贪吃蛇游戏系统
1.1全球游戏产业发展态势
当今时代,科技进步一日千里,互联网如汹涌浪潮般深度渗透至社会的各个角落。在这般磅礴的宏观背景下,全球游戏产业仿若被注入了无限活力,呈现出一片蓬勃发展的繁荣盛景。回首往昔,游戏从早期仅依托专业游戏主机,面向小众硬核玩家的单机游戏逐步发展而来。彼时,游戏的画面精细度受限,玩法也相对单一,受众群体较为狭窄。而如今,智能手机和平板电脑等移动设备的普及成为了游戏产业腾飞的翅膀,让游戏实现了全民参与的跨越。无论是紧张刺激、考验操作技巧的动作冒险游戏,还是让人沉浸其中、扮演虚拟角色开启奇幻人生的角色扮演游戏,亦或是需要运筹帷幄、布局谋划的策略经营游戏,以及主打轻松愉悦、锻炼思维的休闲益智游戏等,众多类型百花齐放,精准迎合了不同年龄层次、性别差异、兴趣爱好群体的娱乐诉求。权威游戏市场研究机构 Newzoo 的数据清晰地记录了这一辉煌历程:过去数年,全球游戏市场规模宛如一路高歌猛进的列车,以年均超 10% 的复合增长率持续扩张,截至 2023 年,总收入已冲破 2000 亿美元的大关,与之相伴的是玩家总数也如滚雪球般壮大,逾 30 亿人之多。其中,休闲益智类游戏恰似一股清新的溪流,凭借操作简便、上手快,玩家能够充分利用碎片化时间随时随地开启游玩的特性,吸引了大量非硬核玩家如潮水般涌入,在全球游戏市场中稳稳占据重要地位,更为贪吃蛇这类拥有悠久历史的经典休闲游戏的迭代升级提供了无比广阔的天地。
1.2休闲益智游戏细分市场格局
深入探究休闲益智游戏细分市场,内部竞争激烈程度超乎想象,格局呈现多元化态势。一方面,那些历经岁月洗礼、承载着数代人回忆的老牌经典游戏,如《俄罗斯方块》,自问世以来凭借简洁却极具魅力的玩法,让玩家沉醉于方块的堆叠与消除之间,数十年来积累了深厚的品牌知名度;还有《水果忍者》,以其畅快淋漓的切割水果动作和色彩鲜艳的画面,风靡全球,它们通过持续不断地更新游戏版本、巧妙推出衍生作品,如同牢牢扎根的参天大树,稳固着自身的市场份额。另一方面,新兴独立游戏开发者仿若雨后春笋般纷纷涌现,他们紧紧抓住时代脉搏,凭借天马行空的创意玩法构思以及社交媒体平台强大的传播优势异军突起。以《纪念碑谷》为例,其凭借令人惊叹的精妙绝伦的空间解谜与独具艺术魅力的视觉效果,玩家仿若穿梭于梦幻般的立体迷宫之中,在短时间内迅速风靡全球,吸引海量粉丝。当前,该细分市场集中度相对较低,CR5(前五名企业市场占有率)约 30%,这无疑意味着只要怀揣新颖创意、独特模式,仍有较大机会在这片充满机遇与挑战的领域中脱颖而出。贪吃蛇游戏作为休闲益智游戏的先驱,虽拥有深厚群众基础,在大众记忆中有着不可磨灭的印记,然而受传统玩法和呈现形式束缚,亟需创新变革以适应市场竞争。
1.3贪吃蛇游戏发展历程与现状
