在道路工程的设计与施工中,常常遇到与道路横断面图相关的各种棘手问题,令人头疼。看完下面这个图文解读,一键get横断面设计方法与步骤、设计成果、绘制方法、面积计算方法、路基土石方数量计算及调配、纬地横断面设计操作等等技巧,赶紧收藏吧!
横断面概述
道路的中心线方向上所做法向剖面为道路的横断面.道路的横断面是由横断面设计线和地面线所构成的。

横断面设计(路幅设计)
公路横断面:
公路:路肩外侧边缘之间的部分。


路幅:是公路路基顶面两路肩外侧边缘之间的部分,分为单幅、双幅公路。

公路路幅典型横断面组成
双幅公路:把上下行车辆分隔开,主要方式:
用分隔带分隔上下行车辆(整体式断面)
将上下行车辆放在不同高度(或平面)上加以分隔。(分离式断面)
如高速公路、一级公路等
单幅公路:上下行车辆不分开(主要利用标线分隔)。
1、单幅双车道
二、三、四级公路,在总里程占比例最大,具有混合交通的缺点。
2、双幅多车道
高速公路、一级公路,中间设有分隔带或做分离式断面。
3、单车道
交通量小、地形复杂的山区的四级道路,宽度4.5米,路面3.5米;不大于300m距离内设置一定的错车道。
城市道路:道路红线之间的部分。

车行道、人行道、中央分隔带等构成。
道路红线:划分城市道路用地和城市建筑用地、生产用地和其它备用地的分界控制线。
划分城市道路用地和城市建筑用地、生产用地和其它备用地的分界控制线。红线之间的宽度为道路用地范围,是道路宽度或规划路幅。红线宽度的确定:根据道路性质和功能,路幅形式,机动车道、非机动车道、人行道、绿化带等各个组成部分的宽度。
城市道路路幅布置形式:
1、单幅路(一块板)
优点:占地少,投资省,车道利用率高。
缺点:车辆混行,不安全。
适用:一般道路红线较窄,机动车和非机动车 不多的次干道、支路。用地不足拆迁困难的旧城改建的城市道路。

2、双幅路(两块板)
优点:投资省,机动车分向行驶,安全程度提高。
缺点:一侧仍旧属于混行,机动车和非机动车行驶,互相影响。
适用:单向需要两条以上车道,非机动车较少的道路。有平行道路可以供非机动车行驶的快速路或郊区道路,一般红线宽度在40米以下的道路。

3、三幅路(三块板)
优点:机动灵活,机、非分开,安全性大大提高。
缺点:占地较大,投资较大
适用:机动车、非机动车较大的城市道路;一般红线宽度在40米以上。

4、四幅路(四块板)
优点:车速高、交通运行安全
缺点:用地大、投资高
适用:快速路和交通量大的主干线,一般红线宽度在40米以上。

路线设计中所讨论的横断面设计只限于公路路肩外侧边缘(城市道路红线)之间的部分,也称路幅设计。
确定各个部分的宽度、确定各个组成部分的位置和高差、确定道路路幅的布置形式。
行车道的设计
道路上供各种车辆行驶的部分称为行车道。分为机动车、非机动车道设计。车道宽度、车道数的确定、行车道的宽度。
机动车车行道设计:
城市道路的车速为30-40km/h,所需要的车道宽度为3.42-3.80米
平均为3.50米,速度大于50km/h,车道宽度应该取为3.75米;速度小于50km/h,车道宽度应该取为3.50米。
公路行车道根据《公路工程技术标准》确定,高速公路和一级公路的一条车道为3.75米(V=120、100、80km/h)、3.50(60km/h);二级公路行车道(双向混合行驶)宽度为9.0m(80km/h),7.0m(40km/h) ;三级公路行车道(双向混合行驶)宽度为7.0m(60km/h),6.0m(30km/h) ;四级公路行车道(双向混合行驶)宽度为6.0m(40km/h), (单向混合行驶) 3.5m(40km/h)。
车道数的计算方法:

