求解线性方程组




右乘向量/矩阵

把左边的矩阵拆成一个个列向量,右边的向量表示对左边列向量组的线性组合。
[ c o l 1 c o l 2 c o l 3 ] [ 3 4 5 ] = [ 3 c o l 1 + 4 c o l 2 + 5 c o l 3 ] \left[\begin{array}{c} col_{1} & col_{2} & col_{3} \end{array}\right] \left[\begin{array}{c} 3 \\ 4 \\ 5 \end{array}\right]= \left[\begin{array}{c} 3col_1+4col_2+5col_3 \end{array}\right] [col1col2col3] 345 =[3col1+4col2+5col3]
右边的矩阵:把左边的矩阵看作一个个列向量
第n行的第m列的数字k 表示结果的第n列采用左边矩阵的第m列乘以k
左乘向量/矩阵

[
1
2
7
]
[
r
o
w
1
r
o
w
2
r
o
w
3
]
=
[
1
r
o
w
1
+
2
r
o
w
2
+
7
r
o
w
3
]
\left[\begin{array}{c} 1 & 2 & 7 \end{array}\right] \left[\begin{array}{c} row_1 \\ row_2 \\ row_3 \end{array}\right]= \left[\begin{array}{c} 1row_1+2row_2+7row_3 \end{array}\right]
[127]
row1row2row3
=[1row1+2row2+7row3]
左边的矩阵:把右边的矩阵看作一个个行向量
第n行的第m列的数字k 表示结果的第n行采用右边矩阵的第m行向量乘以k
结果特定行列位置的值
[ r o w 1 r o w 2 r o w 3 ] [ c o l 1 c o l 2 c o l 3 ] = [ r o w 1 c o l 1 r o w 1 c o l 2 r o w 1 c o l 3 r o w 2 c o l 1 r o w 2 c o l 2 r o w 2 c o l 3 r o w 3 c o l 1 r o w 3 c o l 2 r o w 3 c o l 3 ] \left[\begin{array}{c} row_1 \\ row_2 \\ row_3 \end{array}\right]\left[\begin{array}{c} col_1 & col_2 & col_3 \end{array}\right] = \left[\begin{array}{c} row_1col_1 & row_1col_2 & row_1col_3 \\ row_2col_1 & row_2col_2 & row_2col_3 \\ row_3col_1 & row_3col_2 & row_3col_3 \end{array}\right] row1row2row3 [col1col2col3]= row1col1row2col1row3col1row1col2row2col2row3col2row1col3row2col3row3col3
矩阵乘法
AB=C
A是mxn矩阵,
B是nxp矩阵,
得到的C是mxp矩阵


第四种矩阵乘法运算,A的一列和B的一行相乘会得到一个完整的结果矩阵,把所有得到的矩阵加起来就是C


分块乘法也是一样的效果

逆矩阵
方阵的逆矩阵

矩阵的左逆和矩阵的右逆


如果一个非全0矩阵,乘一个A矩阵等于全0矩阵,那么这个A矩阵是不可逆的

反证法:假设A是可逆的,AX=0 两边同时乘以A的逆,得到X=0
与前面的X是非全0矩阵冲突
求逆矩阵
有两种方法,
- 和求解线性方程组一样,一个个求解线性方程组,用消元法慢慢消,然后再回代
- Gauss-Jordan高斯-若尔当消元方法,同时求解多个线性方程组


高斯-若尔当消元法的证明:

初始状态【A I】
做的消元步骤,相当于乘了一个E矩阵
EA = I 所以E就是A的逆矩阵
右侧的I乘E,得到E
所以结果就是【I E】 也就是【I A的逆】
矩阵乘法的逆
AB = B-1A-1
AA-1=I
推出(A-1)TAT=I
因为(AT)-1AT=I
所以(AT)-1 = (A-1)T
初等变换
100x100的方阵
第一步消元,把结果的第一列全部变成0
需要1002次计算的复杂度
左边初等变换矩阵的一行,乘以右边原矩阵的每一行(一共1002个数)
得到步骤1方阵
第二步消元,把结果的第二列,从第二行开始全部变成0
需要992次计算的复杂度
左边初等变换矩阵的去除第一个元素的一行,乘以右边步骤1方阵的去除第一个元素的每一行(一共992个数)

总复杂度为平方和级数,近似为
1
3
n
3
\frac{1}{3}n^3
31n3
如果把消元法改写成LU乘法,也就是初等矩阵乘上三角矩阵,那么复杂度就将变为n2

以下张宇
补充 克拉默法则





用B可以消AB

行列式
行列式就是两个向量围成的平行四边形面积



行列式七大性质(贯穿全书)





行列式用逆序数法的定义



确定符号前,先按行顺排
乘积内部的项取自不同行不同列
余子式与代数余子式
余子式和代数余子式都是一个数,是行列式的结果


注意:代数余子式的符号是i+j,和逆序数无关

行列式类型
行列式行数和列数必须相同

右上三角行列式
左下三角行列式
对角行列式

左上三角行列式
右下三角行列式
侧对角行列式
拉普拉斯展开


计算方法

爪形,合并消元消到0



行和相等,列加
列和相等,行加

构造拉普拉斯矩阵


递推法给异爪形行列式降阶

递推法给异爪形行列式降阶,例题2
【补充】矩阵乘积的行列式 等于 矩阵行列式的乘积
张宇在第五讲相似矩阵的地方直接使用了这个结论
在第二讲才提到
其实是拉普拉斯展开推导出来的,叫做柯西定理

张宇说不证明了,证明过程不需要掌握
实际上特别常用,

使用两次拉普拉斯展开,完成证明
矩阵
秩

子式:子行列式(可以跳着取,也就是取2行2列的形式)

第五章补充:只有零矩阵的秩为0
矩阵的定义与基本运算



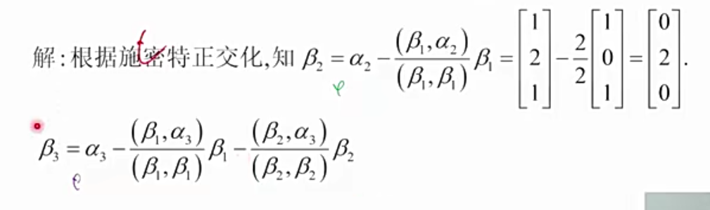
施密特正交化


把α2投影到α1
α2乘上与α1的夹角余弦值,得到投影的模长
α1除以自己的模,得到投影的方向
α2减去刚才投影出来的向量
就得到了施密特正交化的结果
确实很简单
定理:AB的行列式等于各自行列式的积

