线面积分其实没那么难
笔者学习这部分内容的时候,恰逢新冠疫情导致在家上网课。众所周知as everyone knows,在家上网课=没上。所以我这部分就没学明白,当时爱玩LOL,边打游戏边看网课,玩着亚托克斯,老师讲着斯托克斯。后来等考研复习的时候,由于我基础没打好,对这部分内容的敬畏和恐惧也油然而生。当然,这部分每年考研都会出一道大题和一道小题,难度并不大,所以这些分数必须拿下。在这过程中对于我最初学习的困惑给出了自己的想法。
什么叫曲线曲面积分,跟二重、三重积分有什么差别
当我们学完重积分之后开始学线面积分的时候,我们可能一脸懵逼。这怎么被积函数和被积区域长得这么像?被积区域是啥?为啥线面积分能把方程带入进被积函数里?这些疑问都会导致我们对这部分知识理解出现模糊。实际上我们只需要把握住两个部分:①积分区间的几何形状②被积元素。
对于一重积分来说
∫
a
b
f
(
x
)
d
x
\int_{a}^{b} f(x)dx
∫abf(x)dx
积分区间表示一条沿x轴的直线从x=a变化到x=b,x可以存在这条直线上任何一点。dx表示单变量x变化。对于极坐标
d
r
dr
dr和
d
θ
d\theta
dθ,都是一样的。
对于二重积分来说
∬
D
x
y
f
(
x
,
y
)
d
σ
\iint\limits_{D_{xy}}^{} f(x,y)d\sigma
Dxy∬f(x,y)dσ
积分区间表示
D
x
y
D_{}xy
Dxy所构成的几何图形平面,
(
x
,
y
)
(x,y)
(x,y)可以存在这个平面内任何一点。
d
σ
d\sigma
dσ表示被积元素是一个微小面积,见课本的描述

所以
d
σ
d\sigma
dσ也就看成dxdy,我们需要积分两次。
对于三重积分来说
∭
Ω
x
y
z
f
(
x
,
y
,
z
)
d
ν
\iiint\limits_{\Omega_{xyz} }^{}f(x,y,z)d\nu
Ωxyz∭f(x,y,z)dν
积分区间表示在
Ω
x
y
z
\Omega_{xyz}
Ωxyz所表示的空间几何体,
(
x
,
y
,
z
)
(x,y,z)
(x,y,z)可以存在这个空间几何体内的任何一点。
d
ν
d\nu
dν表示被积元素是一个小几何体,见课本描述

所以我们对dxdydz积分共三次。
总结一下:一重积分的积分区域是一条线,二重积分的积分区域是一个平面,三重积分的积分区域是一个几何体的内部,而不仅是表面。
那么曲线积分就是将一重积分的积分区域从直线变成了曲线;曲面积分就是将二重积分的积分区域从平面变成了曲面。
为啥有时候能把方程代入被积函数?
For example:

大家考虑一下①和②哪一个可以把
x
2
+
y
2
=
1
x^2+y^2=1
x2+y2=1代入被积函数?
在做题的时候,大家可能会疑惑:为啥有时候被积区域的方程可以代入被积函数,有时候不能代入?
这其实是由于被积变量所存在的位置决定。
当我们计算二重积分,三重积分的时候,此时(x,y)或者(x,y,z)是分布在平面内或者几何体内,而不是局限在平面的外边缘和几何体的外表面。就上面的例子来说,(x,y)不仅位于
x
2
+
y
2
=
1
x^2+y^2=1
x2+y2=1上,还在
x
2
+
y
2
<
1
x^2+y^2<1
x2+y2<1这个平面内,那么在
D
x
y
D_{xy}
Dxy内
x
2
+
y
2
=
1
x^2+y^2=1
x2+y2=1就不是恒成立的,就不可以代入。
而在计算曲面曲线积分的时候,此时(x,y)或者(x,y,z)是分布在曲线、曲面上,也就是说,(x,y)恒满足
x
2
+
y
2
=
1
x^2+y^2=1
x2+y2=1,这个时候就可以把方程代入啦。
dS和dxdy、dydz、dxdz有啥关系
在曲线积分中,因为被积元素是ds,即一段微小弧长,而在第三章微分中我们知道
弧微分的关系式
d
s
=
1
+
f
′
(
x
)
2
d
x
ds=\sqrt{1+{f'(x)^2}} dx
ds=1+f′(x)2dx
那么我们就可以将难以计算的ds给转换为易于计算的dx了。
那么dS是什么呢?跟
d
σ
d\sigma
dσ有啥区别?跟dxdy、dydz、dxdz有啥关系?
由前面我们知道
d
σ
=
d
x
d
y
d\sigma =dxdy
dσ=dxdy,因为
σ
\sigma
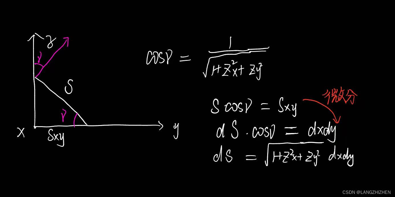
σ是在一个xOy平面内被积区域中的一个微小平面区域。而曲面积分的被积区域是一个曲面,那么dS就是在这个曲面上的一个微小曲面区域。既然dS不是平面,那么就跟在xOy面上的dxdy肯定不相等了。但微积分注重一个“以直代曲”,我们就取一个十分微小的矩形dS,这时候虽然dS不和xOy面平行,但也是一个小平面,只不过两者之间有一定的角度。这个偏转就是关于z的方向余弦。换句话说,dxdy就是dS在xOy面的投影。

