,我们一定要记住,时间是累计的,而空间是可以重复利用的。这一点非常重要。
2.空间复杂度的计算
(1)冒泡排序
void BubbleSort(int* a, int n)
{
assert(a);
for (size_t end = n; end > 0; --end)
{
int exchange = 0;
for (size_t i = 1; i < end; ++i)
{
if (a[i-1] > a[i])
{
Swap(&a[i-1], &a[i]);
exchange = 1;
}
}
if (exchange == 0)
{
break;
}
}
我们只考虑算法开辟的临时空间,所以main函数和原数据占据的空间不考虑在内。程序在交换时只额外使用一个临时的变量,个数固定,所以空间复杂度为O(1)
(2)斐波那契数列递归
long long Fibonacci(size_t N)
{
return N < 2 ? N : Fibonacci(N-1)+Fibonacci(N-2);
}

这个程序会先沿着最左侧的路线向下递进,每一次函数的使用都需要开辟栈帧,而每一次调用这个函数使用的内存大小是相对固定的。在执行完F(1)时,F(1)部分的空间就被回收了,因为没有一个调用的深度可以超过F(1),所以算法额外使用的空间最多为N个大小相对固定的栈帧,也就是说空间复杂度为O(N)
本文深入解析数据结构与算法的核心概念,讲解时间复杂度和空间复杂度的定义、计算方法及实例,包括冒泡排序、二分查找与斐波那契数列递归,助你理解算法效率的关键
540

被折叠的 条评论
为什么被折叠?