张宇说不证明了,证明过程不需要掌握
实际上特别常用,

使用两次拉普拉斯展开,完成证明




主对角线之和的n-1次方
在第五章中提到,总结为

迹
主对角线之和叫做迹


第五章提到,特征值的和就是矩阵的迹
条件 A是秩为1的方阵
张宇没有给出证明,我自己找找
逆矩阵

因为A是方阵,所以A一定有行列式


定义求逆矩阵



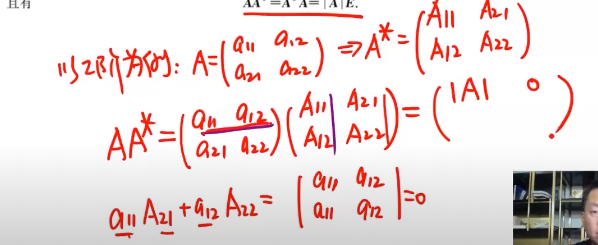
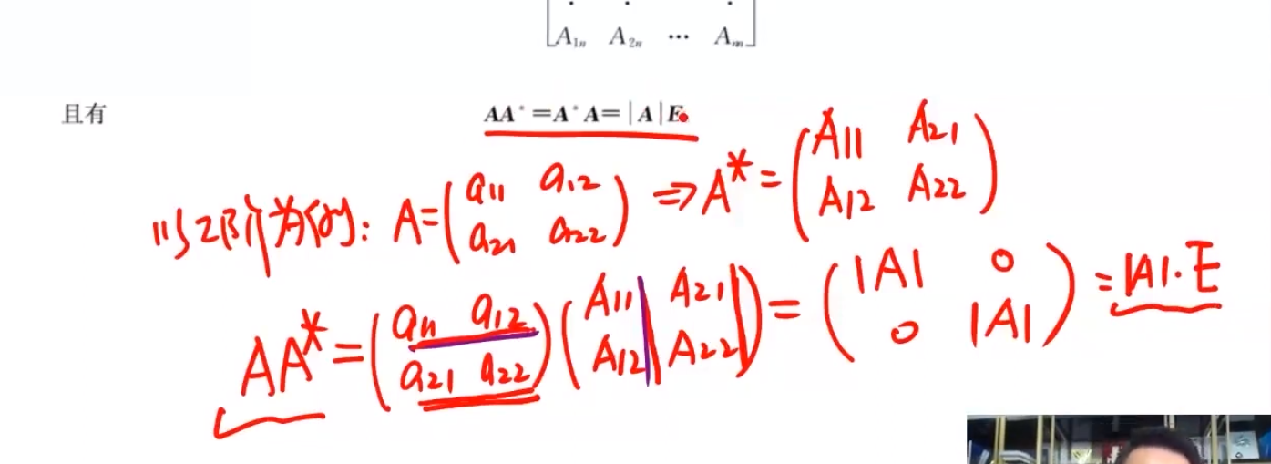
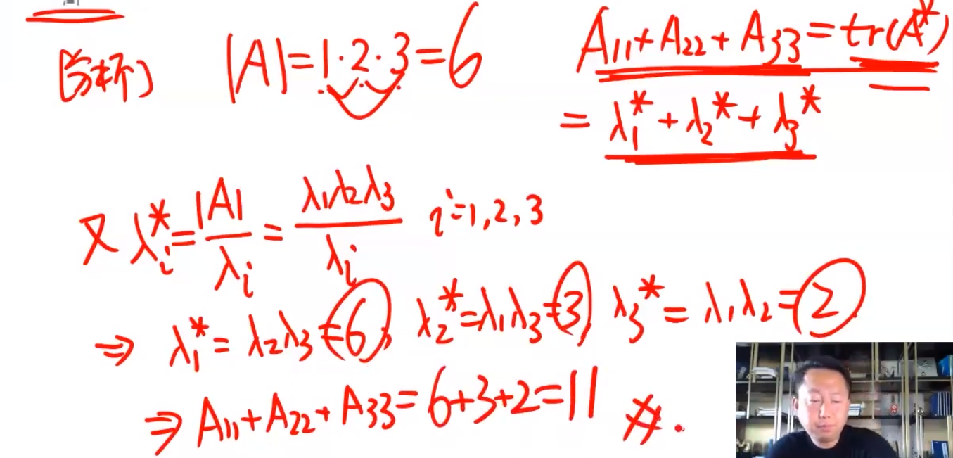
伴随矩阵