那么这里为啥是
1
+
z
x
2
+
z
y
2
\sqrt{1+z_x^2+z_y^2}
1+zx2+zy2,我们可以这样理解:存在一个垂直于yOz面的平面,我们从x的正方向往负方向看去,这个平面就变成了一条直线:

这个时候平面的面积S和平面在xOy面投影的面积Sxy的数量关系就显而易见了。这只是举了个特例进行验证,严格证明我也不清楚,可以参考相关资料~
而dydz和dxdz也是同样的理解,我就不再赘述了。
如何判断线面积分的奇偶性和轮换对称性

这道题怎么做呢?看我的手法

相信大家写到这里之后就傻眼了:这被积函数跟方程P关系没有,没法直接代入式子了。然后开始采用一般的方法
∫
a
b
(
x
2
+
4
x
y
+
4
y
2
)
1
+
f
′
(
x
)
2
d
x
\int_{a}^{b} (x^2+4xy+4y^2)\sqrt{1+{f'(x)}^2}dx
∫ab(x2+4xy+4y2)1+f′(x)2dx
结果这式子复杂的一P,这题感觉寄了。。要我说,这样做你就慢了。
这部分出题的时候,你积了半天发现式子太复杂没法做,一边骂破题一边翻开答案发现,人家利用奇偶性和轮换对称性化简了式子,题目立马明朗起来。而你只会悔恨当初自己为什么没想到······
做题的时候养成习惯,先看看有没有能利用奇偶性和轮换对称性的,尤其被积区域是一个圆、球、锥、柱体。
首先是奇偶性
奇偶性是指被积区域关于某个轴对称(
L
:
x
2
+
y
2
=
1
L:x^2+y^2 = 1
L:x2+y2=1),而被积函数正好关于这个变量是奇函数(
f
(
x
)
=
x
y
f(x) =xy
f(x)=xy),那么
∮
L
f
(
x
)
d
s
=
0
\oint_{L}^{}f(x)ds=0
∮Lf(x)ds=0
若被积函数关于这个变量是偶函数(
f
(
x
)
=
x
2
y
f(x)=x^2y
f(x)=x2y),那么
∮
L
f
(
x
)
d
s
=
2
∮
L
′
f
(
x
)
d
s
其中
L
’:
{
x
2
+
y
2
=
1
x
≥
0
\oint_{L}^{}f(x)ds=2\oint_{L'}^{}f(x)ds \\ 其中L’:\begin{cases} x^2+y^2=1 \\ x \ge 0 \end{cases} \\
∮Lf(x)ds=2∮L′f(x)ds其中L’:{x2+y2=1x≥0
总之要利用奇偶性,被积区域必须是关于某个轴对称,再去考虑被积函数的奇偶性。
而轮换对称性是更更更重要的,因为它能化简一些看似很难算的积分,就比如说上面的那道题目。
那么啥是轮换对称性?
若
f
(
x
,
y
)
=
f
(
y
,
x
)
,说明
f
(
x
,
y
)
关于
x
,
y
有轮换对称性。
若f(x,y)=f(y,x),说明f(x,y)关于x,y有轮换对称性。\\
若f(x,y)=f(y,x),说明f(x,y)关于x,y有轮换对称性。
只要把方程的两个参数交换位置,而方程形式不变,就说明这两个参数有轮换对称性。
同样的,轮换对称性也是用被积区间所决定的。当积分区间容易表示,如一个平面关于y=x对称,那么就说明x,y具有轮换对称性
∬
f
(
x
,
y
)
d
x
d
y
=
∬
f
(
y
,
x
)
d
x
d
y
=
1
2
∬
[
f
(
x
,
y
)
+
f
(
y
,
x
)
]
d
x
d
y
\iint f(x,y)dxdy=\iint f(y,x)dxdy=\frac{1}{2} \iint [f(x,y)+f(y,x)]dxdy
∬f(x,y)dxdy=∬f(y,x)dxdy=21∬[f(x,y)+f(y,x)]dxdy
如果积分区间不容易表示或画出来,就比如说上面的交线方程
{
x
2
+
y
2
+
z
2
=
1
x
+
y
+
z
=
0
\begin{cases} x^2+y^2+z^2=1\\ x+y+z=0 \end{cases}
{x2+y2+z2=1x+y+z=0
我们就可以试着两两对换一下方程里的x,y,z,观察对换后的方程和原来是否相同,这也可以说明具有轮换对称性。
那么很显然了,本题x,y,z两两都具有轮换对称性。