贪吃蛇游戏的起源可追溯至上世纪 70 年代,那是电子游戏尚在萌芽的初始阶段,它宛如一颗闪耀的新星横空出世。最初,它以简单到极致的黑白像素画面、基础操控逻辑登场,玩家仅需操控一条由寥寥像素点构成的蛇,在有限的方格世界里努力吃食物使其变长,同时小心翼翼地躲避边界以及自身不断延长的身躯,这般纯粹的趣味性却如磁石般迅速走红。历经数十年的风雨洗礼与技术演进,从早期只能在街机厅中伴随着 “嘟嘟” 声响操控的版本,到后来可以装进掌心、随时随地把玩的掌机版本,再到如今完美适配移动端,拥有多彩颜色的版本,玩法在一定程度上有所拓展,像是添加了不同风格的皮肤,让玩家的蛇可以变换造型,或是设置了简单的关卡模式,增加些许挑战难度。但整体而言,相较于游戏市场的飞速发展,其创新步伐显得缓慢拖沓。当下,贪吃蛇游戏在各大应用商店仍保有一定热度,尤其在休闲游戏榜单中时有露面,然而,面对日益多样化的玩家需求与竞品如潮水般的冲击,传统贪吃蛇游戏逐渐暴露出诸多棘手问题。
1.4传统贪吃蛇游戏局限及贪吃蛇游戏系统开发需求
1.4.1玩法单一性困境
传统贪吃蛇游戏的核心玩法在过去几十年间仿若被定格,未曾发生根本性改变。玩家一如既往地操控蛇在既定规则下移动、吃食物、避免碰撞,这般模式虽极易上手,能让玩家在初次接触时快速领略到游戏乐趣,但新鲜感转瞬即逝,很快便陷入单调乏味的循环。游戏缺乏深度策略设计,例如缺少依据玩家水平划分的不同难度梯度关卡,让新手玩家不至于望而却步,高手玩家也能持续感受到挑战;亦缺乏道具系统辅助玩家决策,使其在不远处的游戏困境中缺少扭转乾坤的手段。如此一来,难以长期吸引玩家沉浸其中,致使玩家留存率持续走低、游戏时长受限,根本无法适应现代玩家追求新鲜、刺激、富有挑战体验的需求。开发贪吃蛇游戏系统,可引入诸如限时挑战关卡、多蛇竞技模式、隐藏任务解锁等创新玩法,为玩家带来全新体验,提升游戏可玩性与吸引力。比如限时挑战关卡,玩家需在规定时间内达到特定分数,这既考验玩家的操作熟练度,又增添了紧张刺激感;多蛇竞技模式则让多名玩家操控各自的蛇在同一地图中竞争,相互干扰、抢夺食物,极大地增强了游戏的互动性与趣味性。
1.4.2视觉呈现短板
回溯贪吃蛇游戏早期,受限于当时硬件条件的重重制约,画面呈现只能用粗糙简陋来形容,仅仅是简单的像素勾勒出蛇与食物、边界等元素。即便到了如今,在移动端有了一定优化,色彩变得鲜艳些,图形稍显细腻,但相较于主流游戏市场中那些拥有精美 3D 高清建模、炫酷炸裂特效加持的竞品,视觉效果的差距仿若一道鸿沟。单调的色彩搭配、简单的图形构造难以营造出身临其境的沉浸感,对于追求视觉盛宴、热衷于精美画面的新玩家而言,传统贪吃蛇游戏的视觉呈现无疑缺乏吸引力;即便是那些对游戏怀有深厚情怀的老玩家,在体验过诸多现代感十足的游戏后,若重新回归传统贪吃蛇,也很难再获得全新的感官刺激。开发新系统,能运用现代美术设计理念,实现高清画质、精美特效、流畅动画,从视觉上重新吸引玩家,增强游戏竞争力。例如采用细腻的 3D 建模技术重塑蛇身与食物,使其外观更加逼真生动;添加光影效果,让游戏场景随着蛇的移动产生光影变化,营造出更具层次感的空间感;利用粒子特效来呈现食物被吞食的瞬间,增添视觉冲击力。
1.4.3社交互动匮乏
