以下内容均作为个人学习时遇到问题的学习历程,记在这里也是希望自己能常回顾。另外,文章出现的图片有些是个人手绘不太标准。关于运放的特性点,先记录后学习。
一,运算放大器的关键指标详解
1.1 输入失调电压
定义:在运放开环使用时,加载在两个输入端之间的直流电压使得放大器直流输出电压为 0。也可定义为当运放接成跟随器且正输入端接地时,输出存在的非 0 电压。
优劣范围:1µV 以下,属于极优秀的。100µV 以下的属于较好的。最大的有几十mV。
理解:任何一个放大器,无论开环连接或者反馈连接,当两个输入端都接地时,理论上输出应该为 0,但运放内部两输入支路无法做到完全平衡,导致输出永远不会是 0。此时 保持放大器负输入端不变,而在正输入端施加一个可调的直流电压,调节它直到输出直流电压变为 0V,此时正输入端施加的电压的负值即为输入失调电压,用 VOS 表示。但是,多数情况下,输入失调电压不分正负,生产厂家会以绝对值表示。
分析:任何一个实际运放都可理解为正端内部串联了一个 VOS,然后进入一个理想运放,如下图所示。如左图,正端引入一个-VOS,则输出为 0,符合标准定义。如右图,跟随器正 端接地,实际输出即为 VOS,也符合标准定义。

后果:当一个放大器被设计成 AF倍闭环电压增益(同相输入放大增益,也称噪声增益)时,如果放大器的失调电压为 VOS,则放大电路 0 输入时,输出存在一个等于 AF*VOS的直流电平,此输出被称为输出失调电压。闭环增益越大,则输出失调电压也越大。
对策:如果被测信号包含直流量且你关心这个直流量,就必须选择 VOS远小于被测直流量的放大器,或者通过运放的调零措施消除这个影响。如果你仅关心被测信号中的交变成分,你可以在输入端和输出端增加交流耦合电路,将其消除。
调零方法:有些运放有两个调零端,按照数据手册提供的方法接电位器调零即可。对没有调零端的运放,可采用外部的输出调零或者输入调零,有标准电路可以参考。
1.2 失调电压漂移(Offset Voltage Drift)
定义:当温度变化、时间持续、供电电压等自变量变化时,输入失调电压会发生变化。输入失调电压随自变量变化的比值,称为失调电压漂移。 因此,有三种漂移量存在:
1)输入失调电压变化相对于温度变化的比值。是指定温度范围内的平均值,以 µV/°C 为单位,用符号 ΔVOS/ΔT 或者 dVOS/dT 表示。
2)相对于时间的比值,以 µV/MO 为单位,含义是每月变化多少微伏。没有明确的符号,通常用文字表示。本文暂用 dVOS/dMO 表示。
3)相对于电源电压变化的比值,以 µV/V 为单位,含义是调好的放大器,当电源电压发生 1V 变化,会引起失调电压的变化。没有明确的符号,常用文字表示。
1.3 输入偏置电流(Input bias current,IB)
定义:当输出维持在规定的电平时,两个输入端流进电流的平均值。
优劣范围:60fA~100µA。数量级相差巨大,这取决于运放输入端结构,FET 输入的会 很小。
理解:运放的两个输入端并不是绝对高阻的,本项指标主要描述输入端流进电流的数量级。比如某个运放在接成跟随器且正输入端接地情况下,正输入端存在流进电流 1.3nA,即下图IB1=1.3nA,负输入端存在流进电流 0.6nA,即图 2-2 中 IB2=0.6nA,那么该运放的输入偏置电流 IIB即为0.95nA。
后果:第一,当用放大器接成跨阻放大测量外部微小电流时,过大的输入偏置电流会分掉被测电流,使测量失准。第二,当放大器输入端通过一个电阻接地时,这个电流将在电阻上产生不期望的输入电压。
1.4 输入失调电流(Input offset current,IOS)
定义:当输出维持在规定的电平时,两个输入端流进电流的差值。
优劣范围:20fA~100µA。数量级相差巨大,这取决于运放输入端结构,FET 输入的会很小。
理解:需要注意的是,这是数值的大小一般与该芯片的偏置电流相当。这很像一个班级的考试分数,平均大于 70 分,最大值与最小值差值大约也是 70 分(100 分-30 分)。我们很少见到奇怪的现象:偏置电流是失调电流的 10 倍,说明其一致性太好了。
后果:失调电流的存在,说明两个输入端客观存在的电流有差异。
1.5 关于失调和偏置的总结
这里涉及到三个关键指标,输入失调电压 VOS、输入偏置电流 IB、输入失调电流 IOS。 三个理论上都应该为 0,但是实际上总是不为 0,影响放大器的正常工作。
它们的影响主要表现在两个方面:第一,在放大器 0 输入电压时,导致输出不为 0,这来自于输入失调电压,以及某些情况下偏置电流和失调电流。第二,在电流检测时,影响检测精度,这主要来自于输入偏置电流。
1.6 0 输入时怎么计算放大器的实际输出
放大电路的输入电压为 0 时,导致输出不为 0 的原因一般有三个,输入失调电压VOS,输入偏置电流 IB,输入失调电流 IOS,其中后两个的影响依赖于放大电路外部的电阻。
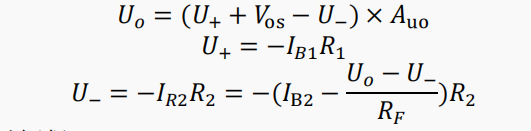
以运放OP07为例:

