机器学习- 吴恩达Andrew Ng Week10 知识总结 Large scale machine learning

大数据集机器学习:随机梯度下降与优化
本文介绍了在处理大规模机器学习时,如何利用随机梯度下降(Stochastic Gradient Descent, SGD)优化算法。SGD相较于批量梯度下降在大数据集上更具效率,通常需要1-10次遍历数据集即可接近全局最小值。小批量梯度下降作为SGD的变体,通过每次处理一部分样本进一步提升效率。此外,讨论了在线学习的应用,即随着新数据不断到来实时更新模型。最后,提到了MapReduce和数据并行性在分布式训练中的作用,以加速算法的训练过程。

Coursera课程地址

因为Coursera的课程还有考试和论坛,后续的笔记是基于Coursera
https://www.coursera.org/learn/machine-learning/home/welcome

Large scale machine learning 大数据集机器学习

1. 大数据集学习 Learning with large datasets

当我们的算法在 m 很小时具有高方差时,我们主要受益于非常大的数据集。回想一下,如果我们的算法有高偏差,更多的数据将没有任何好处。
在这里插入图片描述

数据集通常可以达到 m = 100,000,000 这样的大小。在这种情况下,我们的梯度下降步骤必须对所有一亿个示例进行求和。我们会尽量避免这种情况——这样做的方法如下所述。

大数据集对过拟合的优化才有用。
在这里插入图片描述

2. 随机梯度下降 Stochastic gradient descent

回顾一下 线性回归的梯度下降算法
在这里插入图片描述
在这里插入图片描述
随机梯度下降是经典(或批量)梯度下降的替代方案,并且对大型数据集更有效且可扩展。

在这里插入图片描述

随机梯度下降以不同但相似的方式写出:
在这里插入图片描述

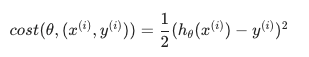
上述成本函数的唯一区别是消除了内部的 m, 改用 常数 1/2 .
在这里插入图片描述

J(train)在只是应用于我们所有训练示例的成本的平均值。
在这里插入图片描述

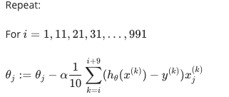
算法如下

  1. 随机“洗牌”数据集
  2. For i = 1 … m 在这里插入图片描述

该算法一次只会尝试拟合一个训练示例。这样我们就可以在梯度下降中取得进展,而不必先扫描所有 m 个训练样本。随机梯度下降不太可能在全局最小值处收敛,而是随机地在它周围徘徊,但通常会产生足够接近的结果。随机梯度下降通常需要 1-10 次遍历您的数据集才能接近全局最小值。

3. 小批量梯度下降

小批量梯度下降有时甚至比随机梯度下降更快。不是像批量梯度下降那样使用所有 m 个样本,也不是像随机梯度下降那样只使用 1 个样本,我们将使用一些中间数量的样本 b。
在这里插入图片描述

b 的典型值范围为 2-100 左右。
在这里插入图片描述

例如,对于 b=10 和 m=1000:

在这里插入图片描述

我们只是一次总结十多个例子。一次计算多个示例的优点是我们可以在 b 个示例上使用矢量化实现。

4. 随机梯度下降收敛 Stochastic gradient descent convergence

我们如何选择随机梯度下降的学习率 α?另外,我们如何调试随机梯度下降以确保它尽可能接近全局最优?

一种策略是绘制应用于每 1000 个左右训练示例的假设的平均成本。我们可以在梯度下降迭代过程中计算并节省这些成本。
在这里插入图片描述

用较小的学习速率,这是可能的,你可能会得到与随机梯度下降一个稍微好一点的解决方案。这是因为随机梯度下降会在全局最小值附近振荡和跳跃,并且会以较小的学习率进行较小的随机跳跃。
在这里插入图片描述

如果您增加平均的示例数量以绘制算法的性能,则绘图线将变得更平滑。

对于平均值的示例数量非常少,这条线会过于嘈杂,并且很难找到趋势。
在这里插入图片描述

尝试在全局最小值处实际收敛的一种策略是随着时间慢慢减小 α。例如
在这里插入图片描述

在这里插入图片描述

然而,这并不经常这样做,因为人们不想摆弄更多的参数。

5. 在线学习 Online learning

随着用户连续不断地访问网站,我们可以运行一个无限循环来获取 (x,y),在那里我们收集一些用户对 x 中的特征的操作来预测一些行为 y。
在这里插入图片描述

您可以在收集每个 (x,y) 对时更新 θ。通过这种方式,您可以适应新的用户群,因为您会不断更新 theta。
在这里插入图片描述

6. Map Reduce和数据并行 data parallelism

我们可以划分批量梯度下降并将数据子集的成本函数分派给许多不同的机器,以便我们可以并行训练我们的算法。
在这里插入图片描述
在这里插入图片描述

您可以将训练集拆分为与您拥有的机器数量相对应的 z 个子集。在每台机器上计算
在这里插入图片描述

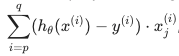
我们已经分割了从 p 开始到 q 结束的数据。

MapReduce 将获取所有这些已调度(或“映射”)的作业并通过计算来“减少”它们:
在这里插入图片描述

对所有 j = 0 ,…,n.

这只是简单地从所有机器中获取计算成本,计算它们的平均值,乘以学习率,然后更新 theta。

如果您的学习算法可以表示为训练集上函数的计算总和,则它是 MapReduceable 。线性回归和逻辑回归很容易并行化。
在这里插入图片描述

对于神经网络,您可以在许多机器上计算数据子集的前向传播和反向传播。这些机器可以将它们的衍生产品报告回将它们组合起来的“主”服务器。
在这里插入图片描述

参考

https://www.coursera.org/learn/machine-learning/resources/srQ23
https://www.coursera.org/learn/machine-learning/supplement/itpOu/lecture-slides

评论 3
添加红包

请填写红包祝福语或标题

红包个数最小为10个

红包金额最低5元

当前余额3.43前往充值 >
需支付:10.00
成就一亿技术人!
领取后你会自动成为博主和红包主的粉丝 规则
hope_wisdom
发出的红包
实付
使用余额支付
点击重新获取
扫码支付
钱包余额 0

抵扣说明:

1.余额是钱包充值的虚拟货币,按照1:1的比例进行支付金额的抵扣。
2.余额无法直接购买下载,可以购买VIP、付费专栏及课程。

余额充值