在当代社会,游戏的社交属性已然成为重中之重,玩家们内心深处无比热衷与好友互动竞技、分享游戏过程中的成就与喜悦。然而,传统贪吃蛇游戏大多设计为单机模式,仿若一座孤岛,缺少联机对战功能,让玩家们无法与朋友们实时一较高下,感受竞技的激情与乐趣;缺乏排行榜竞争机制,使得玩家即便取得了高分,也如同锦衣夜行,无法在好友群体中展示自己的实力与荣耀;而社交分享功能的缺失,更是切断了玩家间交流游戏心得、互相安利的纽带,严重限制了游戏在社交网络中的传播扩散速度。这般社交互动的匮乏,使得游戏无法借助社交网络强大的力量实现用户裂变增长,急需搭建诸如多人实时对战房间、全球排行榜、好友组队挑战、一键分享精彩瞬间等丰富多元的社交模块,增强玩家间互动与粘性,借助社交网络实现用户裂变增长。以多人实时对战房间为例,玩家可以邀请好友或随机匹配其他玩家,一同在紧张刺激的对战环境中操控蛇争夺食物,胜利后还能获得荣誉勋章等奖励,激发玩家的竞争欲望;全球排行榜则能让玩家看到自己在全世界玩家中的排名,促使他们不断挑战自我,追求更高的名次;好友组队挑战模式下,玩家可以和好友默契配合,共同完成一些特殊任务,增进彼此间的友谊,同时也提升了游戏的趣味性。
1.4.4数据驱动运营缺失
身处大数据时代,游戏运营优化高度依赖精准的数据支撑。传统贪吃蛇游戏却仿若置身事外,缺乏对玩家行为数据收集分析的有效能力。开发者不清楚玩家偏好的关卡类型、集中游戏的时段、流失的具体原因等关键信息,只能凭借主观经验对游戏进行调整,这般盲人摸象式的做法难以直击痛点,优化效果大打折扣。无法依据数据精准优化玩法、推送更新,难以提升玩家满意度、持续拓展市场,亟待引入信息化数据分析系统,实时采集玩家在游戏中的操作行为、停留时长、付费意愿等海量数据,通过大数据分析、人工智能算法进行深度挖掘,实现智能运营决策,让游戏时刻贴合玩家需求,永葆生机。比如通过数据分析发现玩家在周末晚上的游戏活跃度较高,那么就可以在这个时段推出限时优惠活动或特殊关卡,吸引玩家参与;又如了解到玩家对某类关卡的通过率较低,就针对性地优化关卡设计,降低难度,提高玩家的游戏体验。
开发贪吃蛇游戏系统具有诸多便捷之处。从技术层面看,如今游戏开发引擎成熟,如 Unity、Unreal Engine 等,具备丰富插件与工具,可大幅缩短开发周期、降低技术门槛,让创意快速落地。开发团队能利用这些工具轻松实现复杂玩法、精美视觉效果与稳定社交功能。以 Unity 引擎为例,它提供了大量预制组件,涵盖物理模拟、动画制作、网络通信等多个方面,开发者只需简单拖拽、配置,就能搭建起游戏的基本框架,大大节省了开发时间。从市场推广角度,贪吃蛇拥有广泛认知度,新系统凭借创新性玩法、视觉升级与社交强化,极易引发玩家关注与传播,可通过社交媒体、应用商店推荐等渠道迅速打开市场,以较小投入获得较大回报,助力游戏在竞争激烈的休闲益智市场脱颖而出。比如在社交媒体上发布一段新玩法的演示视频,凭借贪吃蛇的品牌影响力和新奇玩法,很容易吸引大量用户点赞、评论、转发,迅速提升游戏的知名度;应用商店也会因为游戏的创新性而给予推荐位,进一步扩大游戏的曝光度,吸引更多潜在玩家下载体验。
2.1结构化设计理念的应用
2.1.1模块化分解原则
