[ML学习笔记] XGBoost算法
回归树
决策树可用于分类和回归,分类的结果是离散值(类别),回归的结果是连续值(数值),但本质都是特征(feature)到结果/标签(label)之间的映射。
这时候就没法用信息增益、信息增益率、基尼系数来判定树的节点分裂了,那么回归树采用新的方式是预测误差,常用的有均方误差、对数误差等(损失函数)。而且节点不再是类别,而是数值(预测值),划分到叶子后的节点预测值有不同的计算方法,有的是节点内样本均值,有的是最优化算出来的比如Xgboost。
XGBoost算法
XGBoost是由许多CART回归树集成。区别于随机森林的bagging集成,它是一种boosting集成学习(由多个相关联的决策树联合决策,下一棵决策树输入样本会与前面决策树的训练和预测相关)。它的目标是希望建立K个回归树,使得树群的预测值尽量接近真实值(准确率)而且有尽量大的泛化能力(寻求更为本质的东西)。
记w为叶子节点的权值,x为分类结果,则最终预测值 \(\hat{y}_i = \sum_j w_j x_{ij}\)。
设目标函数为 \(l(y_i,\hat{y}_i)=(y_i-\hat{y}_i)^2\)。
对于一组数值需要求平均,相当于求其期望 \(F^*(\overrightarrow{x})=argminE_{(x,y)}[L(y,F(\overrightarrow{x}))]\)
最终结果由多个弱分类器组成,集成的结果:\(\hat{y}_i = \sum_{k=1}^K f_k(x_i), \quad f_k\in F\)
XGBoost本质是提升树,也即每加一棵效果更好(目标函数更优)

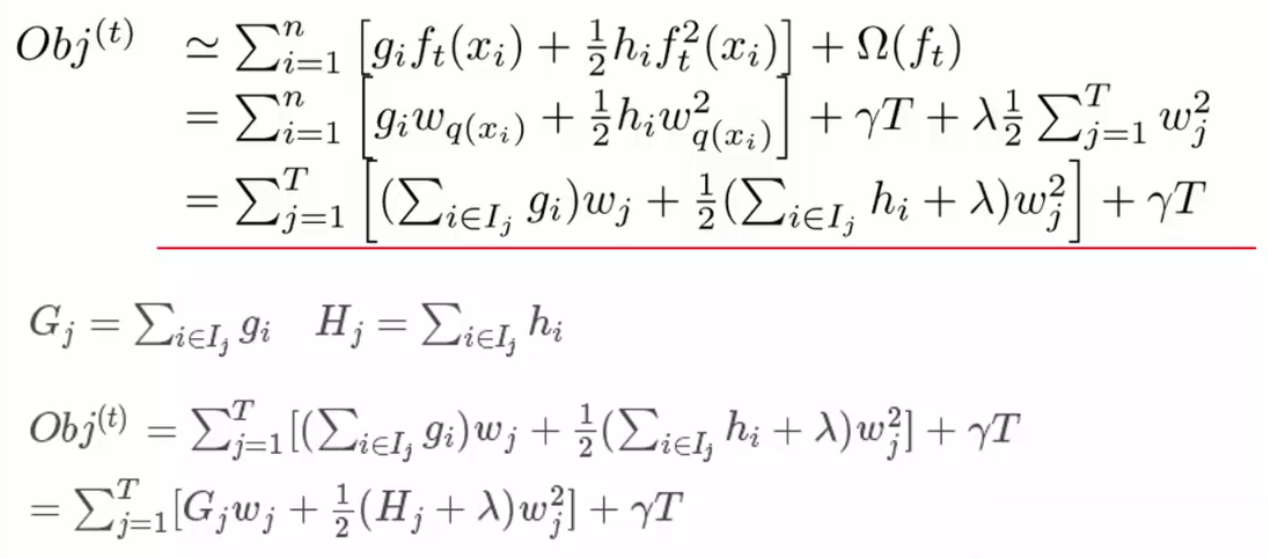
定义正则化惩罚项 \(\Omega(f_t)=\gamma T+\frac{1}{2}\lambda \sum_{j=1}^T \omega_j^2\)(叶子个数 + w的L2正则项)
如何选择每一轮加入什么f(预测值->落入的叶子权值):选取使得目标函数尽量最大地降低(找到\(f_t\)来优化这一目标)
\[ \begin{split} Obj^{(t)}&=\sum_{i=1}^n l(y_i,\hat{y}_i^{(t)})+\sum_{i=1}^n\Omega(f_i)\\ &=\sum_{i=1}^n l(y_i,\hat{y}_i^{(t-1)}+f_t(x_i))+ \Omega(f_t)+constant\\ &=\sum_{i=1}^n (y_i-(\hat{y}_i^{(t-1)}+f_t(x_i))^2+ \Omega(f_t)+constant\\ &=\sum_{i=1}^n [2(\hat{y}_i^{(t-1)}-y_i)f_t(x_i)+f_t(x_i)^2]+ \Omega(f_t)+constant\\ \end{split} \]
用\(\hat{y}_i^{(t-1)}-y_i\) 描述前t-1棵的总预测值与真实值之间的差异(残差),因此梯度提升决策树也称残差决策树。
目标函数Obj是一个队树结构进行打分的函数(结构分数 structure score),分数越小代表树结构越好。用泰勒展开近似求解:

由对样本的遍历变换为对叶节点的遍历


单节点怎么切分(分叉):枚举所有可能的分割方案,假设要枚举所有x<a这样的条件,对于某个特性的分割a,分别计算切割前和分割后的差值以求增益。

推荐阅读:
- 陈天奇博士的文章 Introduction to Boosted Trees (附:原PPT地址、中文笔记博客)
XGBoost算法解析
本文深入探讨了XGBoost算法的原理与应用,详细讲解了回归树、目标函数及正则化惩罚项的概念,介绍了XGBoost作为一种提升树集成学习算法,如何通过优化目标函数实现预测精度与泛化能力的提升。
1万+

被折叠的 条评论
为什么被折叠?



