本文意在介绍高斯正反算的基本原理和代码实现!针对高斯正反算网上给出的方法很多,但是我试了之后发现多少都有些问题:或公式原理问题、或精度问题!
通过查找资料对其进行了总结与测试!原理!代码!测试结果!本文都一一给出,此外本文还对常见坐标系:北京54、西安80、WGS84、CGCS2000等坐标系的高斯转换都做出了实现并使用 QT 进行封装可视化!
对比公式和代码实现可快速理解高斯正反算!
精度可达 0.0001!堪称最全公式原理总结!
坐标转换整套流程包括:像素坐标转投影坐标、投影坐标转大地坐标、大地坐标转空间直角坐标、七参数转换、空间直角坐标转大地坐标、大地坐标转投影坐标、投影坐标转像素坐标; 本人均已实现,且每一个环节都已经过测试、如有需要欢迎在下方留言评论!!!
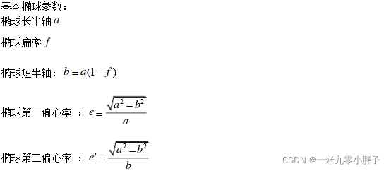
一、常用椭球参数
| 北京54坐标系 | 西安80坐标系 | WGS坐标系 | CGC2000坐标系 | |
| a | 6378245.0000000000 | 6378140.0000000000 | 6378137.0000000000 | 6378137.0000000000 |
| b | 6356863.0187730473 | 6356755.2881575287 | 6356752.3142 | 6356752.314 |
| f | 1/298.3 | 1/298.257 | 1/298.257223563 | 1/298.257222101 |
| c | 6399698.9017827110 | 6399596.6519880105 | 6399593.6258 | 6399593.6259 |
| e1 | 0.006693421622966 | 0.006694384999588 | 0.00669437999013 | 0.00669438002290 |
| e2 | 0.006738525414683 | 0.006739501819473 | 0.00673949674227 | 0.00673949677548 |

二、高斯正反算原理
1、高斯正算(大地坐标转投影坐标)


2、高斯反算(投影坐标转大地坐标)



