12-1 什么是决策树




Notbook 示例
疑问:改变max_features 的值,图像具有一定随机性



notbook 源码
[1]
import numpy as np
import matplotlib.pyplot as plt
[2]
from sklearn import datasets
iris = datasets.load_iris()
X = iris.data[:,2:]
y = iris.target
[3]
plt.scatter(X[y==0,0], X[y==0,1])
plt.scatter(X[y==1,0], X[y==1,1])
plt.scatter(X[y==2,0], X[y==2,1])
<matplotlib.collections.PathCollection at 0x2728e9a1ee0>
[4]
from sklearn.tree import DecisionTreeClassifier
dt_clf = DecisionTreeClassifier(max_depth=2,max_features=2, criterion='entropy')
dt_clf.fit(X,y)
DecisionTreeClassifier(criterion='entropy', max_depth=2, max_features=2)
[5]
def plot_decision_boundary(model, axis):
x0, x1 = np.meshgrid(
np.linspace(axis[0], axis[1], int((axis[1]-axis[0])*100)).reshape(-1,1),
np.linspace(axis[2], axis[3], int((axis[3]-axis[2])*100)).reshape(-1,1)
)
X_new = np.c_[x0.ravel(), x1.ravel()]
y_predict = model.predict(X_new)
zz = y_predict.reshape(x0.shape)
from matplotlib.colors import ListedColormap
custom_cmap = ListedColormap(['#EF9A9A','#FFF59D','#90CAF9'])
plt.contourf(x0, x1, zz, linewidth=5, cmap=custom_cmap)
[6]
plot_decision_boundary(dt_clf, axis=[0.5,7.5,0,3])
plt.scatter(X[y==0,0], X[y==0,1])
plt.scatter(X[y==1,0], X[y==1,1])
plt.scatter(X[y==2,0], X[y==2,1])
C:\Users\Administrator\AppData\Local\Temp\ipykernel_15136\3130018029.py:15: UserWarning: The following kwargs were not used by contour: 'linewidth'
plt.contourf(x0, x1, zz, linewidth=5, cmap=custom_cmap)
<matplotlib.collections.PathCollection at 0x2728f874df0>
[7]
dt_clf2 = DecisionTreeClassifier(max_depth=2,max_features=1, criterion='entropy')
dt_clf.fit(X,y)
plot_decision_boundary(dt_clf, axis=[0.5,7.5,0,3])
plt.scatter(X[y==0,0], X[y==0,1])
plt.scatter(X[y==1,0], X[y==1,1])
plt.scatter(X[y==2,0], X[y==2,1])
C:\Users\Administrator\AppData\Local\Temp\ipykernel_15136\3130018029.py:15: UserWarning: The following kwargs were not used by contour: 'linewidth'
plt.contourf(x0, x1, zz, linewidth=5, cmap=custom_cmap)
<matplotlib.collections.PathCollection at 0x2728f2036a0>
12-2 信息熵







Notbook 示例

Notbook 源码
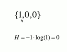
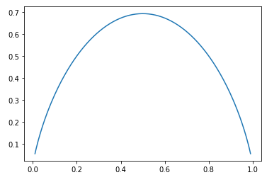
信息熵
[2]
import numpy as np
import matplotlib.pyplot as plt
[6]
def entropy(p):
return -p * np.log(p) - (1-p) * np.log(1-p)
[7]
X = np.linspace(0.01, 0.99, 200)
[8]
plt.plot(X,entropy(X))
[<matplotlib.lines.Line2D at 0x2c50e4f70a0>]
12-3 使用信息熵寻找最优划分
Notbook 示例

