随着卷积神经网络深度的不断增加,训练的难度也在不断增大,同时会出现梯度消失的问题。而ResNet就是为了解决这些问题,它能够保证改造后的模型至少不会比原来的模型差。
残差网络模块:

我们可以看到输入传递到残差网络模块之后,会首先通过一些卷积操作,然后将其输出与原来的输入进行连接,得到残差网络的输出。这里要求,卷积之后的输出维度,要与原来输入的维度保持一致。
主要有两种方式:一种即简单地将X相对Y缺失的通道直接补零从而使其能够相对齐的方式,另一种则是通过使用1x1的conv从而使得最终输入与输出的通道达到一致的方式。(这里的加法是元素级相加,必须保证卷积的输出形状与原始输入形状一致)(通常采用第二种方式)
瓶颈结构:

为了实际计算的考虑,作者提出了一种bottleneck的结构块来代替常规的Resedual block,它像Inception网络那样通过使用1x1 conv来巧妙地缩减或扩张feature map维度从而使得我们的3x3 conv的filters数目不受外界即上一层输入的影响,自然它的输出也不会影响到下一层module。通过瓶颈结构,我们可以搭建ResNet网络。在ResNet网络中,主要存在两个模块:Conv Block、Identity Block。

可以看到两者之间的主要区别就是残差边有没有做操作,Conv Block的残差边做了卷积操作,因此它的输入和输出的维度是不一样的,我们不能用它进行连续的串联,它的主要功能就是来改变网络的维度。而Identity Block的残差边没有做操作,因此它的输入和输出的维度一致,主要的功能就是做连续的串联,增加网络的深度。
下面解释一下,为什么ResNet可以解决梯度消失的问题,为什么ResNet搭建模型的效果至少不会比原来的差:

上图,就是瓶颈结构

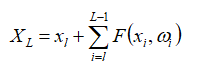
公式中的xl表示的是瓶颈结构的输入,XL表示的是瓶颈结构的输出,F(x)表示的是residual,它是一个普通的正向传播的过程。
输出是这两部分的和:H(x) = F(x)(就是residual)+ x(就是shortcut,此代码shortcut部分做了一次卷积,也可以不做)
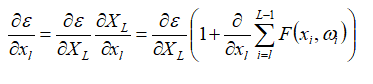
之所以可以避免梯度消失问题,是因为反向传播时,ε 代表的是 loss 方程,由链式求导法得:

从上图我们可以知道,即使residual部分的梯度为0,整个瓶颈机构的梯度也不会为0,从而避免的梯度消失的问题,而且使用瓶颈结构至少也不会比原来的模型效果差。
总结:从LeNet、AlexNet到VggNet以至GoogLeNet都是在不断的增加网络的深度来达到提高卷积神经网络的表达能力,但是随着网络的深度越来越深,模型的训练越来越难,而且一味地增加网络的深度并不能够进一步的带来性能的提升,反而会导致网络的收敛变得更慢。而ResNet主要就是解决了随着网络深度的加深,模型收敛难的问题,有了ResNet之后,训练一个更深层次的网络的不再是一个问题。
经典卷积神经网络之ResNet
最新推荐文章于 2025-03-26 14:00:00 发布
1949

被折叠的 条评论
为什么被折叠?



