文章目录
微分中值定理:把函数改变量与一点的导数值联系起来
中值定理意义:将函数与导数联系起来
三大中值定理


证明根的存在性

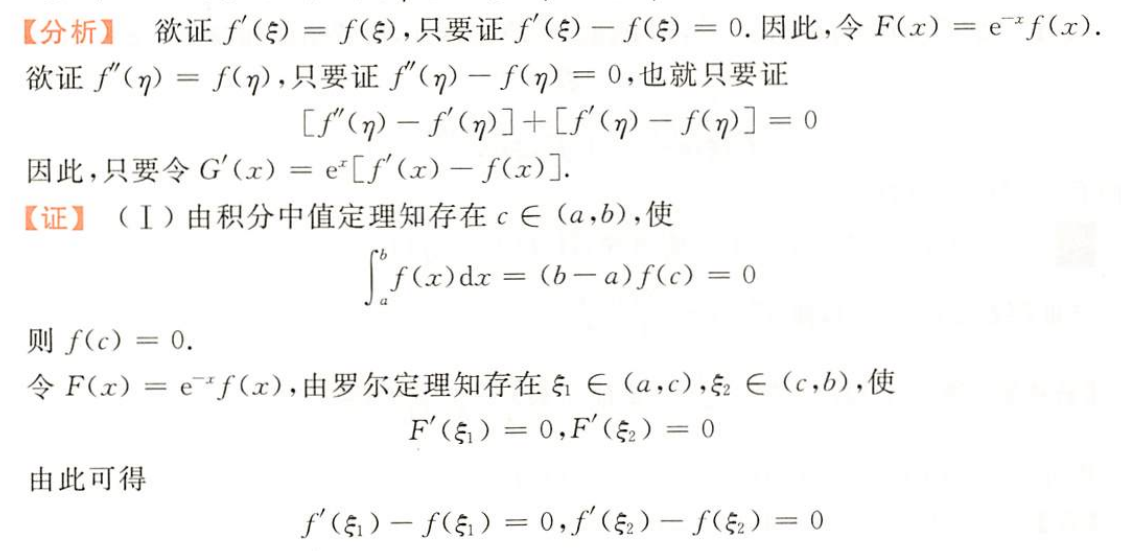
- 证明根的存在性:零点定理和罗尔定理
- 由于无法说明两端点异号,所以想罗尔定理
- 构造一个辅助函数,这个辅助函数的导数为要证的方程
- 这个辅助函数在两端点值相等,说明辅助函数的导数在0到1内存在0点。
这也就是为什么要构造一个导数为要证明的方程的原因