Notbook 源码
使用信息熵寻找最优划分
[1]
import numpy as np
import matplotlib.pyplot as plt
[2]
from sklearn import datasets
iris = datasets.load_iris()
X = iris.data[:,2:]
y = iris.target
[3]
from sklearn.tree import DecisionTreeClassifier
dt_clf = DecisionTreeClassifier(max_depth=2,max_features=2, criterion='entropy')
dt_clf.fit(X,y)
DecisionTreeClassifier(criterion='entropy', max_depth=2, max_features=2)
[4]
def plot_decision_boundary(model, axis):
x0, x1 = np.meshgrid(
np.linspace(axis[0], axis[1], int((axis[1]-axis[0])*100)).reshape(-1,1),
np.linspace(axis[2], axis[3], int((axis[3]-axis[2])*100)).reshape(-1,1)
)
X_new = np.c_[x0.ravel(), x1.ravel()]
y_predict = model.predict(X_new)
zz = y_predict.reshape(x0.shape)
from matplotlib.colors import ListedColormap
custom_cmap = ListedColormap(['#EF9A9A','#FFF59D','#90CAF9'])
plt.contourf(x0, x1, zz, linewidth=5, cmap=custom_cmap)
[5]
plot_decision_boundary(dt_clf, axis=[0.5,7.5,0,3])
plt.scatter(X[y==0,0], X[y==0,1])
plt.scatter(X[y==1,0], X[y==1,1])
plt.scatter(X[y==2,0], X[y==2,1])
C:\Users\Administrator\AppData\Local\Temp\ipykernel_13528\3130018029.py:15: UserWarning: The following kwargs were not used by contour: 'linewidth'
plt.contourf(x0, x1, zz, linewidth=5, cmap=custom_cmap)
<matplotlib.collections.PathCollection at 0x20ab8e898e0>
模拟使用信息熵进行划分
[6]
def split(X, y, d, value):
index_a = (X[:,d] <= value)
index_b = (X[:,d] > value)
return X[index_a], X[index_b], y[index_a],y[index_b]
[7]
from collections import Counter
from math import log
def entropy(y):
counter = Counter(y)
res = 0.0
for num in counter.values():
p = num / len(y)
res += -p * log(p)
return res
def try_split(X, y):
best_entropy = float('inf')
best_d, best_v = -1,1
for d in range(X.shape[1]):
sorted_index = np.argsort(X[:,d])
for i in range(1,len(X)):
if X[sorted_index[i-1],d] != X[sorted_index[i],d]:
v = (X[sorted_index[i-1], d] + X[sorted_index[i], d]) / 2
X_l, X_r, y_l, y_r = split(X, y, d, v)
e = entropy(y_l) + entropy(y_r)
if e< best_entropy:
best_entropy, best_d,best_v = e, d, v
return best_entropy, best_d,best_v
[8]
try_split(X,y)
(0.6931471805599453, 0, 2.45)
[9]
best_entropy, best_d, best_v = try_split(X,y)
print('best_entropy = ', best_entropy)
print("best_d = ", best_d)
print("best_v = ",best_v)
best_entropy = 0.6931471805599453
best_d = 0
best_v = 2.45
[10]
X1_l, X1_r, y1_l, y1_r = split(X, y, best_d, best_v)
[11]
entropy(y1_l)
0.0
[12]
entropy(y1_r)
0.6931471805599453
[13]
best_entropy2, best_d2, best_v2 = try_split(X1_r,y1_r)
print('best_entropy2 = ', best_entropy2)
print("best_d2 =", best_d2)
print("best_v =", best_v2)
best_entropy2 = 0.4132278899361904
best_d2 = 1
best_v = 1.75
[14]
X2_l, X2_r, y2_l, y2_r = split(X1_r, y1_r, best_d2, best_v2)
[15]
entropy(y2_l)
0.30849545083110386
[16]
entropy(y2_r)
0.10473243910508653
12-4 基尼系数