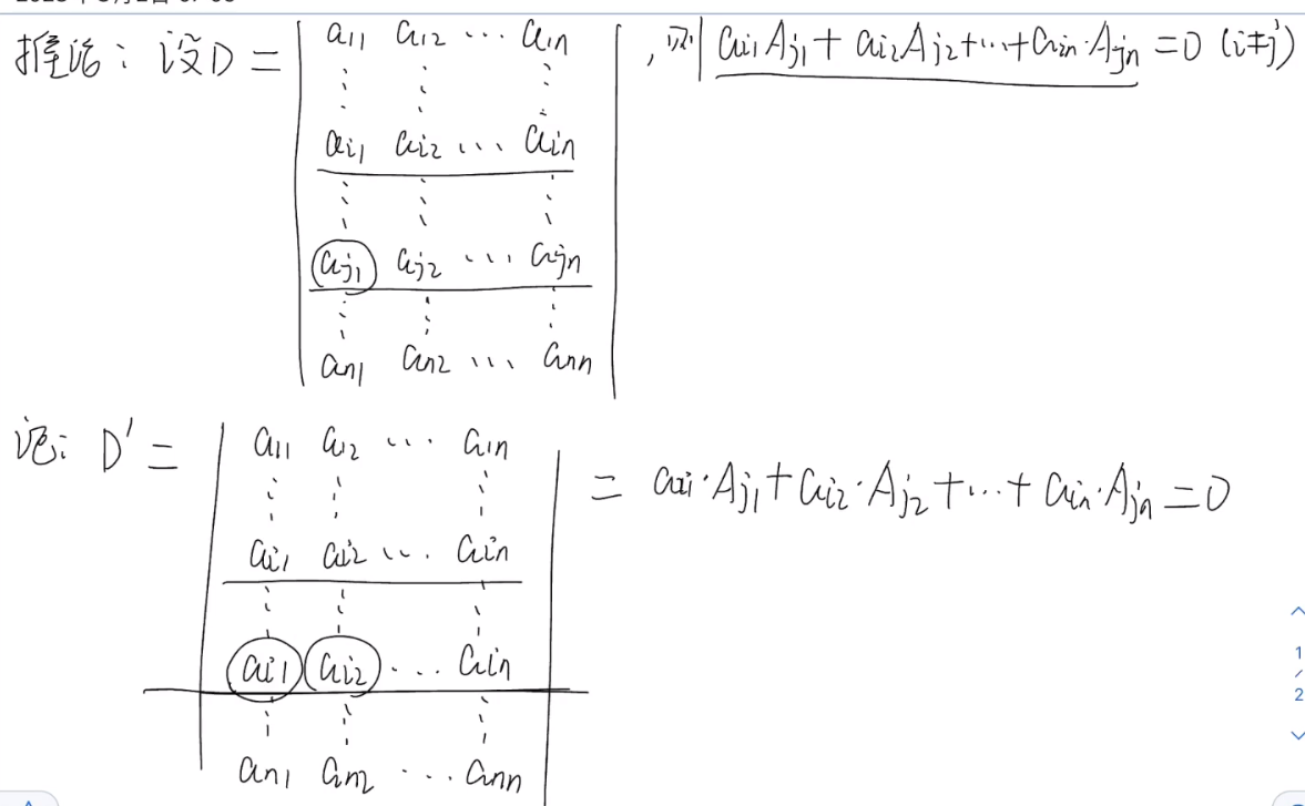
a11 A21 + a12 A22的含义
第一行固定放a11 a12
第二行a11乘上A21代表把a11放到2行1列的位置,
a12乘上A22代表把a12放到2行2列的位置
虽然说得很玄乎,实际上就是a11 A21 + a12 A22已经代表了一个新的行列式。因为数乘代数余子式的形式就是行列式的第三种定义(也是按行/列展开方式)
行列式中某一行元素与另一行的对应元素的代数余子式的积之和为0


第三个在方阵成立
取伴随运算



矩阵与行列式运算总结

伴随矩阵求逆矩阵




初等变换

初等矩阵


初等矩阵的写法:
倍乘Ei(k):i行(或i列)乘k倍
互换Eij:i行(或i列)与j行(或j列)互换
倍加Eij(k):j行的k倍加到第i行(或列)
初等矩阵的性质

- Eij的转置还是Eij

- Ei(k)的转置还是自己

- Eij(k)的转置是Eji(k)