贪吃蛇游戏依据功能特性拆解为游戏核心逻辑、图形渲染、用户交互、关卡与难度管理、音效管理等模块,各模块分工明确且紧密协作。游戏核心逻辑模块把控蛇的移动、食物生成、碰撞检测等基础规则,确保游戏顺畅运行;图形渲染模块专注将游戏元素以精美画面呈现,从蛇身造型、食物样式到场景背景,利用现代图形技术绘制,提升视觉体验;用户交互模块负责接收玩家输入指令,适配不同设备操作方式,如触屏滑动、键盘按键,实现灵敏操控;关卡与难度管理模块精心设计多样化关卡,随关卡递增调整地图布局、食物出现频率、蛇的移动速度等参数,提升挑战梯度;音效管理模块依据游戏进程播放相应音乐音效,如进食音效、碰撞音效、过关音乐,增强沉浸感。模块化设计便于代码维护、升级与功能拓展,满足玩家日益增长的游戏需求。
2.1.2层次化架构设计
游戏架构分层构建,含表现层、逻辑层、数据层,打造高效运行体系。表现层作为玩家直接接触界面,以简洁美观布局展示游戏场景、分数、生命值等信息,提供流畅动画过渡与视觉反馈,适配多平台屏幕分辨率;逻辑层处于中间枢纽,封装核心算法,像蛇的 AI 路径规划、游戏胜利失败判定、道具触发效果计算,协调各模块数据交互,保障游戏逻辑严谨;数据层负责存储管理游戏数据,涵盖玩家历史得分、关卡解锁进度、游戏设置偏好,以安全高效方式读写,为游戏运行提供数据支撑,实现各层松耦合,提升开发效率与整体性能。
2.2核心功能模块设计
2.2.1游戏核心逻辑模块
蛇身移动控制:精心设计蛇的移动算法,玩家操控下蛇头依指令方向前进,蛇身其余部分跟随,确保移动流畅自然,模拟真实生物运动轨迹。支持多方向快速切换,防止卡顿延迟,且针对不同设备优化操控响应,触屏设备精准识别滑动手势,键盘操作实现无延迟按键响应,让玩家随心掌控蛇的走向。
食物生成与碰撞检测:随机在游戏地图生成食物,位置分布均衡,避免集中或边缘扎堆。实时检测蛇头与食物碰撞,碰撞瞬间触发食物消失、蛇身增长、加分音效播放等系列动作,同时依据当前关卡难度与玩家得分,智能调整食物生成频率,维持游戏节奏与挑战性。
碰撞判定与游戏结束处理:精准判断蛇头与边界、蛇身自身碰撞,一旦触碰立即触发游戏结束流程。游戏结束时定格画面,清晰展示最终得分、历史最佳成绩对比,提供分享、重玩选项,鼓励玩家挑战自我,记录成长轨迹。
2.2.2图形渲染模块
蛇身与食物视觉设计:运用高清 3D 建模或精致 2D 矢量图形打造蛇身与食物,蛇身可设计多种皮肤风格,如卡通、科幻、复古,满足玩家个性化审美。食物造型丰富,依据关卡主题变换,水果关卡呈现各类鲜果,节日关卡融入特色元素,搭配光影效果,凸显立体感与质感。
游戏场景绘制:构建多元游戏场景,从经典纯色方格到森林、沙漠、太空等主题场景,背景动态变化,如星空闪烁、树叶摇曳,增强沉浸感。场景绘制兼顾性能优化,采用分层渲染、纹理压缩技术,适配不同硬件设备,确保低端机流畅运行,高端机展现极致画面。
动画效果实现:为蛇的移动、进食、成长设计流畅动画过渡,蛇身蜿蜒前行自然流畅,进食时嘴巴张合逼真,成长过程无缝衔接。利用粒子特效展现加分、升级特效,光芒闪烁、粒子喷发,瞬间抓住玩家眼球,提升游戏兴奋点。
2.2.3用户交互模块
操作方式适配:针对移动端,优化触屏操控,提供虚拟摇杆、滑动手势两种操控模式,玩家自由选择。虚拟摇杆模拟传统手柄,方向控制精准;滑动手势贴合触屏习惯,玩家手指滑动即可操控蛇向对应方向移动。对于 PC 端,完美适配键盘方向键与 WASD 按键操作,支持自定义按键映射,满足玩家个性化操作需求。
