上一期在微信公众号“弹道制导控制业余爱好者”的文章《运载火箭、导弹等飞行器姿态控制律设计准备工作,小扰动线性化方程的详细推导过程》中详细介绍了飞行器运动方程小扰动线性化建模的详细过程,这次给出飞行器纵向运动方程小扰动线性化建模的实操示例,Matlab代码,让从事飞行器姿态控制律设计的小伙伴有个直观的感受。
首先声明一下,这里的气动参数和总体参数都是作者虚构出来的,不与任何的实际型号产品有关联。如有雷同,纯属巧合。
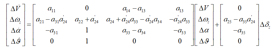
不考虑推力、高度的影响,飞行器纵向小扰动线性化模型为,

短周期纵向小扰动线性化模型为,

纵向小扰动线性化建模实操Matlab代码为,
clear all
close all
clc
format long
s= tf('s');
rad2deg_GL = 180/pi;
gn = 9.80665;
余下的Matlab代码,请关注微信公众号“弹道制导控制业余爱好者”的文章《运载火箭、导弹等飞行器纵向小扰动线性化方程建模实操(Matlab代码)》。
关注我,“弹道制导控制业余爱好者”的干货都很硬核。
1376

被折叠的 条评论
为什么被折叠?