初等变换求逆矩阵

高斯若尔当法:这里的E是A的逆矩阵,I是单位矩阵


矩阵等价

矩阵等价就是两个矩阵的秩相等
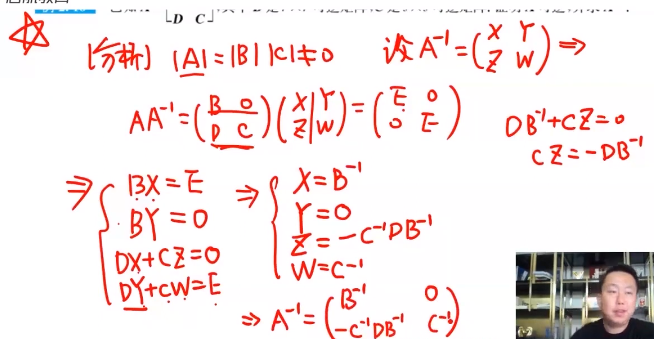
分块矩阵求逆矩阵





左乘同行,右乘同列,再添负号
矩阵方程

矩阵等价与等价标准形

秩的性质


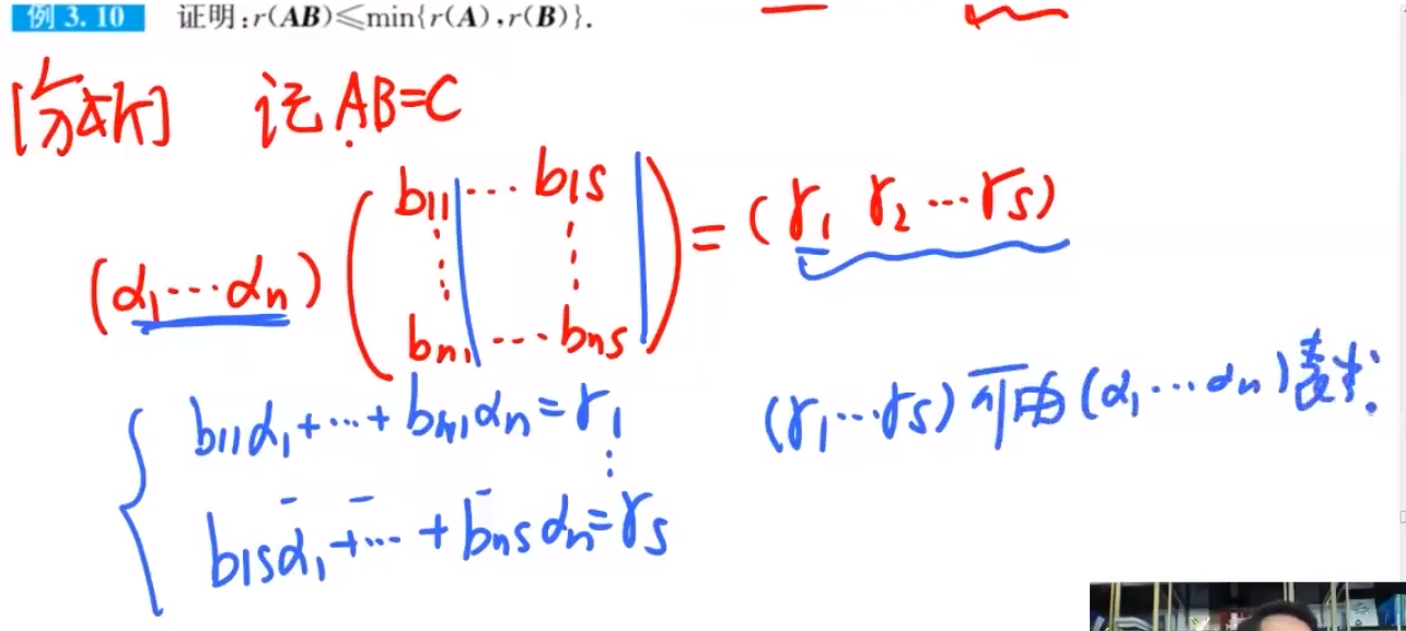
A的列变换可以消掉AB
因为AB就是用A的列变换得来的

2.非零数乘矩阵,不改变秩
3.初等变换不改变矩阵的秩


4.左乘列满秩矩阵,秩不变
右乘行满秩矩阵,秩不变






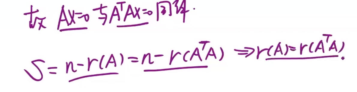
四秩相等的证明:
列向量的转置乘自己等于它的模
Ax=y,解向量是列向量
这是一个大于等于0的值
那么列向量的模等于0
那么列向量等于0向量




Ax=0和Bx=0同解,三秩相同






注意:这里不考虑0的0次方情况,默认n>1
向量组
向量的概念与运算

线性相关


判别定理1

必要性证明

充分性证明



2

证明可线性表示

证明表示法唯一


3


逆否命题的问题
命题分为:大前提,条件,结论
逆否命题,否条件和结论,然后换位置,不否大前提
但是为什么线性表示是大前提
看到知乎上有人说:
对于前提,由于是客观上需要满足的,我们更关心能不能满足;而对于条件,由于是人为拟定的,我们关心的是要不要满足。
我想可以这么认为,
如果没有向量组β和向量组α,那么就没有s和t两个变量的出现
所以前者是大前提,后者是条件

两个方程三个未知数,所以必有一个自由量,所以不全为0


4

有非零解的意思,其实是不全为0



5



β就是自由项矩阵
6

7


综合运用




极大线性无关组
向量组的秩就是一个极大线性无关组的成员数量


计算秩和极大线性无关组


化为行阶梯型矩阵。他的特点如上图

为什么可以认为右侧的124是原向量组的极大线性无关组?
因为可以把原向量组的124拿出来,单独得到一个矩阵,对它进行行变换,得到的还是右侧的124,而这三个向量组成矩阵的秩就是整个向量组的秩
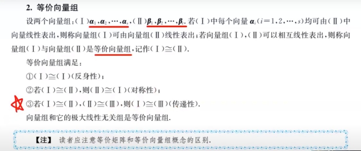
等价向量组

两个向量组可以相互线性表出
矩阵等价:行数列数相等,秩相等
向量组等价:同维



向量组的秩










秩公式总结

最后一个公式 n>=2

向量空间






线性方程组





齐次线性方程组



有非零解,就是有无穷多解

三个方程只能约束住三个自由度,剩下的两个就可以任意取值


不被约束的自由项组成了无穷解的空间
基础解系
要在有无穷多解的情况下,才有基础解系


方程组求解
做行变换与同时行列变换的限制
方程组求解只能做行变换
求矩阵的秩可以同时行列变换,因为原矩阵乘初等矩阵,原矩阵的秩不变



行最简阶梯型矩阵(做题时候化到行阶梯型就够了)

给自由项赋值,然后代回方程组,解出约束项的值


非齐次线性方程组
齐次是研究是不是线性相关的问题
非齐次是研究能不能线性表出的问题



有解条件

无解,代表b向量无法被系数矩阵的列向量组线性表出,代表系数矩阵的列向量组与b向量组成的新列向量组的秩是原来的秩+1



方程组求解
第一步:增广矩阵化阶梯,而不是系数矩阵化阶梯
(与齐次线性方程组的求解区别在此)


抽象型线性方程组








组成基础解系的向量一定线性无关


可逆矩阵相乘不影响秩

k属于R
两个方程组的公共解
增加约束就有可能降低解空间的维数


找出约束,将约束代入其中一个方程组的通解,得到通解的公共子集
同解方程组

等价向量组也是三秩相同,但是是横着拼的




线性方程组的几何意义
ax+by+cz=d 三维空间下方程的意义
abc是xyz解平面的法向量
d是xyz解平面的偏移量
d=0时,解平面穿过原点
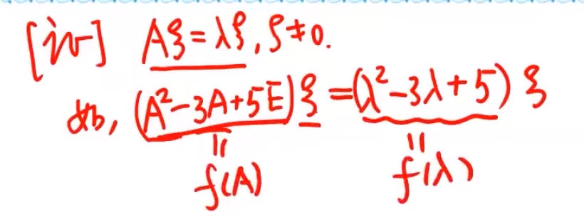
特征值和特征向量