Notbook 示例

Notbook 源码
基尼系数
[1]
import numpy as np
import matplotlib.pyplot as plt
[2]
from sklearn import datasets
iris = datasets.load_iris()
X = iris.data[:,2:]
y = iris.target
[3]
from sklearn.tree import DecisionTreeClassifier
dt_clf = DecisionTreeClassifier(max_depth=2, max_features=2,criterion='gini')
dt_clf.fit(X,y)
DecisionTreeClassifier(max_depth=2, max_features=2)
[4]
def plot_decision_boundary(model, axis):
x0, x1 = np.meshgrid(
np.linspace(axis[0], axis[1], int((axis[1]-axis[0])*100)).reshape(-1,1),
np.linspace(axis[2], axis[3], int((axis[3]-axis[2])*100)).reshape(-1,1)
)
X_new = np.c_[x0.ravel(), x1.ravel()]
y_predict = model.predict(X_new)
zz = y_predict.reshape(x0.shape)
from matplotlib.colors import ListedColormap
custom_cmap = ListedColormap(['#EF9A9A','#FFF59D','#90CAF9'])
plt.contourf(x0, x1, zz, linewidth=5, cmap=custom_cmap)
[5]
plot_decision_boundary(dt_clf, axis=[0.5,7.5,0,3])
plt.scatter(X[y==0,0], X[y==0,1])
plt.scatter(X[y==1,0], X[y==1,1])
plt.scatter(X[y==2,0], X[y==2,1])
C:\Users\Administrator\AppData\Local\Temp\ipykernel_2040\3130018029.py:15: UserWarning: The following kwargs were not used by contour: 'linewidth'
plt.contourf(x0, x1, zz, linewidth=5, cmap=custom_cmap)
<matplotlib.collections.PathCollection at 0x209ca6737c0>
模拟使用基尼系数划分
[6]
from collections import Counter
from math import log
def split(X, y, d, value):
index_a = (X[:,d] <= value)
index_b = (X[:,d] > value)
return X[index_a], X[index_b], y[index_a], y[index_b]
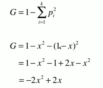
def gini(y):
counter = Counter(y)
res = 1.0
for num in counter.values():
p = num / len(y)
res -= p **2
return res
def try_split(X, y):
best_g = float('inf')
best_d, best_v = -1,1
for d in range(X.shape[1]):
sorted_index = np.argsort(X[:,d])
for i in range(1,len(X)):
if X[sorted_index[i-1],d] != X[sorted_index[i],d]:
v = (X[sorted_index[i-1], d] + X[sorted_index[i], d]) / 2
X_l, X_r, y_l, y_r = split(X, y, d, v)
g = gini(y_l) + gini(y_r)
if g < best_g:
best_g, best_d, best_v = g, d, v
return best_g, best_d, best_v
[7]
best_entropy, best_d, best_v = try_split(X,y)
print('best_g = ', best_entropy)
print("best_d = ", best_d)
print("best_v = ",best_v)
best_g = 0.5
best_d = 0
best_v = 2.45
[8]
X1_l, X1_r, y1_l, y1_r = split(X, y, best_d, best_v)
[9]
gini(y1_l)
0.0
[10]
gini(y1_r)
0.5
[11]
best_g2, best_d2, best_v2 = try_split(X1_r,y1_r)
print('best_g2 = ', best_g2)
print("best_d2 =", best_d2)
print("best_v =", best_v2)
best_g2 = 0.2105714900645938
best_d2 = 1
best_v = 1.75
[12]
X2_l, X2_r, y2_l, y2_r = split(X1_r, y1_r, best_d2, best_v2)
[13]
gini(y2_l)
0.1680384087791495
[14]
gini(y2_r)
0.04253308128544431
12-5 CART与决策树中的超参数