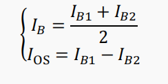
规定电路中运放正端外部电位 U+,负端电位 U-,从正端流进电流为 IB1,负端流进电流为 IB2,则输入偏置电流 IB和输入失调电流 IOS 分别为:
由失调电压
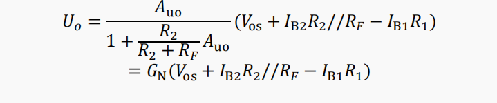
解得:
其中,GN被称为噪声增益,在噪声计算、输出失调计算中应用很广泛。其含义如下:
1.7 输入电压范围(Input Voltage Range)
定义:保证运算放大器正常工作的最大输入电压范围。也称为共模输入电压范围。
优劣评定:一般运放的输入电压范围比电源电压范围窄 1V 到几 V,比如±15V 供电,输入电压范围在-12V~13V。较好的运放输入电压范围和电源电压范围相同,甚至超出范围 0.1V。比如±15V 供电,输入范围在-15.1V 到 15.0V,这会使得放大器设计具有更大的输入动态范围,提高电路的适应性。
当运放最大输入电压范围与电源范围比较接近时,比如相差 0.1V 甚至相等、超过,都可以叫“输入轨至轨”,表示为 Rail-to-rail input,或 RRI。
理解:运放的两个输入端,任何一个的输入电压超过此范围,都将引起运放的失效。注意,超出此范围并不代表运放会被烧毁,但绝对参数中出现的此值是坚决不能超过的。之所以叫共模输入电压范围,是因为运放正常工作时,两个输入端之间的差压是很小的,某个输入端的电压与两个输入端电压的平均值(共模)是基本相同的。
1.8 输出电压范围(VOH/VOL或者 Swing from rail)
定义:在给定电源电压和负载情况下,输出能够达到的最大电压范围。或者给出正向最大电压 VOH 以及负向最小电压 VOL——相对于给定的电源电压和负载;或者给出与电源轨(rail)的差距。
优劣范围:一般运放的输出电压范围要比电源电压范围略窄 1V 到几 V。较好的运放输出电压范围可以与电源电压范围非常接近,比如几十 mV 的差异,这被称为“输出至轨电压”。这在低电压供电场合非常有用。当厂家觉得这个运放的输出范围已经接近于电源电压范围时,就自称“输出轨至轨”,表示为 Rail-to-rail output,或 RRO。
1.9 共模抑制比(Common-mode rejection ratio,CMRR)
定义:差模电压增益与共模电压增益的比值 ,用dB表示:
优劣范围:一般运放都有 60dB 以上的 CMRR,高级的可达 140dB 以上。
1.10 开环电压增益(Open-loop gain,AVO)
定义:运放本身具备的输出电压与两个输入端差压的比值,用 dB 表示。
优劣范围:一般在 60dB~160dB 之间。越大的,说明其放大能力越强。
理解: 开环电压增益是指放大器在闭环工作时,实际输出除以运放正负输入端之间的压差,
类似于运放开环工作——其实运放是不能开环工作的。
1.11 压摆率(Slew rate,SR)
定义:闭环放大器输出电压变化的最快速率。用 V/μs 表示。
优劣范围:从 2mV/μs 到 9000V/μs 不等。
理解:此值显示运放正常工作时,输出端所能提供的最大变化速率,当输出信号欲实现比这个速率还快的变化时,运放就不能提供了,导致输出波形变形——原本是正弦波就变成了三角波。
1.12 带宽指标
1.12.1 单位增益带宽(Unity Gain-bandwidth,UGBW)—f1
定义:运放开环增益/频率图中,开环增益下降到 1 时的频率。
理解:当输入信号频率高于此值时,运放的开环增益会小于 1,即此时放大器不再具备放大能力。这是衡量运放带宽的一个主要指标。
1.12.2 增益带宽积(Gain Bandwidth Product,GBP 或者 GBW)—f2
定义:运放开环增益/频率图中,指定频率处,开环增益与该指定频率的乘积。
理解:如果运放开环增益始终满足-20dB/10 倍频,也就是频率提高 10 倍,开环增益变
为 0.1 倍,那么它们的乘积将是一个常数,也就等于前述的“单位增益带宽”,或者“1Hz处的增益”。
在一个相对较窄的频率区域内,增益带宽积可以保持不变,基本满足-20dB/10 倍频的关系,我们暂称这个区域为增益线性变化区。
1.12.3 -3dB 带宽—f3
定义:运放闭环使用时,某个指定闭环增益(一般为 1 或者 2、10 等)下,增益变为低频增益的 0.707 倍时的频率。分为小信号(输出 200mV 以下)大信号(输出 2V)两种。
理解:它直接指出了使用该运放可以做到的-3dB 带宽。因为前述的两个指标,单位增益带宽和增益带宽积,其实都是对运放开环增益性能的一种描述,来自开环增益/频率图。而这个指标是对运放接成某种增益的放大电路实施实测得到的。
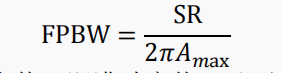
1.12.4 满功率带宽(Full Power Bandwidth) —f0
定义:将运放接成指定增益闭环电路(一般为 1 倍),连接指定负载,输入加载正弦波,输出为指标规定的最大输出幅度,此状态下,不断增大输入信号频率,直到输出出现因压摆率限制产生的失真(变形)为止,此频率即为满功率带宽。
理解:比-3dB 带宽更为苛刻的一个限制频率。它指出在此频率之内,不但输出幅度不会降低,且能实现满幅度的大信号带载输出。满功率带宽与器件压摆率密切相关:

其中,𝐴𝑚ax为运放能够输出的最大值(即满功率值)。
1.13 建立时间(Settling Time)
定义:运放接成指定增益(一般为 1),从输入阶跃信号开始,到输出完全进入指定误差范围所需要的时间。所谓的指定误差范围,一般有 1%,0.1%几种。
优劣范围:几个 ns 到几个 ms。
理解:建立时间由三部分组成,第一是运放的延迟,第二是压摆率带来的爬坡时间,第三是稳定时间。很显然,这个指标与 SR 密切相关,一般来说,SR 越大的,建立时间更小。
对运放组成的 ADC 驱动电路,建立时间是一个重要指标。

1.14 相位裕度(Phase margin,𝝋𝒎)和增益裕度
相位裕度定义:在运放开环增益和开环相移图中,当运放的开环增益下降到 1 时,开环相移值减去-180°得到的数值。
增益裕度定义:在运放开环增益和开环相移图中,当运放的开环相移下降到-180°时,增益 dB 值取负,或者是增益值的倒数。
理解:相位裕度和增益裕度越大,说明放大器越容易稳定。
1.15 电源电压抑制比(PSRR-Power Supply RejectionRatio)
定义:双电源供电电路中,保持负电源电压不变,输入不变,而让正电源产生变化幅度为 ΔVS,频率为 f 的波动。那么在输出端会产生变化幅度为 ΔVout,频率为 f 的波动。这等效于电源稳定不变情况下,在输入端施加了一个变化幅度为ΔVin ,频率为 f 的波动。则考虑到电路本身的噪声增益 GN,则
同样的方法,保持正电源电压不变,仅改变负电源电压,会得到 PSRR-。
有些运放在描述 PSRR 时,不区分单独改变某个电源电压,而仅给出 PSRR,这是指两个电源电压同时改变。注意,两个电源的改变方向是相反的——即保持正负电源的绝对值相等。
理解:电源电压抑制比,其含义是运放对电源上纹波或者噪声的抵抗能力。首先,正负电源具有不一定相同的 PSRR,其次,随着电源电压变化频率的提升,运放对这个变化的抵抗能力会下降。一般情况下,电源变化频率接近其带宽时,运放会失去对电源变化的抵抗——即单位增益情况下电源变化多少,输出就变化多少。
1.16 全谐波失真加噪声 THD+Noise
全谐波失真 (Total Harmonic Distortion-THD)本身是衡量一个时域波形与标准正弦波的差异程度的量,其原始定义为:时域波形中包含基波分量有效值 U1RMS,以及各次谐波分量 U2RMS、U3RMS、U4RMS……等,则

即全部谐波有效值(各次谐波有效值的平方和开根号)与基波有效值的比值。一般用%表
示,也可以用 dB 表示,即上述计算值取对数乘以 20。
1.17 热阻(Thermal resistance,θJA)和温度范围
热阻标准定义:是导热体阻止热量散失程度的描述,以 1W 发热源在导热路径两端形成的温度差表示,单位为℃/W。有以下常用的两种:
θJA,是指芯片热源结(Junction)与芯片周围环境(Ambient)(一般为空气)的热阻。
θJC,是指芯片热源结(Junction)与芯片管壳(Case)的热阻。
理解:对芯片来说,导热路径的两端分别为自身发热体与环境空气。热阻 θJA越大, 说明散热越困难,其温差也就越大。