行车道宽度计算:

曲线上的加宽
一、加宽设置的必要性和加宽值的计算
由于车辆在弯道上所占的空间大于直线上所占的空间,半径小于250米的路段,均需要设置加宽。

加宽值的布置:
曲线内侧 一般公路加宽设置在弯道的内侧。
曲线的内外两侧 主要考虑用地紧张状况。


加宽示意图:

加宽值的计算:


公路曲线双车道加宽值:

四级公路和山岭、重丘区的三级公路采用第一类加宽值。其余各级公路采用第三类加宽值,对不经常通行集装箱、运输半挂车的公路,采用第二类加宽。
二、加宽过渡的方法
1、加宽缓和段
加宽值从直线段为零,逐渐过渡到圆曲线起点处的全加宽值的过渡段。

设有缓和曲线:加宽缓和段采用和缓和曲线相同长度,不设缓和曲线有超高缓和段:采用与超高缓和段一样的长度,不设缓和曲线或超高缓和段:按照渐变率为1:15且长度不小于10m。
2、加宽过渡的方法
(1)按照比例加宽
在加宽缓和段内按比例加宽。

式中: Lx—加宽缓和段任意一点到缓和段起点的距离;
L— 加宽缓和段全长; E—全加宽值。

路面内侧与行车轨迹不符,起讫点出现波折,二、三、四级公路和一般城市道路。


(2)按高次抛物线加宽
高等级道路和城市快速路

(3)按回旋线加宽(路面内侧回旋线,利于行车顺适美观)

路肩、分车带、路侧带和路缘石
一、路肩设计(位于道路外侧,从行车道外缘到路基边缘,具有一定宽度的带状部分)

路肩的作用:临时停放车辆、横向支撑路面、堆放养护路面的材料、安装交通护栏、管线设施、诱导视线,增加公路美观,汇集路面排水。

硬路肩:进行了铺装的路肩,在高速公路、一级公路和其它等级公路交通量大的路段设置,提供车辆临时行驶、停放使用,作为路面的基层、面层的的横向支撑。
土路肩:没有进行铺装的路肩,各级公路均应该设置土路肩。

路肩的坡度:直线段的硬路肩一般应该设置向外倾斜的横坡,坡度稍大于或等于行车道横坡;曲线路段的硬路肩横坡行车道路面横坡相同;土路肩的横坡应比路面增大1~2%,因为其排水性较路面差。
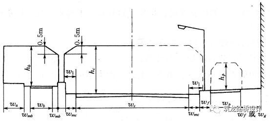
二、分车带设计(分为中间带和路侧带)
(一)中间带
概念:多幅路横断面范围内,沿路纵向设计的、分隔上下行交通的设施。由中央分隔带和路缘带组成。

作用: 分隔往返车流、设置交通标志、设置公用设施和绿化带、公交停靠站、减少对向车灯产生的眩光、为公路分期修建提供用地;显示车道位置,诱导视线。
中间带的宽度:中间带的宽度是根据道路用地范围、行车带以外宽度、护栏、种植、防炫网等需要宽度规定。

中间带的宽度一般情况下应该保持等宽,若需要变宽时,在宽度变化的地点,应设置过渡段。过渡段以设置在回旋线范围内为宜,长度应与回旋线相同。宽度大于4.5m的中间带过渡段,以设置在半径较大的平曲线路段为宜。

为了便于养护作业和某些车辆在必要时驶向反向车道,中央分隔带需要按一定距离设施开口部,距离2km左右。中央分隔带的开口应设置在通视良好的路段;开口形状分为半圆形和弹头形。中央分隔带形式有凸、凹两种形式。凹形主要用于宽度大于4.5m的中间带;凸形主要用于宽度不大于4.5m的中间带;凹形一般植树绿化;凸形可铺面封闭。