最重要的内容
相似矩阵

只有方阵有行列式,
只有方阵有特征值特征向量,
只有方阵有二次型
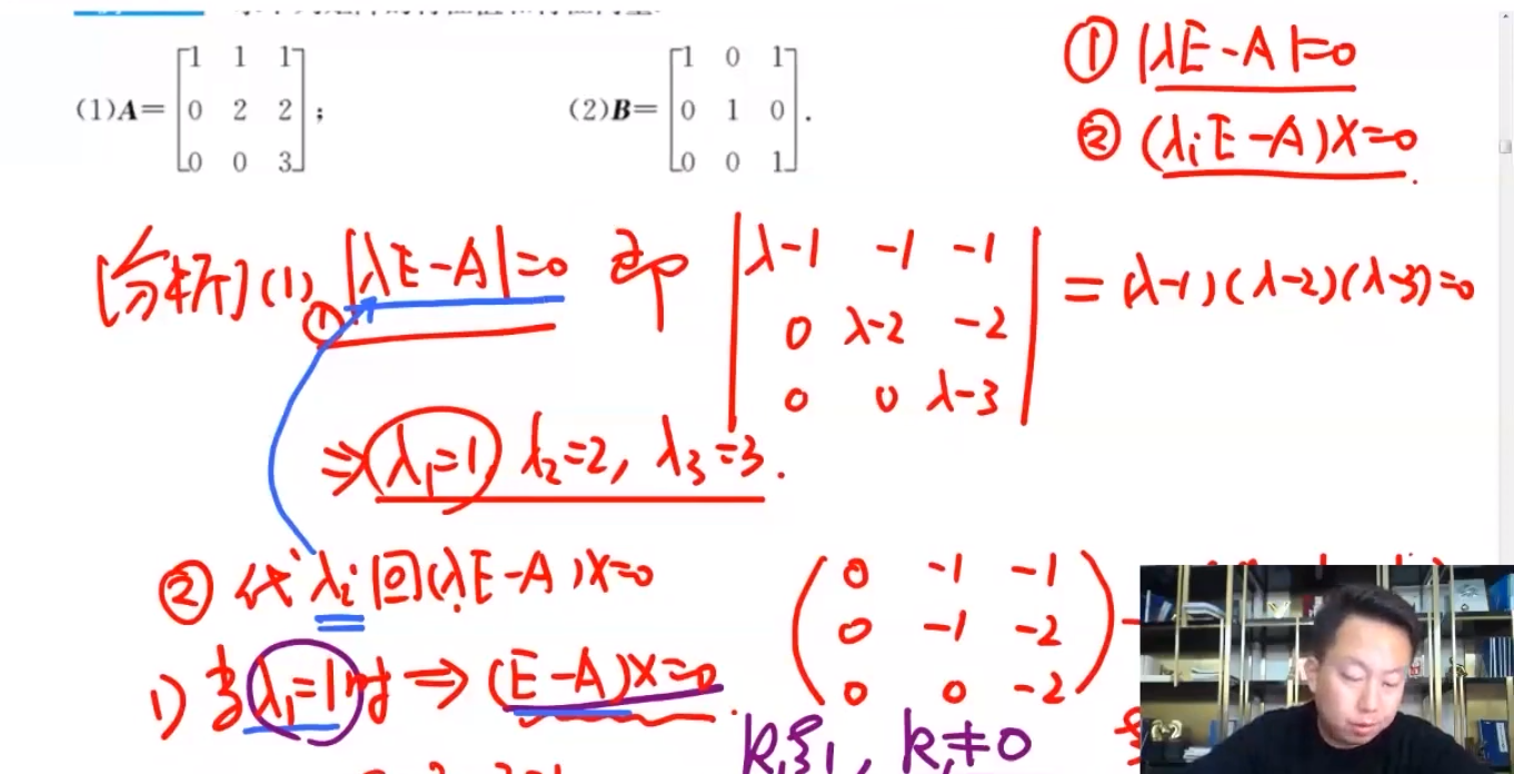
定义



我的思考:可以通过初等变换把A化成行阶梯型矩阵,再化成只有对角线上有值的矩阵,用不同的λ把对角线上的某一个值减掉,可以符合方程,那么符合的λ最多可以有矩阵的阶数个,其中可能存在重复的λ

重根也算多个解,要单独列出

具体型矩阵的特征值与特征向量




求根技巧





抽象型矩阵的特征值与特征向量









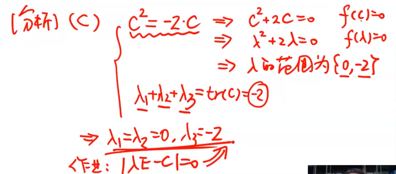
特征值的性质
核心性质:特征值的和等于矩阵的迹

我的思考:特征值的和等于矩阵的迹,但是特征值不能反推矩阵对角线元素
验证:用单列可拆性


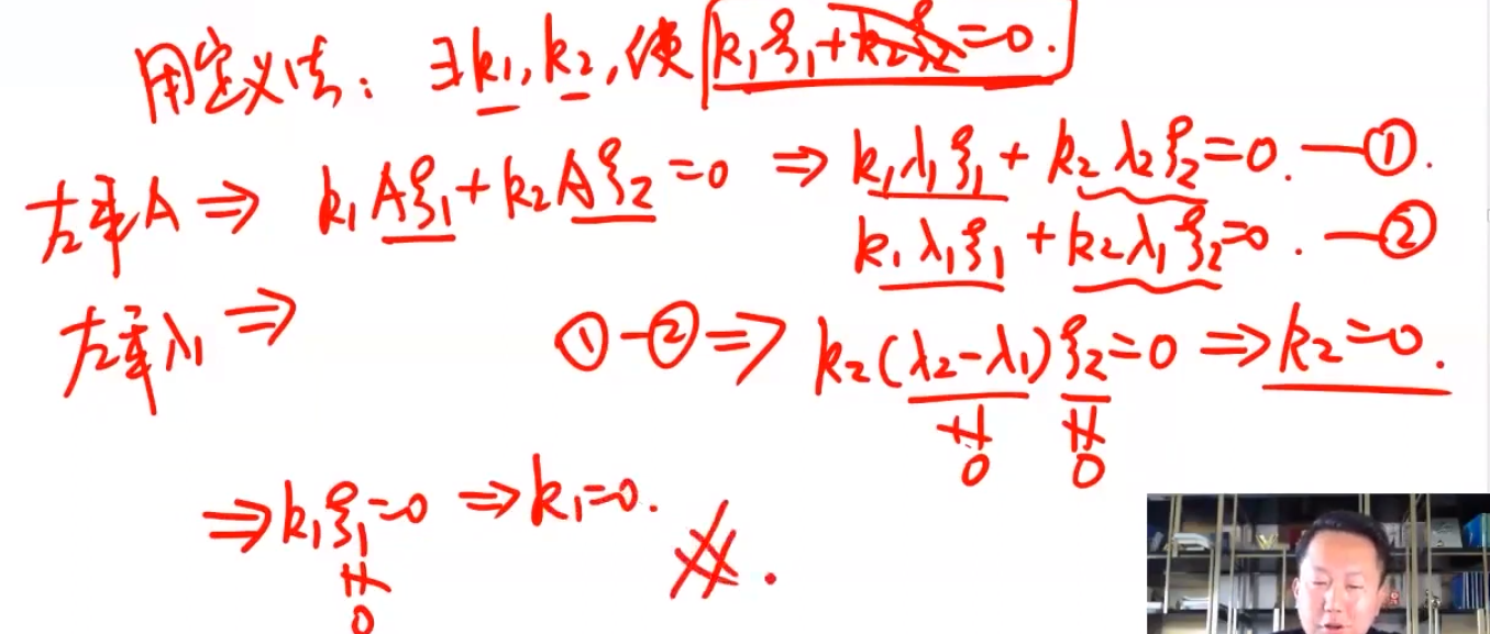
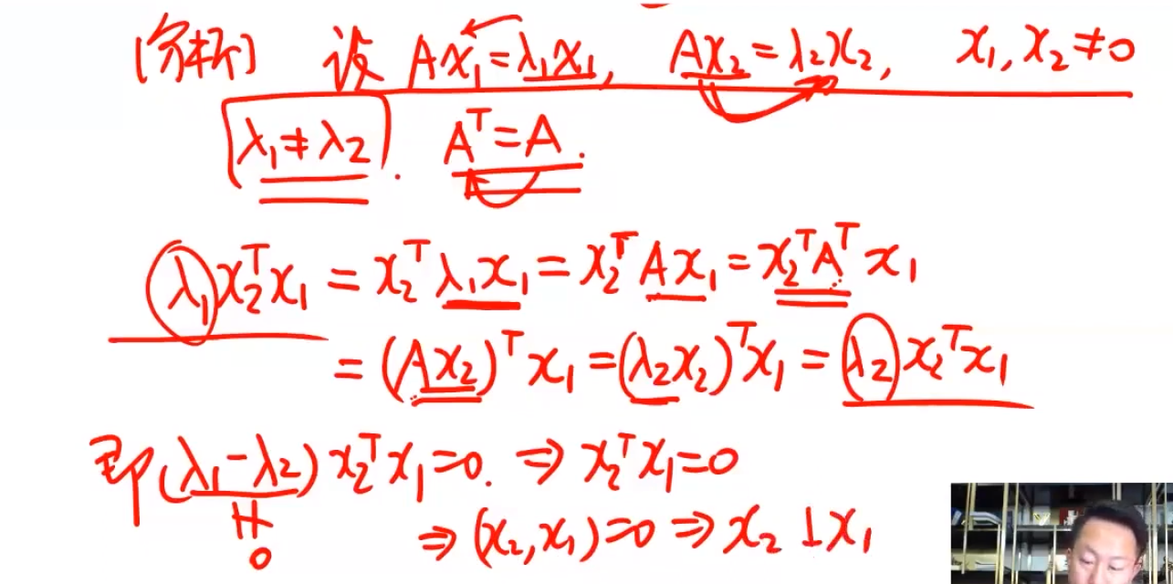
特征向量的性质