界面交互设计:设计简洁直观的游戏界面,主界面展示游戏图标、开始游戏、设置、排行榜等按钮,布局合理,易于点击。游戏过程中,分数、关卡、暂停按钮等信息实时显示在屏幕显眼位置,不遮挡游戏视野,玩家随时掌控游戏进程,暂停界面提供详细操作指南、游戏帮助,新手玩家轻松上手。
反馈机制设计:玩家操作后给予即时视觉听觉反馈,蛇头转向时箭头闪烁提示,移动按键按下有震动反馈;进食、升级时有欢快音效与特效提示,碰撞失败有警示音效,让玩家通过多感官清晰了解游戏状态,提升交互体验。
2.2.4关卡与难度管理模块
关卡设计:打造多主题关卡,如丛林冒险、冰雪奇缘、机械迷城,各关卡地图布局独具匠心,障碍分布、通道宽窄、食物隐藏点不同,增加探索乐趣。关卡流程循序渐进,前期引导玩家熟悉操作,后期提升难度,考验技巧策略。
难度递增机制:依据玩家通关进度与得分,自动调整游戏难度。从蛇的移动速度、食物获取难度、障碍物出现频率等维度逐步提升,新手玩家稳步成长,高手玩家持续挑战,维持游戏新鲜感与长期可玩性。
关卡解锁与重置:初始开放部分基础关卡,玩家通关或达到特定分数解锁后续关卡,鼓励持续挑战。同时提供关卡重置功能,玩家可重新体验已通关关卡,冲击更高分,挖掘关卡隐藏要素,增加重复游玩价值。
2.2.5音效管理模块
背景音乐选择:依据游戏主题与关卡氛围搭配背景音乐,如丛林关卡播放神秘丛林音效,节奏轻快,融入鸟鸣虫叫;紧张关卡采用激昂鼓点,加速心跳节奏,带动玩家情绪,增强沉浸感。
音效设计:针对蛇的进食、碰撞、成长等动作设计专属音效,进食清脆 “咔嚓” 声,碰撞沉闷撞击声,成长激昂升级音,音效与画面紧密配合,强化玩家感官刺激。音效音量独立调节,玩家可依喜好自定义,适配不同游戏场景需求。
2.3数据库设计要点
2.3.1数据模型构建与实体关系
围绕游戏元素构建数据模型,以玩家、游戏记录、关卡、道具、皮肤实体表为核心。玩家表存储玩家基本信息、历史得分、最高关卡等;游戏记录表关联玩家与关卡,详细记录每次游戏过程数据,如通关时间、得分明细、操作轨迹;关卡表包含关卡属性、难度系数、解锁条件;道具表记录道具类型、功能、获取途径;皮肤表存储皮肤名称、样式、解锁方式。通过主键外键精准关联,如玩家表与游戏记录表一对多关联,关卡表与游戏记录表多对多关联,确保数据完整性,优化查询性能,为游戏数据分析与玩家成长体系提供支撑。
2.3.2数据安全保障策略
多维度保障数据安全。访问控制层面,依据玩家、管理员角色赋予不同权限,玩家能读写自身游戏数据,管理员可管理全局数据,防止数据篡改滥用;数据传输存储加密,玩家登录密码、支付信息等敏感数据加密处理,防止信息泄露;完善数据备份恢复机制,定期全量备份游戏数据至云端与本地,结合日志备份实现实时增量恢复,应对设备故障、数据丢失风险,保障玩家游戏资产安全与游戏运营连续性。
2.3.3数据性能优化方案
全流程优化数据性能。数据库选型考量游戏规模与并发需求,小型独立游戏可选轻量级 SQLite,大型联网游戏则选 MySQL、MongoDB 等高性能数据库。表结构设计遵循范式精简原则,合理冗余关键数据提升查询效率,如玩家常用数据冗余在玩家表。索引创建聚焦频繁查询字段,如玩家得分、关卡解锁状态,利用覆盖索引、联合索引优化复杂查询。查询语句优化运用存储过程、视图封装复杂逻辑,参数化查询防 SQL 注入,提升执行效率。硬件资源配置按需弹性扩展,游戏上线初期适配基础配置,随着玩家增多升级 CPU、内存、带宽,利用负载均衡技术分发流量,确保游戏响应敏捷,高峰时段稳定运行。