两侧带:一般在城市道路中布置在横断面两侧的分车带。两侧带的作用:分隔快车与慢车道、机动车与非机动车道、车行道与人行道等。

路侧带是位于城市道路行车道两侧的人行道、种植带、公用设施带等的统称。一般高于行车道0.08~0.2m,横坡采用直线型,向内侧倾斜,坡度为1~2%。

路侧带人行道宽度:

人行道上靠行车道一侧种植行道树。设施带宽度包括设置行人护栏、照明灯柱、标志牌、信号灯的宽度。红线宽度较窄时,设施带与种植带可以合并。
路缘石是设在路面边缘与横断面其他组成部分分界处的标石。
路缘石形式:
立式:用于车行道两侧,高出地面10-20cm。
斜式或平式:使用于出入口、人行道两侧及人行横道两端。
缘石材料:用坚硬水泥混凝土或石料制作。
路拱和超高
路拱:指为了迅速排除落在地面上的雨水, 防止雨水渗入路基,路面通常做成中间高,并且向两侧倾斜的拱形,称为路拱。

抛物线形路拱:由抛物线构成。
优点:中间部分横坡小,两边横坡大,对行车和排水有利。
缺点:设计和施工较为复杂麻烦。
适用:路面度小于20m的柔性路面

直线形路拱:由两条倾斜的直线组成。
优点:设计简单,施工方便
缺点:对行车不利
适用:横坡度小的双车道水泥混凝土路面。

折线形路拱:由路中心向路边缘逐渐增大横坡的若干段折线组成。
优点:横坡变化缓,对行车和排水有利。
缺点:设计施工难度较大,转折点处有尖峰
适用:多车道的水泥混凝土路面。

曲线上的超高:
超高设置:为了抵消车辆在曲线上行驶时所产生的离心力,在该路段横断面上设置的外侧高于内侧单向横坡。半径小于不设超高的最小半径的平曲线均应该设置超高。
超高值计算:



超高过渡的方式:

1、无中间带的道路
超高横坡等于道路路拱的横坡(在超高缓和段起点之前,将路肩的横坡逐渐变为路拱横坡,外侧车道绕路中线旋转,直到超高横坡)

超高横坡大于道路路拱的横坡时:
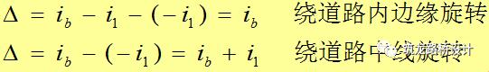
绕路面未加宽时道路的内边缘旋转
第一步,在超高缓和段起点之前,将两侧路肩的横坡分别同时绕内外侧路面未加宽时的边缘线旋转,使路肩横坡逐渐变为路拱横坡,此过程长度为1~2m,且不计入缓和段内。

第二步,将外侧部分绕中轴(路中线)旋转,逐渐抬高外侧路面和路肩,达到单向的路拱坡度。所需要长度为x0

第三步,然后整个断面绕着未加宽前内侧行车道边缘旋转,直至超高横坡。
所需要长度为Lc-x0
适用于新建道路


绕路面未加宽时道路中心线旋转:
第一步,在超高缓和段起点之前,将路肩的横坡逐渐变为路拱横坡。此过程长度为1~2m,且不计入缓和段内。

第二步,将外侧部分绕中轴(路中线)旋转,逐渐抬高外侧路面和路肩,达到单向的路拱坡度。所需要长度为x0

第三步,整个断面再以道路的中心线为旋转轴旋转,直至超高横坡。所需要长度为Lc-x0
一般改建道路使用


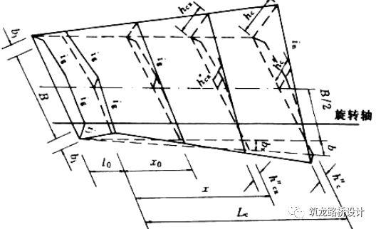
绕路面未加宽时道路的外边缘旋转:

三条基线:路面未加宽时的内侧车道边缘线、道路中心线、路面未加宽时外侧边缘线。
2、有中间带的道路
绕中间带的中心旋转:先将外侧行车道绕中间带的中线旋转,达到和内侧行车道构成单向横坡后,整个断面绕中线旋转,直至超高横坡。
适用中间带小于4.5m的公路。

绕中央分隔带边缘旋转:将两侧行车道分别绕中央分隔带边缘旋转,使之各自成为独立的单向超高断面。
适用各种中间带宽度的情况

绕各自行车道中线旋转:适用车道数大于四的情况。

分离式公路:
视为两条无中间带的公路分别处理

超高缓和段长度的计算:

超高缓和段上逐渐超高引起外侧边缘或内侧边缘的纵坡逐渐增加或减小,使边缘纵坡与原设计不同,其差值p为超高渐变率(超高附加坡度);p过大,路形不美观,乘客不舒服;过小影响排水;一般情况下,超高缓和段与缓和曲线长度相同;如果缓和曲线较长,可将超高缓和段布置在缓和曲线的某段内;考虑路面排水,超高渐变率不得小于1/330。


B—旋转轴到路面边缘的宽度;
P—超高渐变率
Δ—超高坡度与路拱坡度的代数差

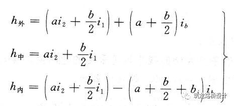
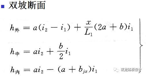
横断面上超高值的计算:
公路工程的施工中,超高横坡不便用坡度值来控制,一般采用道路中线、路基和路面边缘线相对于路基设计高程的相对高差来控制。超高值设置超高后路中线、路面边缘及路肩边缘对路基设计高程的高差。

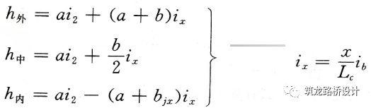
绕路面边缘旋转的超高值计算:

超高缓和段上超高值的计算:
由于超高断面是分3个部分完成的,因此每个过程中超高都是不同的,应该分别计算。
起始断面


双坡断面:从超高缓和段起点到路面外侧变成与内侧相同坡度这一阶段内的断面。

旋转断面:单一路拱阶段到圆曲线进点内的任意断面


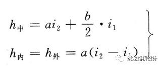
绕道路中线超高值的计算:
全超高断面超高值

超高缓和段内超高值:




四级公路和山岭、重丘区的三级公路采用第一类加宽值。其余各级公路采用第三类加宽值,对不经常通行集装箱、运输半挂车的公路,采用第二类加宽。
道路建筑限界与道路用地
道路建筑限界(净空):为保证道路上各种车辆、人群的正常通行与安全,在一定高度和宽度范围内不允许有任何障碍物侵入的空间界限,又称为净空。

道路横断面设计时应充分研究组成路幅要素的相互关系及道路各种设施的设置规划,做出合理的安排,不允许桥台、护栏、道路标志、电线杆等设施进入道路建筑限界内,道路建筑界限主要由净高和净宽两部分组成。
净空高度:载重汽车装载高度为3.5m,富余高度1m,净高为4.5m;考虑积雪和道路养护过程中铺装加厚,对公路和城市道路净空高度的规定:公路:高速、一级、二级5m,三、四级:4.5m。
城市道路:汽车4.5m;电车5~5.5m;非机动车3.5m;自行车和行人2.5m。
道路上的各种设施必须保证其伸入部分在净高以上。

道路用地:新建公路路堤两侧排水沟外边缘(无排水沟时为路堤或护坡道坡脚)以外,或路堑坡顶截水沟边缘以外不小于1m的土地为公路用地范围。在有条件路段,高速、一级公路不少于3m,二级公路不少于2m的土地为公路用地范围;城市道路的用地范围是指建筑红线以内的范围。