下面证明了,
不同特征值对应的特征向量线性无关


因为ξ是非零列向量,所以数乘非零向量想要等于0,数必须为0


2023题目预测


上面这道题是预测题

矩阵的相似
定义

相似矩阵的性质



这里的P-1·E·P为什么一定等于E
讲的有点拉了
其实很简单,分解开计算就行
P-1·E·P = (P-1·E)·P = P-1·P = E

A相似于B,A的多项式也相似于B的多项式

取伴随运算,总感觉没有印象
P-1·E·P的伴随矩阵是啥?
原来是这个


矩阵的相似对角化

是一种特殊的相似,其中B矩阵是对角矩阵
不同于矩阵相似,P和对角矩阵都是有意义的,不是任意矩阵

P矩阵的每一列都是A的特征向量
又因为P是可逆矩阵,所以这些特征向量组成的向量组是线性无关的。

所以,P是由A的特征向量组成的,对角矩阵是由A的特征值组成的
给出A,就能找出P和对角矩阵


这里的二重根特征值,对应二维解空间的特征向量,只对应两个线性无关的特征向量,其他向量都可以被这两个线性无关的特征向量线性表出
又因为不同特征值对应的特征向量线性无关,所以这三个向量组成的向量组也是线性无关

可以换顺序,答案没有唯一性
判定能否相似对角化
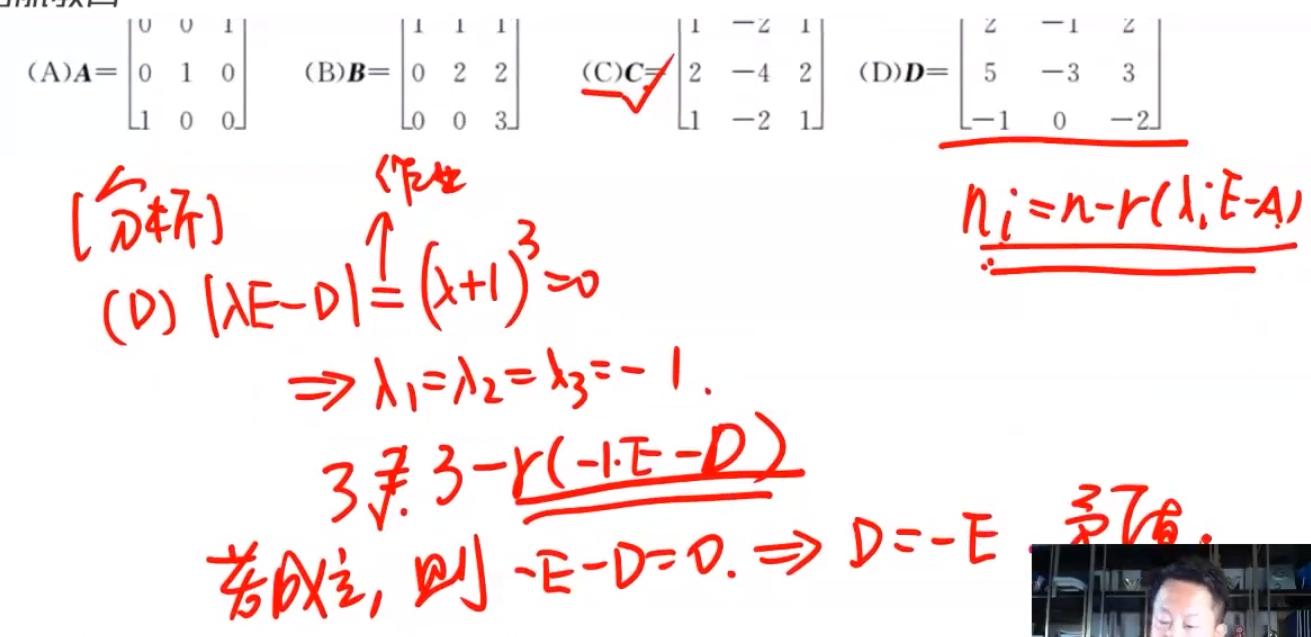
(2022真题)矩阵可对角化的充分不必要条件。
就是只能由条件推矩阵可对角化,但是不能反过来推。
那么有n个不同特征值、实对称矩阵仅为充分条件

