机器的学习

机器学习

  1. 集成算法的简介

对于一个复杂任务来说,将多个专家的判断进行适当的综合所得出的判断,要比其中任何一个专家单独的判断好

  1. 集成学习:

集成学习(ensemble learning)通过构建并结合多个学习器来完成学习任务等。

4.结合策略

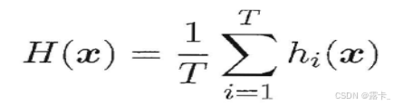
①简单平均法:

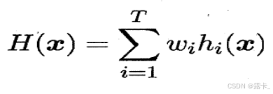
②加权平均法:

5.集成学习的结果通过投票法产生?即“少数服从多数”

评论
添加红包

请填写红包祝福语或标题

红包个数最小为10个

红包金额最低5元

当前余额3.43前往充值 >
需支付:10.00
成就一亿技术人!
领取后你会自动成为博主和红包主的粉丝 规则
hope_wisdom
发出的红包
实付
使用余额支付
点击重新获取
扫码支付
钱包余额 0

抵扣说明:

1.余额是钱包充值的虚拟货币,按照1:1的比例进行支付金额的抵扣。
2.余额无法直接购买下载,可以购买VIP、付费专栏及课程。

余额充值