纬地道路横断面设计技巧
对于地形相对平缓、断面型式(包括边坡、边沟以及防护形式等)变化较少的项目,纬地软件中的“横断面设计绘图”是依据控制参数(文件)、快速批量化自动完成横断面“戴帽子”设计并输出图纸成果的利器。无论对于几公里、几十公里,还是甚至几百公里的项目,上百万个横断面批量化设计、自动绘图也不会超过一根烟的功夫。但是,如果不熟悉,有时也挺抓狂的……
标准横断面的多种快速创建方式
对于横断面型式变化非常频繁的项目,“横断面设计绘图”则显得自动化有余、灵活性稍显不足了,主要体现在地形、地质条件相对复杂的铁路和部分公路设计项目中。为了适应此类项目复杂横断面设计任务的需要,包括满足铁路行业中路基专业设计特点、习惯等需要,纬地软件开发推出了基于“智能模板设计技术”的“纬地横断面详细设计”功能。
纬地软件根据横断面中行车道、路肩、边坡、边沟等专业特点,开发了各类横断面组件,用户通过多种方式自定义这些组件,并进而组合成适应于各类复杂设计条件的标准横断面(模板)。系统将根据标准横断面(模板)和用户指定的适用桩号区间,自动完成横断面详细设计、绘图和工程量计算输出了。实际上,“标准横断面”就是适用于公路或铁路项目中,某一路段、特定地形、地质条件下的典型横断面而已。
在实际的运用中,大部分公路设计工程师都能对横断面设计中的各个功能运用的得心应手。但对于较少接触或初次使用横断面详细设计的工程师来说,可能会感到无从下手,看完适用教程之后又感觉东西太多,难免会产生茫然的感觉。但是,一旦着手自行创建一个标准断面、完成一个设计任务、掌握了操作要点,再回头看看横断面设计,就不会再有这种茫然的感觉了。
1、创建方式一: 依据控制参数自动创建
即根据控制参数文件(.ctr),利用“自动绘制标准横断面-BZDM”命令,生成标准横断面。这种标准断面的创建方式相对简单,主要试用于项目变化相对简单、工程师已经在控制参数文件(*.ctr)数据中设置好相关控制数据,或首次使用横断面详细设计模块,没有相关基础资料的积累(如相似的项目、标准断面等),创建过程如下图所示:

2、创建方式二:根据某一横断面设计图创建
此方式适用于在项目设计过程中,直接根据指定的某一个横断面设计成果(图形)来创建一个新的标准横断面。即指定已经完成的、设计路段中的某一个横断面设计图,作为后面与之条件相似的、但尚未完成设计的路段的标准横断面模板。具体的操作方法是:在进行详细横断面设计的过程中,把主窗口切换到标准横断面模式状态,然后在下方的横断面预览窗口选择一个逐桩横断面,双击该横断面;系统即会提示“是否使用所选桩号建立新的标准横断面”,选择“是”,系统即可将该横断面作为标准横断面添加到标准断面数据中;随后再指定该标准横断面的桩号区间就OK啦。如下图所示:




3、创建方式三:复制相似的标准横断面创建
即复制之前已经完成的某一个项目的标准横断面、或者本项目中已经完成设计的路段的标准横断面,来创新当前项目和路段的标准横断面。该方式的具体操作非常简便,仅使用常用的键盘“复制”组合命令(“Ctrl+C”)和键盘“粘贴”组合命令(“Ctrl+V”)即可完成。对于一个项目有多个标准横断面的情况,我们可以复制粘贴已经定制好的标准横断面模板,然后在CAD特性参数中将桩号改为需要的数值即可,
4、创建方式四:导入其他项目的标准横断面
即打开以前完成横断面详细设计的其他项目,将该项目的标准横断面保存为单独的dwg图形文件。打开当前项目,直接导入该DWG图形文件创建标准横断面。
具体的操作方法:打开设计项目,选择“设计”菜单下的“横断面设计”命令,切换到横断面详细设计界面。根据当前项目进展,分为以下两种情况:
1)、当前设计项目没有标准横断面数据。首先打开之前保存的dwg图形格式文件(其中带有标准横断面的模板),系统会提示“打开DWG图形文件包含有标准横断面,是否将其中的标准横断面添加到本项目”,选择“是”,即可将dwg图形文件中带有标准断面的模板添加到当前项目中来了。
2)、当前设计项目已经有标准横断面数据。首先打开之前保存的dwg格式文件(带有标准横断面的模板),系统会提示“打开DWG图形文件包含有标准横断面,是否将其中的标准横断面添加到本项目”,选择“是”,系统会继续弹出来下一个提示“本项目已经包含有标准横断面,是否清除原有数据”,选择“是”,即将本项目原有的标准横断面数据清除,导入我们之前打开的标准横断面模板;选择“否”,本项目原有的标准横断面数据依然存在,同时也将之前打开的标准横断面模板导入当前项目。如下图a.b.c.所示