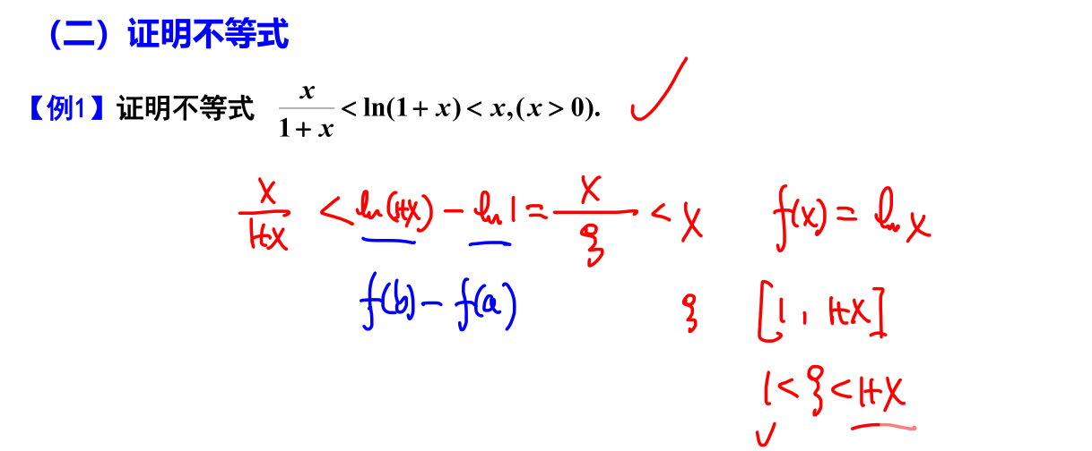
证明不等式

题目中出现了两点函数值得差,就想着用微分中值定理来证明
微分(单)中值定理有关的证明题
解题方法
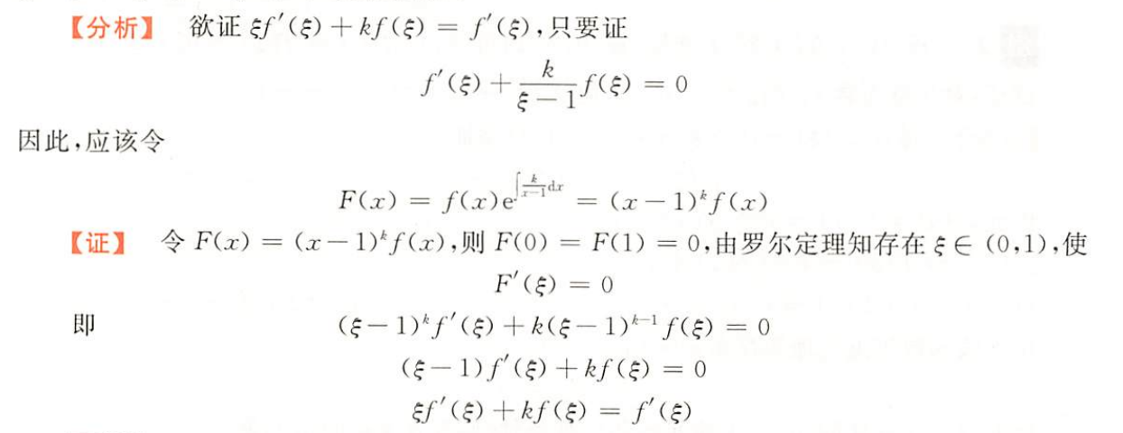
必须出现中值的一阶导数才能叫单中值

见到含有导数的这种方程,让你证明,就想着构造辅助函数,用罗尔定理证明

绿色框框中的第一个式子在构造的时候,如果g(x)是一个抽象的函数,构造的时候写成变上限函数的积分,因为抽象函数的积分还是一个抽象函数。
看题目5!!
题目1



题目2


题目3

对于第二问的拓展:
如果要证明的式子中含有二阶导数
先写成十字相乘的形式,…意会!!!