重根个数 = 未知数个数 - 代入特征值后系数矩阵的秩


这道题能用上特征值的和等于矩阵的迹,
是因为,没有用定义法去计算,所以得到的λ次数和方阵的阶数不一样。
正常计算是可以用重根按重数计的

线性相关性判别定理7,原来无关延长也无关

只有零矩阵的秩为0
D选项,这里用的是反证法,也可以用三重特征值的三个特征向量不是线性无关来正向证明
齐次线性方程组的系数矩阵,秩为2,解空间就是1维的,只能有一个线性无关的向量

实对称矩阵必可相似对角化
是判定能否相似对角化的第四种方法
内容过于重要所以单独拿出来放一节课
与二次型相结合,因为二次型就是一种实对称矩阵





正交矩阵是由两两互相垂直的单位向量组成的

正常计算可以求得特征值特征向量,得到可逆矩阵P,其中的特征向量是线性无关的,然后用施密特正交化方法,得到正交矩阵
正交变换和初等变换不同,在初等变换的基础上,保证原图像相对位置不变,也就是没有变形
但是之前讲的是两个向量做施密特正交化,这里有三个向量怎么办呢?
目前未知
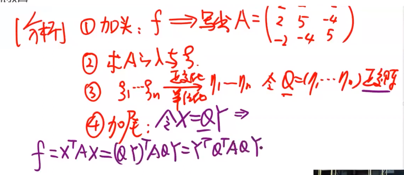
用正交变换化二次型为标准形


实对称矩阵不同特征向量对应的特征值是正交的
九讲里面会讲到
n个特征向量两两正交,是n阶实对称矩阵

有一个二重特征值和一个单特征值的时候,单特征值对应的特征向量与二重特征值对应的两个特征向量分别正交(垂直)
那么只要让二重特征值对应的两个特征向量之间垂直就达到两两垂直了
在这里使用两个向量的施密特正交化,可以完成题目


对角矩阵还是特征值,不过要对应好特征向量(对应的正交矩阵)
小结

这里用到了重根按重数计
我一开始想的是用特征值的和等于矩阵的迹来判断特征值的个数
实际上用定义法来算,根本不需要用这个关于迹的性质

实对称矩阵,有多重特征值,且对应的特征向量相互不垂直的时候,要使用施密特正交化方法,得到垂直的特征向量
应用

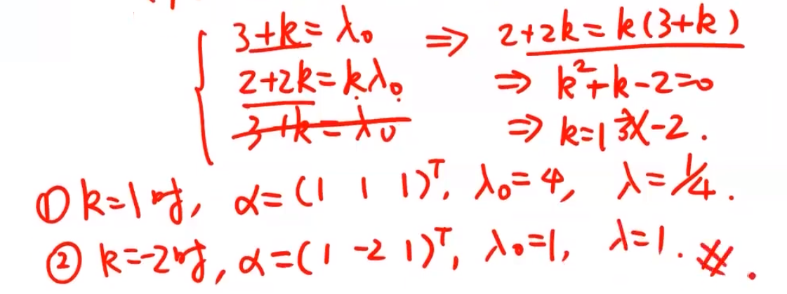
反求参数



为什么不用-1这个特征值,因为用了之后得到的矩阵,x和y被中间这一列只有主对角线元素的列向量消掉了,没有约束


特征值特征向量反求A


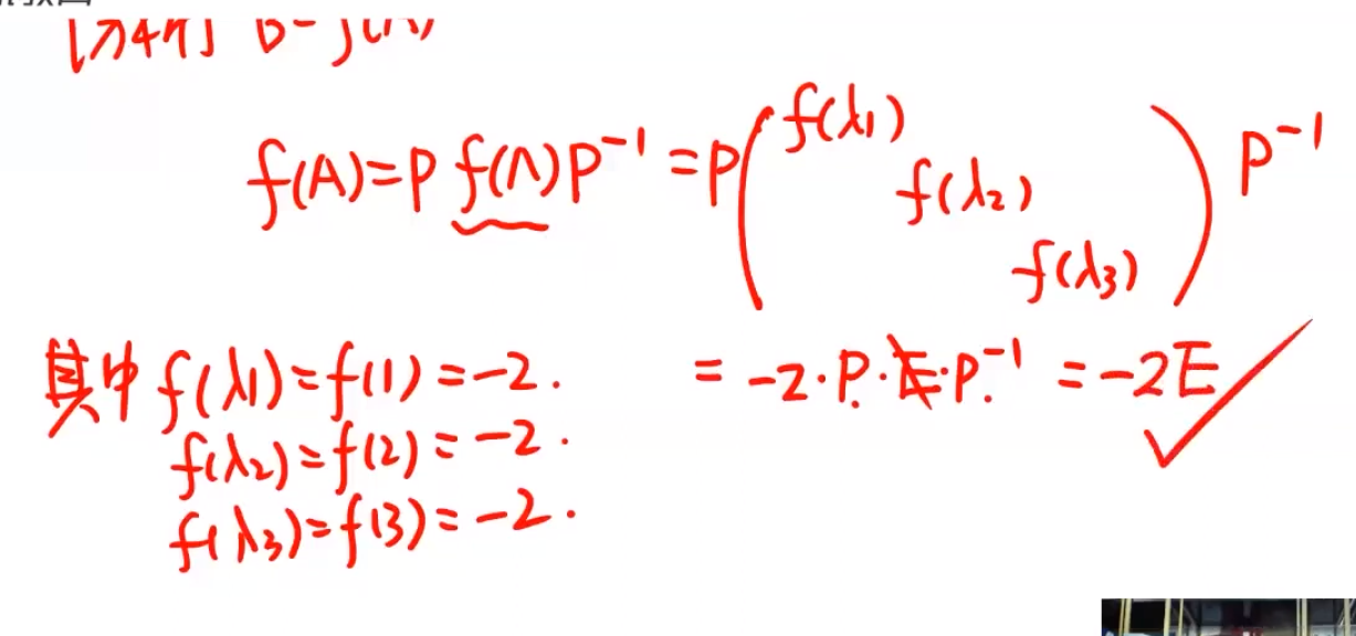
A的多项式相似于A的相似对角矩阵的多项式
其实是相似矩阵的性质:A相似于B,A的多项式也相似于B的多项式
A的n次幂




