本篇讲述linear regression线性回归模型。参考资料为http://openclassroom.stanford.edu/MainFolder/DocumentPage.php?course=MachineLearning&doc=exercises/ex2/ex2.html。这个网站很好的是同时提供了源代码,可以直接在matlab上跑。因为之前比较了解,所以视频是跳着看的。同时参考了<pattern analysis and machine learning>中的第三章。这本书对linear regression的本质解释的更清楚。
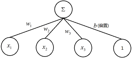
在所有讨论之前,我们先把linear regression线性回归的模型画出来吧,给大家一个直观的感受
图0. linear regression线性回归模型
这就是linear regression的模型了。接下来我们引入我们的问题。
问题
首先考虑如下的一个例子(例程源码来自这里)
图1
求如何进行拟合?
模型建立
我们很自然的想到可以用直线拟合
(1)
给定预测值,每个样本点发生的概率服从正态分布,为
(2)
即

本文详细介绍了线性回归模型,包括模型的图形表示、问题背景、模型建立、代价函数以及解析法和迭代法(梯度下降法、牛顿法)的求解过程。通过实例展示了线性回归在机器学习中的应用,并推荐了相关学习资源。
最低0.47元/天 解锁文章

9980

被折叠的 条评论
为什么被折叠?