三、高斯正反算代码实现
#include<iostream>
#include<cmath>
#include "stdio.h"
#define pi 3.141592653589793238463
#define p0 206264.8062470963551564
//wgs84参考椭球
const double e = 0.00669438002290;
const double e1 = 0.00673949677548;
const double b = 6356752.3141;
const double a = 6378137.0;
using namespace std;
//大地坐标转投影坐标
void DadiPoint2ProjectPoint(double B, double L)
{
//把度转化为弧度
B = B * pi / 180;
L = L * pi / 180;
double N, t, n, c, V, Xz, m1, m2, m3, m4, m5, m6, a0, a2, a4, a6, a8, M0, M2, M4, M6, M8, x0, y0, l;
int L_num;
double L_center;
//中央子午线经度,6°带
L_num = (int)(L * 180 / pi / 6.0) + 1;
L_center = 6 * L_num - 3;
//中央子午线经度,3°带
//L_num = (int)(L * 180 / pi / 3.0 + 0.5);
//L_center = 3 * L_num;
l = (L / pi * 180 - L_center) * 3600; //求带号、中央经线、经差
M0 = a * (1 - e);
M2 = 3.0 / 2.0 * e * M0;
M4 = 5.0 / 4.0 * e * M2;
M6 = 7.0 / 6.0 * e * M4;
M8 = 9.0 / 8.0 * e * M6;
a0 = M0 + M2 / 2.0 + 3.0 / 8.0 * M4 + 5.0 / 16.0 * M6 + 35.0 / 128.0 * M8;
a2 = M2 / 2.0 + M4 / 2 + 15.0 / 32.0 * M6 + 7.0 / 16.0 * M8;
a4 = M4 / 8.0 + 3.0 / 16.0 * M6 + 7.0 / 32.0 * M8;
a6 = M6 / 32.0 + M8 / 16.0;
a8 = M8 / 128.0;
Xz = a0 * B - a2 / 2.0 * sin(2 * B) + a4 / 4.0 * sin(4 * B) - a6 / 6.0 * sin(6 * B) + a8 / 8.0 * sin(8 * B); //计算子午线弧长
c = a * a / b;
V = sqrt(1 + e1 * cos(B) * cos(B));
N = c / V;
t = tan(B);
n = e1 * cos(B) * cos(B);
m1 = N * cos(B);
m2 = N / 2.0 * sin(B) * cos(B);
m3 = N / 6.0 * pow(cos(B), 3) * (1 - t * t + n);
m4 = N / 24.0 * sin(B) * pow(cos(B), 3) * (5 - t * t + 9 * n);
m5 = N / 120.0 * pow(cos(B), 5) * (5 - 18 * t * t + pow(t, 4) + 14 * n - 58 * n * t * t);
m6 = N / 720.0 * sin(B) * pow(cos(B), 5) * (61 - 58 * t * t + pow(t, 4));
x0 = Xz + m2 * l * l / pow(p0, 2) + m4 * pow(l, 4) / pow(p0, 4) + m6 * pow(l, 6) / pow(p0, 6);
y0 = m1 * l / p0 + m3 * pow(l, 3) / pow(p0, 3) + m5 * pow(l, 5) / pow(p0, 5); //计算x y坐标
double x = x0;
//double y = y0 + 500000 + 1000000 * L_num; //化为国家统一坐标
double y = y0 + 500000; //化为国家统一坐标
cout << "方法一 x=" << x << endl;
cout << "方法一 y=" << y << endl;
}
//投影坐标转大地坐标
void ProjectPoint2DadiPoint(double x, double y, double l0)
{
//l0为中央经度
double Bf, B0, FBf, M, N, V, t, n, c, y1, n1, n2, n3, n4, n5, n6, a0, a2, a4, a6, M0, M2, M4, M6, M8, l;
int L_num, L_center;
L_num = (int)(x / 1000000.0);
y1 = y - 500000;
//y1 = y - 500000 - L_num * 1000000;
//L_center = ((L_num + 1) * 6 - 3)*pi*180; //中央子午线经度,6°带
//cout<<"L_center="<<L_center<<endl;
//L_center = L_num * 3; //中央子午线经度,3°带
M0 = a * (1 - e);
M2 = 3.0 / 2.0 * e * M0;
M4 = 5.0 / 4.0 * e * M2;
M6 = 7.0 / 6.0 * e * M4;
M8 = 9.0 / 8.0 * e * M6;
a0 = M0 + M2 / 2.0 + 3.0 / 8.0 * M4 + 5.0 / 16.0 * M6 + 35.0 / 128.0 * M8;
a2 = M2 / 2.0 + M4 / 2 + 15.0 / 32.0 * M6 + 7.0 / 16.0 * M8;
a4 = M4 / 8.0 + 3.0 / 16.0 * M6 + 7.0 / 32.0 * M8;
a6 = M6 / 32.0 + M8 / 16.0;
cout << "a0=" << a0 << endl;
cout << "a2=" << a2 << endl;
cout << "a4=" << a4 << endl;
cout << "a6=" << a6 << endl;
Bf = x / a0;
B0 = Bf;
cout<<"B0="<<B0<<endl;
cout<<"sin(2 * B0)="<<sin(2 * B0)/2<<endl;
while ((fabs(Bf - B0) > 0.0000001) || (B0 == Bf))
{
B0 = Bf;
FBf = -a2 / 2.0 * sin(2 * B0) + a4 / 4.0 * sin(4 * B0) - a6 / 6.0 * sin(6 * B0);
Bf = (x - FBf) / a0;
} //迭代求数值为x坐标的子午线弧长对应的底点纬度
cout<<"Bf="<<Bf<<endl;
t = tan(Bf); //一样
c = a * a / b;
V = sqrt(1 + e1 * cos(Bf) * cos(Bf)); //一样
N = c / V; //一样
M = c / pow(V, 3); //一样
n = e1 * cos(Bf) * cos(Bf); //一样(为n的平方)
n1 = 1 / (N * cos(Bf));
n2 = -t / (2.0 * M * N);
n3 = -(1 + 2 * t * t + n) / (6.0 * pow(N, 3) * cos(Bf));
n4 = t * (5 + 3 * t * t + n - 9 * n * t * t) / (24.0 * M * pow(N, 3));
n5 = (5 + 28 * t * t + 24 * pow(t, 4) + 6 * n + 8 * n * t * t) / (120.0 * pow(N, 5) * cos(Bf));
n6 = -t * (61 + 90 * t * t + 45 * pow(t, 4)) / (720.0 * M * pow(N, 5));
//秒
double B = (Bf + n2 * y1 * y1 + n4 * pow(y1, 4) + n6 * pow(y1, 6)) / pi * 180;
double L0=l0;
l = n1 * y1 + n3 * pow(y1, 3) + n5 * pow(y1, 5);
//double L = L_center + l / pi * 180; //反算得大地经纬度
double L = L0 + l / pi * 180; //反算得大地经纬度
cout << "方法一 B=" << B << endl;
cout << "方法一 L=" << L << endl;
}
说明:高斯正算中的输入为度;
四、高斯正反算结果
1、已知旧坐标系投影坐标数据

2、高斯反算(投影坐标转大地坐标)

3、高斯正算(大地坐标转投影坐标)

说明:高斯正反算经度由上述转换结果对比可知;
常见坐标系:北京54、西安80、WGS84、CGCS2000等坐标系的高斯转换都做出了实现并使用 QT 进行封装可视化:高斯正反算设计实现!!!-C++文档类资源-CSDN下载
坐标转换整套流程包括:像素坐标转投影坐标、投影坐标转大地坐标、大地坐标转空间直角坐标、七参数转换、空间直角坐标转大地坐标、大地坐标转投影坐标、投影坐标转像素坐标; 本人均已实现,且每一个环节都已经过测试、如有需要欢迎在下方留言评论!!!
如果需要代码包,请在评论区留言!!!
如果需要代码包,请在评论区留言!!!
如果需要代码包,请在评论区留言!!!
1315

被折叠的 条评论
为什么被折叠?