Notbook 示例

Notbook 源码
CART 和 决策树中的超参数
[1]
import numpy as np
import matplotlib.pyplot as plt
[2]
from sklearn import datasets
X,y = datasets.make_moons(noise=0.25,random_state=666)
[3]
plt.scatter(X[y==0,0], X[y==0,1])
plt.scatter(X[y==1,0], X[y==1,1])
<matplotlib.collections.PathCollection at 0x1ac3b9a9160>
[4]
from sklearn.tree import DecisionTreeClassifier
dt_clf = DecisionTreeClassifier()
dt_clf.fit(X,y)
DecisionTreeClassifier()
[5]
def plot_decision_boundary(model, axis):
x0, x1 = np.meshgrid(
np.linspace(axis[0], axis[1], int((axis[1]-axis[0])*100)).reshape(-1,1),
np.linspace(axis[2], axis[3], int((axis[3]-axis[2])*100)).reshape(-1,1)
)
X_new = np.c_[x0.ravel(), x1.ravel()]
y_predict = model.predict(X_new)
zz = y_predict.reshape(x0.shape)
from matplotlib.colors import ListedColormap
custom_cmap = ListedColormap(['#EF9A9A','#FFF59D','#90CAF9'])
plt.contourf(x0, x1, zz, linewidth=5, cmap=custom_cmap)
[6]
plot_decision_boundary(dt_clf, axis=[-1.5, 2.5, -2.0, 1.5])
plt.scatter(X[y==0,0], X[y==0,1])
plt.scatter(X[y==1,0], X[y==1,1])
C:\Users\Administrator\AppData\Local\Temp\ipykernel_440\3130018029.py:15: UserWarning: The following kwargs were not used by contour: 'linewidth'
plt.contourf(x0, x1, zz, linewidth=5, cmap=custom_cmap)
<matplotlib.collections.PathCollection at 0x1ac3c30a280>
[7]
dt_clf2 = DecisionTreeClassifier(max_depth=2)
dt_clf2.fit(X,y)
plot_decision_boundary(dt_clf2, axis=[-1.5, 2.5, -2.0, 1.5])
plt.scatter(X[y==0,0], X[y==0,1])
plt.scatter(X[y==1,0], X[y==1,1])
C:\Users\Administrator\AppData\Local\Temp\ipykernel_440\3130018029.py:15: UserWarning: The following kwargs were not used by contour: 'linewidth'
plt.contourf(x0, x1, zz, linewidth=5, cmap=custom_cmap)
<matplotlib.collections.PathCollection at 0x1ac3be96f70>
[8]
dt_clf3 = DecisionTreeClassifier(min_samples_split=10)
dt_clf3.fit(X,y)
plot_decision_boundary(dt_clf3, axis=[-1.5, 2.5, -2.0, 1.5])
plt.scatter(X[y==0,0], X[y==0,1])
plt.scatter(X[y==1,0], X[y==1,1])
C:\Users\Administrator\AppData\Local\Temp\ipykernel_440\3130018029.py:15: UserWarning: The following kwargs were not used by contour: 'linewidth'
plt.contourf(x0, x1, zz, linewidth=5, cmap=custom_cmap)
<matplotlib.collections.PathCollection at 0x1ac3bed7f10>
[9]
dt_clf4 = DecisionTreeClassifier(min_samples_leaf=6)
dt_clf4.fit(X,y)
plot_decision_boundary(dt_clf4, axis=[-1.5, 2.5, -2.0, 1.5])
plt.scatter(X[y==0,0], X[y==0,1])
plt.scatter(X[y==1,0], X[y==1,1])
C:\Users\Administrator\AppData\Local\Temp\ipykernel_440\3130018029.py:15: UserWarning: The following kwargs were not used by contour: 'linewidth'
plt.contourf(x0, x1, zz, linewidth=5, cmap=custom_cmap)
<matplotlib.collections.PathCollection at 0x1ac3bf1ff10>
[10]
dt_clf5 = DecisionTreeClassifier(max_leaf_nodes=4)
dt_clf5.fit(X,y)
plot_decision_boundary(dt_clf5, axis=[-1.5, 2.5, -2.0, 1.5])
plt.scatter(X[y==0,0], X[y==0,1])
plt.scatter(X[y==1,0], X[y==1,1])
C:\Users\Administrator\AppData\Local\Temp\ipykernel_440\3130018029.py:15: UserWarning: The following kwargs were not used by contour: 'linewidth'
plt.contourf(x0, x1, zz, linewidth=5, cmap=custom_cmap)
<matplotlib.collections.PathCollection at 0x1ac3bfa26d0>
12-6 决策树解决回归问题