用二项展开,二次以上的右边项都是0可以省略


判别两个矩阵相似



张宇说 实际上单根不必验证,这是一定成立的
我猜他大概说的是,具体型矩阵的特征值与特征向量,这一部分的,代入单根,秩一定是n-1,因为只消掉了化简后的一行;如果是二重根,代入消掉两行还需要检查该行其他元素是否线性相关



A和B都不能相似对角化,但是A和B相似,特征值相等的例子
二次型
定义


矩阵表达式

线性变换


合同变换



合同类似一种正交变换,相对位置不变,只旋转参考系

标准形 规范形


标准形化规范形很容易

正交变换法 化标准型




化标准形的两种方法

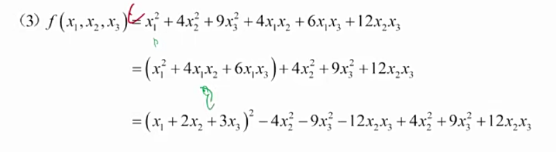
拉格朗日配方法
2022真题

先配所有的x1,再配所有的x2
配方法解决
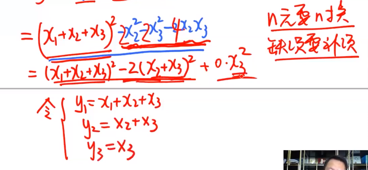
在正定二次型中提到,配方法每次配完方,都要用掉一个未知数,就是说,假如第一次为了消耗掉x1的平方项,配方用了x1+x2+x3,那么后面的配方就不能再用x1了







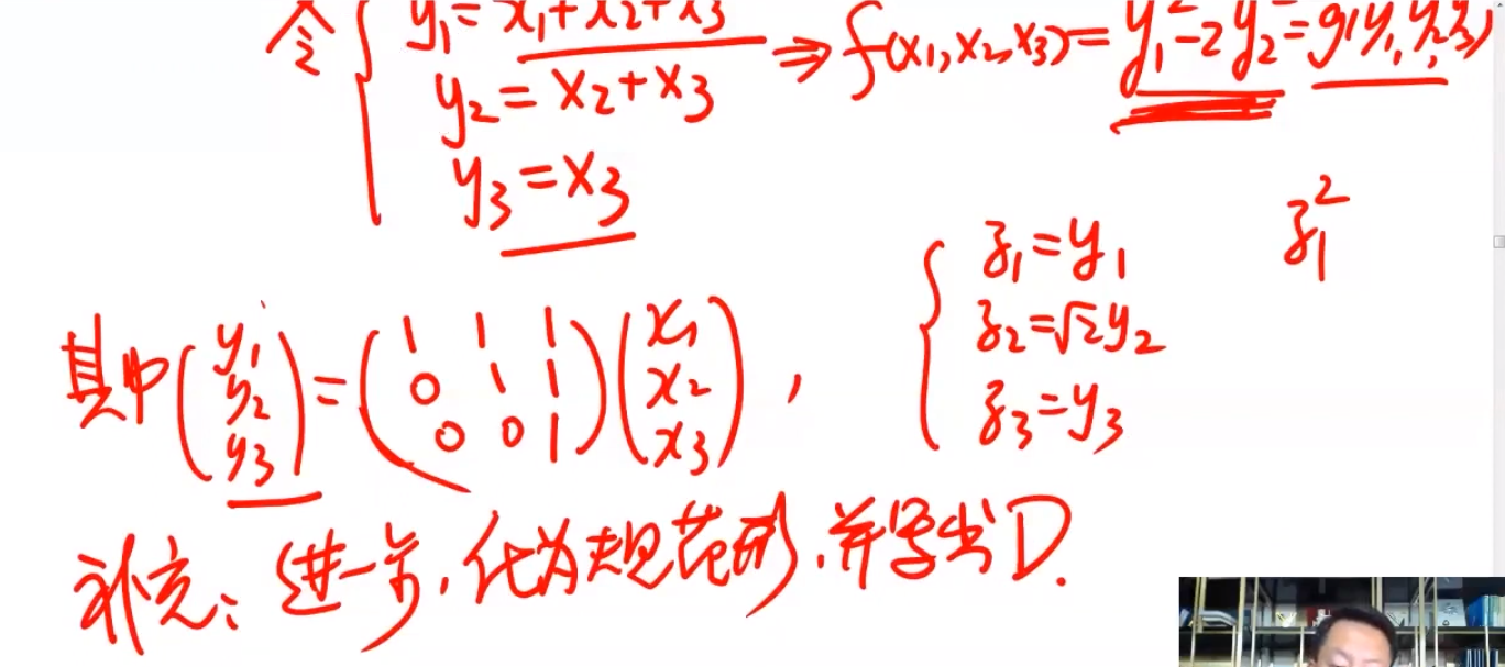
配方法配出来的不一定是特征值
正交变换得到的一定是特征值,但是不能直接化成规范形,除非特征值就是-1 1 0

配方法补充


惯性定理
2021真题

使用配方法一定要用可逆的线性变换,这样才能保证正负惯性指数不变
注意,是化成标准形或规范形之后的系数
系数的数量最大是n,因为只剩下平方项了



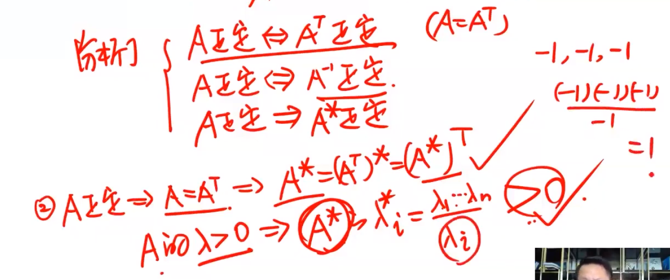
正定二次型
用定义法


下列充要条件都有一个前提,
这个矩阵必须是对称矩阵(二次型)
正定二次型充要条件 正惯性指数为n

用正惯性指数推:化成标准形或规范形之后所有系数都是正的

正定二次型充要条件 与单位矩阵合同



正定二次型充要条件 特征值大于0
用正交变换法,得到的标准二次型的对角线就是特征值

正定二次型充要条件 全部顺序主子式大于0
补充顺序主子式的定义
左上角取n阶矩阵的行列式,就叫做n阶顺序主子式


抽象型正定二次型

正定的三大运算












1182

被折叠的 条评论
为什么被折叠?



