Heterogeneous Graph Attention Network
这篇论文将会发表在WWW 2019会议上。
ABSTRACT
GNN在深度学习领域表现出了强大的性能。但是,在包含不同节点和边的HIN领域(Hetegeneous Information Network,是由 UIUC 的 Han Jiawei 和 UCLA 的 Sun Yizhou 在 2011 年的 VLDB 论文中首次提出),GNN做的还不够完善。论文提出了一种新的异构图神经网络分层注意力机制,涉及到节点级别和语义级别。节点级别的Attention主要学习节点及其临近节点间的权重,语义级别的Attention是来学习基于不同meta-path的权重。
INTRODUCTION
这部分介绍了GNN、Attention mechanism、HIN等。由于HIN的复杂性,传统的GNN并不能直接应用于HIN中。这就需要新的方法来解决这个问题,论文提出了HAN模型(Heterogeneous graph Attention Network)。
RELATED WORK
Graph Neural Network
GNN作为深度学习领域的扩展,用来处理无规则图结构数据。GCN可以分为两类,分别是谱域和非谱域。谱方法用于谱表示的图中,非谱域方法直接在图上进行卷积,对空间上的近邻进行操作。
注意力机制在深度学习中有广泛的应用,self-attention、soft-attention等。也已经有很多基于图Attention的应用,但是都是同构图的数据。
Network Embedding
网络嵌入或者网络表示学习(NE),是在保留网络结构及其属性的前提下,将网络转换到低维空间以应用。以往的方法有很多,随机游走、 深度神经网络、矩阵分解等,也都是基于同构图的。
异构图的embedding主要关注基于meta-path的结构信息。ESim虽然考虑的多条meta-path的信息,但是在面对具体问题时,无法学习到最优的权重组合;Meta-path2vec通过随机游走和skip-gram算法来做embedding,但是其只考虑了一条meta-path;HERec也是只考虑单条meta-path,通过限制策略来过滤节点序列做embedding;HIN2Vec使用了同时训练节点和meta-path的方法;PME通过欧几里德距离来保留节点的邻接区域;HEER则是通过边表示来做异构图的embedding;Meta-graph2vec最大限度保留了结构和语义信息;还有基于meta-graph的嵌入模型,同时考虑了一个meta-graph的所有元信息的隐藏关系。以上方法都没有使用过Attention mechanism来做graph embedding。
PRELIMINARY
Heterogeneous Graph : 图G = (V, E) 包含节点集V和连接集E,异构图还包含一个节点映射函数和一个连接映射函数。
Meta-path:简单来说,即是从节点A到节点B所经过的一系列点的序列。
Meta-paht based Neighbors:基于一条meta-path的邻居节点,默认一个节点的邻居节点包括其自身。
HAN架构图:

图2:总体框架(a)所有类型的节点都投影到一个统一的特征空间中,并且可以通过节点级别的注意力来学习基于元路径的节点对的权重。 (b)联合学习每个元路径的权重,并通过语义级别的注意力来融合特定于语义的节点嵌入。(c)计算所提到的HAN的loss和端到端优化。
MODEL
Node-level Attention
在具体任务中,一个节点在meta-path上的邻居节点有不同的重要性。Node-level attention能够学习一个节点基于meta-path的邻居节点的表示作为该节点的embedding。由于graph中包含不同类型的node,所以首先通过转换矩阵将所有节点转换到统一的特征空间,与[13]不同,类型特定的转换矩阵基于节点类型而不是边类型:

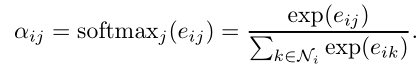
给定一个节点对(i , j),利用自我注意力(self-attention)[34]来学习各种节点之间的权重,Node-level Attention能学习到节点j相对于节点i的权重,重要的一点是(i , j)的权重是非对称的:
![]()
注:
只是一个符号表示,节点级的注意力,具体和GAT差不多。
将
带入(GAT的式子):

有:

其中,
,
表示节点i(包括i自身)的基于元路径的邻居。∥表示连接操作,并且
是元路径Φ的节点级注意力向量。通过softmax计算出节点j的权重系数,这里得到的系数也是非对称的,这就是注意力系数了。
然后,节点i的基于元路径的嵌入可以通过邻居的投影特征与相应的系数进行汇总,如下所示:

为了更好地理解节点级的聚合过程,我们还对图3(a)进行了简要说明:

由于异构图具有无标度(scale free)的特性,因此图数据的方差很大。为了解决上述挑战,我们将节点级别的注意力(Node-level Attention)扩展到多头注意力(Multihead Attention),以便训练过程更加稳定。具体来说,我们重复节点级别的注意力K次,并将学习到的嵌入连接为特定于语义的嵌入:


Semantic-level Attention
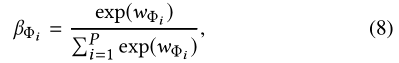
为了学习到更综合的信息,我们需要根据meta-path将多种语义信息融合到一起。将Node-level Attention的结果作为输入,来学习每条语义的权重。
![]()
同样,
只是一个符号表示,具体计算见后面。
要学习每条语义的权重,论文首先使用一层的MLP将Semantic embedding进行非线性转换。通过Semantic-level Attention vector q 来衡量多条Semantic embedding 间的相似性。

中的i和
不一样,
中的。
经过Softmax函数,得到语义权重:

最后,获得的语义层的embedding是这样的:

有了embedding之后,我们就可以构建loss function了,论文使用半监督的方式,通过最小化Cross-Entropy来训练:


Analysis of the Proposed Model
- HAN能解决异构图中多种Node、Relation,以及Semantic融合的问题;
- 该模型能够并行计算;
- 整个模型的Attention是共享的;
- 具有很好的可解释性;
EXPERIMENTS
实验过程用到了DBLP、ACM、IMDB三个数据集。Baseline包括GCN、GAT、HAN of Node、HAN of Semantic、HAN,从分类、聚类的实验结果来看,HAN基本上都是最优的。
HAN是一种新型的异构图神经网络,它引入了节点级和语义级的注意力机制,以解决HIN(异构信息网络)中的节点分类问题。通过学习基于元路径的节点对权重,HAN能够捕捉到复杂网络结构中的关键信息。
830

被折叠的 条评论
为什么被折叠?