题目4


题目5


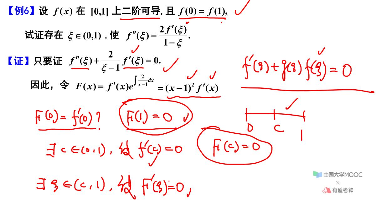
题目6

注意,在构造辅助函数的时候,这个辅助函数并不是f(x)的函数。

题目7

这道题中,不可以用公式法去构造辅助函数
当然因为出现了两个函数,也不可以用微分方程的方法
所以只能使用分析法:全部移动到一边,进行分析

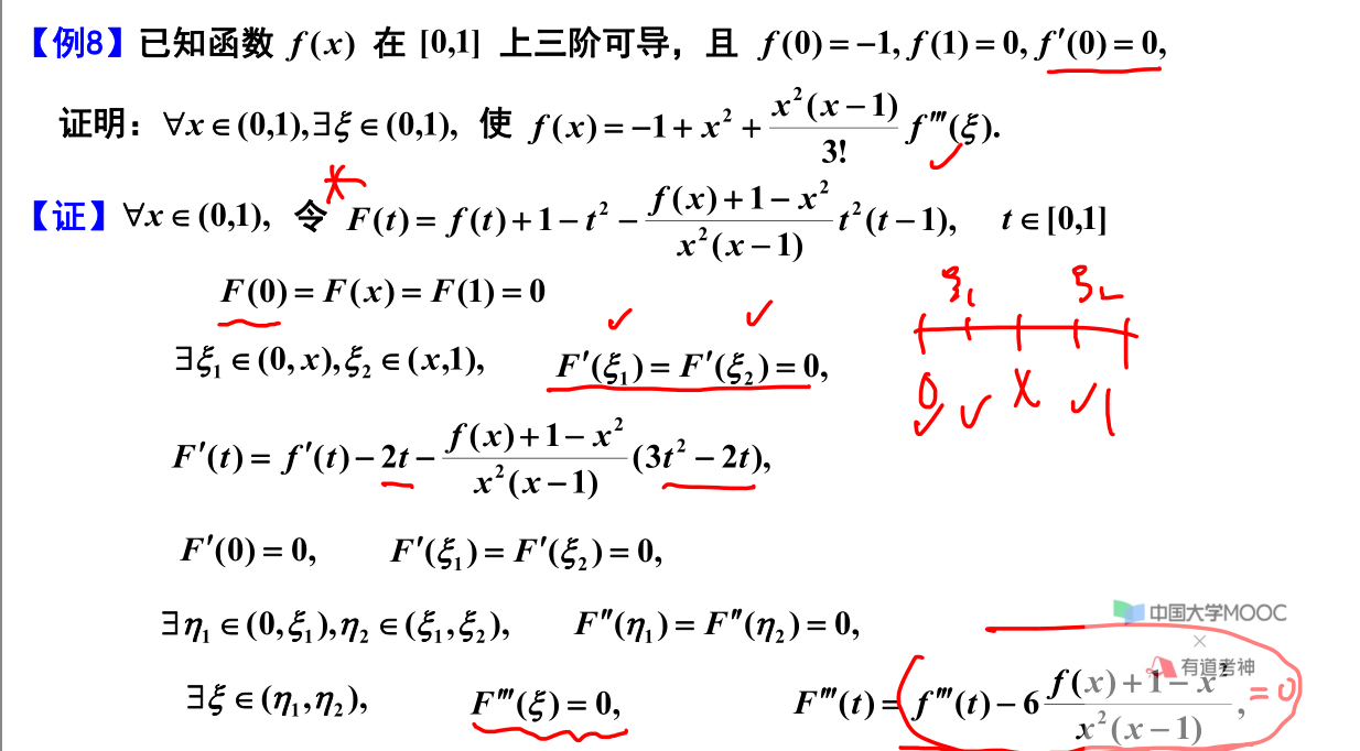
题目8(难)
出现高阶,证明的是等式,用罗尔定理,是不等式,用泰勒






微分(双)中值定理
必须出现两个不同中值点的一阶导数才能叫双中值
这种题,需要使用两次中值定理

题目1

- 要证明两个中值点的关系,而且不要求中值点不相等,所以想着用拉or柯西
- 左边想着变成除法的形式,这时候,要把它和原函数练习,对数求导,正好是x分之1的函数
题目2(也有一个中值的导数没有出现)

- 首先把两个中值点的函数分离到等号的两边
- 然后分析,到底使用拉or柯西

题目3


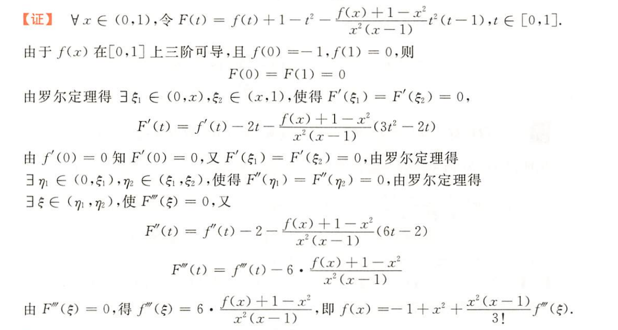
题目4(中值点不等的情况)

- 先假设一个点C,用逆推法,找出这个C点的值
- 然后用这点进行证明

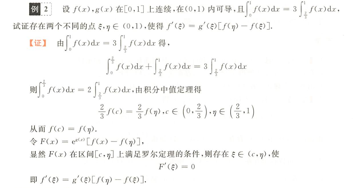
题目5(其他)
- 这道题中,其中一个中值点没有出现导数,所以说他不是双中值
- 对于单中值,全部移动到一边,构造辅助函数,用罗尔定理
- 这个辅助函数的构造方法要想到,g(x)的导数后面乘的那一部分的导数,正好是前一个式子,
- 所以说我们要想到公式法构造辅助函数的那种思路,f(x)的导数前面没有其他的东西,所以说就是用带e的那种形式构造。


本文详细探讨了微分中值定理在证明根的存在性和不等式中的应用。通过实例解析,展示了如何利用罗尔定理、拉格朗日中值定理和柯西中值定理解决相关证明题。解题方法包括构造辅助函数和分析函数性质。同时,文章强调了双中值定理的条件和使用技巧,如拉格朗日乘数法和逆推法。


5178

被折叠的 条评论
为什么被折叠?



