二元函数条件极值的一般提法是: 在约束条件 φ(x, y) = 0,求函数z = f(x, y) 的极小值或极大值。
拉格朗日乘数法: 设二元函数f (x, y) 和 φ(x, y) 在所考虑的区域内有连续的偏导数, 且 φᵪ(x, y), φᵧ(x, y) 不同时为0。
令L(x, y) = f(x, y) + λφ(x, y)。 (1)
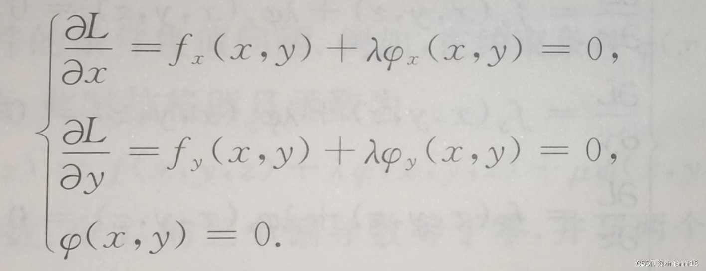
其中常数 λ 称为拉格朗日乘数, L(x, y) 称为拉格朗日函数。 求L的两个偏导数, 并建立方程组
如果函数z = f(x, y)在约束条件 φ (x, y)=0下的极值点是(x₀, y₀), 则存在 λ₀,使得 x₀, y₀,
λ₀ 是方程组的解。
拉格朗日乘法给出了求条件极值的一般方法, 它的步骤是:
- 根据目标函数和约束条件写出拉格朗日函数(1)
- 建立方程组
- 求出方程组的全部解, 如果 λ₀, x₀, y₀是方程组的解,则点(x₀, y₀)是可疑极值点,
- 判断点(x₀, y₀)是否为极值点。
1万+

被折叠的 条评论
为什么被折叠?