Notbook 示例

Notbook 源码
决策树解决回归问题
[1]
import numpy as np
import matplotlib.pyplot as plt
[2]
from sklearn import datasets
boston = datasets.load_boston()
X = boston.data
y = boston.target
F:\anaconda\lib\site-packages\sklearn\utils\deprecation.py:87: FutureWarning: Function load_boston is deprecated; `load_boston` is deprecated in 1.0 and will be removed in 1.2.
The Boston housing prices dataset has an ethical problem. You can refer to
the documentation of this function for further details.
The scikit-learn maintainers therefore strongly discourage the use of this
dataset unless the purpose of the code is to study and educate about
ethical issues in data science and machine learning.
In this special case, you can fetch the dataset from the original
source::
import pandas as pd
import numpy as np
data_url = "http://lib.stat.cmu.edu/datasets/boston"
raw_df = pd.read_csv(data_url, sep="\s+", skiprows=22, header=None)
data = np.hstack([raw_df.values[::2, :], raw_df.values[1::2, :2]])
target = raw_df.values[1::2, 2]
Alternative datasets include the California housing dataset (i.e.
:func:`~sklearn.datasets.fetch_california_housing`) and the Ames housing
dataset. You can load the datasets as follows::
from sklearn.datasets import fetch_california_housing
housing = fetch_california_housing()
for the California housing dataset and::
from sklearn.datasets import fetch_openml
housing = fetch_openml(name="house_prices", as_frame=True)
for the Ames housing dataset.
warnings.warn(msg, category=FutureWarning)
[3]
from sklearn.model_selection import train_test_split
X_train, X_test, y_train, y_test = train_test_split(X,y, random_state=666)
Decision Tree Regression
[5]
from sklearn.tree import DecisionTreeRegressor
dt_reg = DecisionTreeRegressor()
dt_reg.fit(X_train,y_train)
DecisionTreeRegressor()
[6]
dt_reg.score(X_test,y_test)
0.6892800402527158
[7]
dt_reg.score(X_train,y_train)
1.0
12-7 决策树的局限性







Notbook 示例

Notbook 源码
决策树的局限性
[1]
import numpy as np
import matplotlib.pyplot as plt
[2]
from sklearn import datasets
iris = datasets.load_iris()
X = iris.data[:,2:]
y = iris.target
[3]
from sklearn.tree import DecisionTreeClassifier
tree_clf = DecisionTreeClassifier(max_depth=2,max_features=1, criterion='entropy')
tree_clf.fit(X,y)
DecisionTreeClassifier(criterion='entropy', max_depth=2, max_features=1)
[4]
def plot_decision_boundary(model, axis):
x0, x1 = np.meshgrid(
np.linspace(axis[0], axis[1], int((axis[1]-axis[0])*100)).reshape(-1,1),
np.linspace(axis[2], axis[3], int((axis[3]-axis[2])*100)).reshape(-1,1)
)
X_new = np.c_[x0.ravel(), x1.ravel()]
y_predict = model.predict(X_new)
zz = y_predict.reshape(x0.shape)
from matplotlib.colors import ListedColormap
custom_cmap = ListedColormap(['#EF9A9A','#FFF59D','#90CAF9'])
plt.contourf(x0, x1, zz, linewidth=5, cmap=custom_cmap)
[5]
plot_decision_boundary(tree_clf, axis=[0.5,7.5,0,3])
plt.scatter(X[y==0,0], X[y==0,1])
plt.scatter(X[y==1,0], X[y==1,1])
plt.scatter(X[y==2,0], X[y==2,1])
C:\Users\Administrator\AppData\Local\Temp\ipykernel_17836\3130018029.py:15: UserWarning: The following kwargs were not used by contour: 'linewidth'
plt.contourf(x0, x1, zz, linewidth=5, cmap=custom_cmap)
<matplotlib.collections.PathCollection at 0x1b8f722d8e0>
[6]
X_new = np.delete(X, 138, axis=0)
y_new = np.delete(y, 138)
[7]
X_new.shape
(149, 2)
[8]
y_new.shape
(149,)
[9]
tree_clf2 = DecisionTreeClassifier(max_depth=2,criterion='entropy')
tree_clf2.fit(X_new,y_new)
DecisionTreeClassifier(criterion='entropy', max_depth=2)
[10]
plot_decision_boundary(tree_clf2, axis=[0.5,7.5,0,3])
plt.scatter(X[y==0,0], X[y==0,1])
plt.scatter(X[y==1,0], X[y==1,1])
plt.scatter(X[y==2,0], X[y==2,1])
C:\Users\Administrator\AppData\Local\Temp\ipykernel_17836\3130018029.py:15: UserWarning: The following kwargs were not used by contour: 'linewidth'
plt.contourf(x0, x1, zz, linewidth=5, cmap=custom_cmap)
<matplotlib.collections.PathCollection at 0x1b8f6bba6a0>