工程师在具体设计中,完全可根据项目的具体情况,灵活选择其中的某一种或者多种组合方式来创建“标准横断面”,进而快速完成横断面设计。
横断面编辑、修改的几种功能
1.路基结构层的设置
经常会有设计人员问道:结构层的形式不是一般的矩形,需要设置为梯形样式,如何实现?如图1-1:

So easy!只需选中标准横断面结构层,在特性参数中修改其起点或终点坡度,如需延伸至某个固定宽度,设置其起点或终点附加宽度即可。如图1-2,1-3:


2.标准断面路基部件复制粘贴
对于标准断面的路基部件,设计者通常是分别对路幅两侧的各路基部件编辑修改,那么问题来了:编辑完一侧部件后,另外一侧的形式与之相同,重复对另外一侧再编辑修改就显得很麻烦,如何提取已编辑好的一侧信息并快速应用于另外一侧呢?
答案:“Ctrl+C”“Ctrl+V”,即复制、粘贴,简单而高效!如将标准断面左侧已编辑好的边坡部件复制后,CAD提示指定插入点时,将边坡起点位置靠近右侧坡脚位置粘贴即可,如图2-1:

再比如将挖方标准断面左侧截水沟复制,只需将插入点选择右侧坡口外地面线附近,系统即可自动识别其位置并粘贴截水沟,如图2-2:

3.逐桩断面样式复制粘贴
横断面戴帽子生成逐桩断面,逐桩断面的细部修改也是一项主要工作。如果纯手工修改,对于路线长达几十公里甚至几百公里的项目,这个工作量让人望而生怯。纬地横断面设计模块的批量复制粘贴功能成功解决了这一难题。但是又有人问:我只想粘贴某一个或者某几个部件样式,批量粘贴后把其他的样式都覆盖了,怎么办?
答案:“部分粘贴功能”。如图3-1,只把地面线挖台阶复制粘贴到其他断面,在桩号树该桩号右键选择复制断面样式,特性窗口即可出现粘贴横断面样式选项,只选择粘贴左右侧地面样式,在批量粘贴对话框中设置桩号区间,即可批量粘贴成功,如图3-2,批量部分粘贴只是将挖台阶样式粘贴,其他部件样式保持原有样式不变。


艾三维学院建工培训中心,专业提供BIM培训,BIM考证培训,一级建造师,二级建造师等建筑行业资格考试的考前培训,多名资深教授联手创办,集BIM培训,无人机培训,工程动画课程培训为一体的教学科研平台
点击下方——了解更多_在线咨询
本文深入探讨了道路横断面设计,包括横断面的构成、设计步骤、车道设计、路肩、分车带、路缘石、路拱和超高等关键元素。特别介绍了计算道路超高在LISP语言中的应用,以及如何使用纬地软件进行横断面设计。此外,还提供了创建标准横断面的多种方法,如自动创建、根据已有设计图创建、复制和导入等,帮助设计师提升工作效率。
3625

被折叠的 条评论
为什么被折叠?



