电压比较器——大疆2026硬件笔试题

前言

这段时间正好处于秋招,前几天看到一篇关于电压比较器的文章,没想到后面网上就看到大疆今年的硬件笔试就是这个题。

让AI分析后,具体计算过程如下:

下面,我们自己从头分析一下,学习一些相关的知识

一、什么是电压比较器

1.定义

电压比较器是一种模拟电路器件,核心功能是将两个输入电压进行比较,并根据比较结果输出一个高电平或低电平的数字信号(即 “判断” 哪个输入电压更高)。

当同相输入端电压(V₊)> 反相输入端电压(V₋)时,输出高电平(通常接近电源正电压 Vcc); 当 V₊ < V₋时,输出低电平(通常接近电源地 GND 或负电压 Vee)。

2.应用场景

电压比较器是连接模拟信号和数字信号的 “桥梁”,广泛用于需要 “判断阈值” 或 “信号整形” 的场景

  1. 电平检测

    • 检测电池电压是否低于阈值(如电池欠压保护:当电池电压 < 3V 时,比较器输出低电平,触发报警)。

    • 检测环境传感器信号(如光敏电阻电压超过某值时,判断为 “光线过强”,控制路灯关闭)。

  2. 信号整形

    • 将不规则的模拟信号(如正弦波、三角波)转换为标准的数字脉冲信号(方波)。例如,在通信电路中,将受干扰的信号 “修正” 为清晰的高低电平。

  3. 阈值触发

    • 用于定时器、振荡器电路(如 555 定时器的核心就是一个比较器,通过设定阈值控制输出高低电平的切换)。

    • 安全防护(如温度传感器电压超过上限时,比较器触发继电器切断电源)。

  4. 模数转换预处理

    • 在简易模数转换(ADC)电路中,通过多个比较器组成 “并联比较型 ADC”,快速将模拟量转换为数字编码。

3.分类

这个题目中使用的是德州仪器的TLV7041

二、原理分析

如图,分别是同相迟滞电压比较器电电路,电压传输特性曲线。

1、输入上升阶段:Vin>VH,输出电压翻转:从0翻转到高电压

2、输入下降阶段:Vin<VL,输出电压翻转:从高电压翻转到0

首先,对电路进行一个定性分析

这是一个正反馈电路,输出端通过R2接到电压比较器的正级,电阻两端极性相同,输出端也为+,说明这个是正反馈。

此外,在输出端,接了一个上拉电阻R3,因为这里是属于开漏输出,需要外接上拉电阻。

那么外什么开漏输出就需要上拉电阻?这里做一个简单的解释,更为详细的解释推荐这篇文章输出模式讲解

开漏输出是属于输出模式的一种,输出模式还分为推挽输出,复用模式输出等

开漏输出的电路里,只有一个 NMOS 管;但是推挽输出有一个NMOS和一个PMOS。

假如,在开漏输出电路中,我们在D级不接这个上拉电阻,那么当D级作为输出的时候,他的电压是不确定的,可能0-3.3之间任意某个电压。但是,当我们接入这个上拉电阻,D级的电压就确定下来了。

当输入为高电平,NMOS导通,此时D级输出为高;反之,NMOS截止,此时D级接地输出低电平。

继续下面的分析:

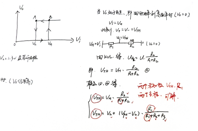
根据电压传输特性曲线,刚开始,输入电压Vin是0,输出电压Vout也是0。

这时候我们慢慢调高Vin,当Vin升到一个叫VH的数值时,比较器的两个输入端电压相等(V+ = V-)。要是再把Vin往高调一点点,就会出现V+比V-大的情况,这时候Vout就会一下子变成高电平。

然后,当Vout变成高电平后,因为它通过电阻R2接到了比较器的V+端,这就形成了正反馈。正反馈会让V+变得更大,使得V+比V-大得更多,所以Vout会一直保持高电平。这时候如果想让Vout变回0,就得把Vin降得比之前的VH还要低,降到一个叫VL的数值。

当电压比较器的两个输入端只要满足 V+ > V-,那么Vout 就输出高。反之,如果V+ < V-,那么Vout输出低。

以上就是这个电压比较器的原理。

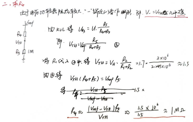
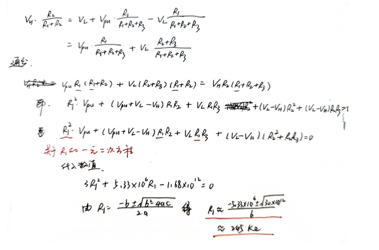
三、计算结果

评论
添加红包

请填写红包祝福语或标题

红包个数最小为10个

红包金额最低5元

当前余额3.43前往充值 >
需支付:10.00
成就一亿技术人!
领取后你会自动成为博主和红包主的粉丝 规则
hope_wisdom
发出的红包
实付
使用余额支付
点击重新获取
扫码支付
钱包余额 0

抵扣说明:

1.余额是钱包充值的虚拟货币,按照1:1的比例进行支付金额的抵扣。
2.余额无法直接购买下载,可以购买VIP、付费专栏及课程。

余额充值