大家可以严格按照轮换对称性的定义,去分析上面步骤是如何得出来的,至此我们就可以把方程给代入进被积函数啦~~~
提两个小问题:
1. 为啥 ∮ x 2 d s = ∮ x 2 d s = ∮ z 2 d s 1.为啥 \oint x^2ds=\oint x^2ds=\oint z^2ds 1.为啥∮x2ds=∮x2ds=∮z2ds
2. 为啥 ∮ x y d s = ∮ x z d s = ∮ y z d s 2.为啥 \oint xyds=\oint xzds=\oint yzds 2.为啥∮xyds=∮xzds=∮yzds
小tip:
通常我们做这部分题目需要画图,因为我们如果能直观的感受到这个图形,对做题是非常有帮助的。但碍于我们的空间想象的能力缺乏以及图形的复杂,我们并不能完整的画出来交线或者截面。但我们可以定性的分析一下:
{
x
2
+
y
2
+
z
2
=
1
x
+
y
+
z
=
0
\begin{cases} x^2+y^2+z^2=1\\ x+y+z=0 \end{cases}
{x2+y2+z2=1x+y+z=0
以这个方程为例,是由一个球面和一个平面相交截得的一条曲线。那么我们能得到什么呢?
- 平面过原点,那么曲线的周长即为球体最大截面圆的周长
- 曲线是球体的曲线,截面是平面的截面
- 球体约束了曲线的投影;平面约束了截面的方向余弦
- 坐标面投影是一个椭圆
- ······
文字很多,但都是我自己所总结和思考的一些东西。我觉得课本是用来查漏补缺的,我们在一轮复习的时候很多东西都是只重视计算过程,没注重概念的理解。在二轮复习的时候理所当然会有很多的疑问,这时候我们再回归课本,有着一轮的基础以后我们对课本的认识也会更加的深刻。所以我在写博客的时候会时不时翻阅课本,有些内容也是直接来自课本,这样才能对知识的理解上升一个维度。
大家如果觉得不错,下周开级数的坑。最近做题被级数折磨的头疼,下周必须给它拿下!!!
2023.1.3更新
终于考完了,发现电脑里有之前做的思维导图

本文详细解析了线面积分与曲面积分的概念,通过对比一重、二重和三重积分,阐述了积分区间和被积元素的变化。讨论了何时可以将方程代入被积函数,并介绍了奇偶性和轮换对称性在简化计算中的应用。同时,提出了理解和掌握线面积分的关键在于理解积分区域的几何形状及被积元素。此外,文章还分享了如何利用图形性质辅助解题的小技巧。
7831

被折叠的 条评论
为什么被折叠?



