11、Semantic-NeRF

简介

项目主页

论文链接

视频连接

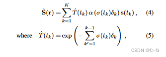
Semantic-NeRF原论文名为《In-Place Scene Labelling and Understanding with Implicit Scene Representation》,首次提出将语义信息加入NeRF,实现了纹理、几何与语义信息的联合隐表征。论文的核心出发点在于证明了三维隐表征自身具备的连续性和多视角一致性使得Semantic-NeRF仅依靠稀疏/带噪声的语义标签,便能获得准确的室内语义标注和理解。论文方法并不复杂,就是在MLP网络上加了一路‎语义‎的输出,然后仿照颜色的积分方式对Semantic进行积分,如下图所示
在这里插入图片描述
在这里插入图片描述

评论 1
成就一亿技术人!
拼手气红包6.0元
还能输入1000个字符
 
红包 添加红包
表情包 插入表情
 条评论被折叠 查看
添加红包

请填写红包祝福语或标题

红包个数最小为10个

红包金额最低5元

当前余额3.43前往充值 >
需支付:10.00
成就一亿技术人!
领取后你会自动成为博主和红包主的粉丝 规则
hope_wisdom
发出的红包
实付
使用余额支付
点击重新获取
扫码支付
钱包余额 0

抵扣说明:

1.余额是钱包充值的虚拟货币,按照1:1的比例进行支付金额的抵扣。
2.余额无法直接购买下载,可以购买VIP、付费专栏及课程。

余额充值