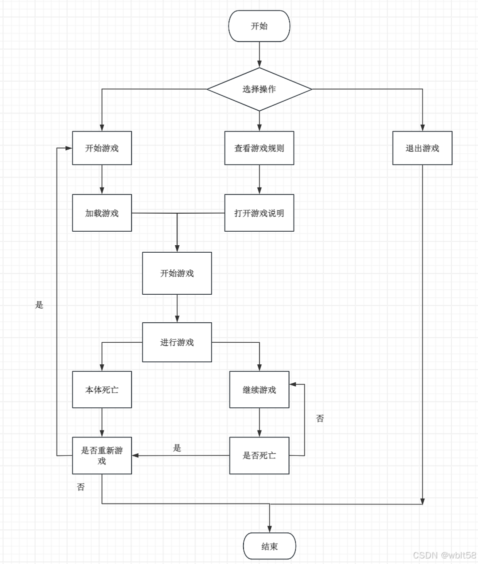
4.1程序模块
模块一:开始界面
1.开始游戏 2.显示游戏规则和秘籍 3.退出游戏 4.打印游戏本体和地图
模块二:游戏进行
1.正常游戏 2.本体死亡 3.游戏暂停
模块三:游戏记录
1.最高分记录 2.本次游戏记录
4.2流程图

四、程序清单
4.1模块一
// 游戏开始界面函数
void startInterface() {
// 清屏
system("cls");
// 输出彩色的游戏开始界面信息
setColor(12); // 高亮蓝色
printf("******************************************************\n");
setColor(15); // 高亮白色
printf("* *\n");
setColor(10); // 高亮绿色
printf("* 欢迎来到超级刺激的冒险小游戏! *\n");
setColor(15); // 高亮白色
printf("* *\n");
setColor(4); // 蓝色
printf("* 按 1 开始贪吃蛇游戏 *\n");
setColor(9); // 高亮红色
printf("* 按 2 查看详细的游戏规则和秘籍 *\n");
setColor(11); // 高亮黄色
printf("* 按 3 退出游戏,期待下次再见! *\n");
setColor(15); // 高亮白色
printf("* *\n");
setColor(12); // 高亮蓝色
printf("******************************************************\n");
char choice;
// 读取用户的输入
scanf("%c", &choice);
getchar(); // 消耗掉换行符
// 根据用户的选择进行不同的操作
switch (choice) {
case '1':
setColor(9); // 高亮红色
printf("\n游戏加载中,正在切入\n");
Sleep(2000);
printf("\n正在搭建世界\n");
Sleep(3000);
system("cls");
max = 0;
grade = 0; // 初始化变量
system("title 贪吃蛇"); // 设置cmd窗口的名字
system("mode con cols=84 lines=23"); //设置cmd窗口的大小
HideCursor(); // 隐藏光标
ReadGrade(); // 从文件读取最高分到max变量
InitInterface(); // 初始化界面
InitSnake(); // 初始化蛇
srand((unsigned int)time(NULL)); // 设置随机数生成起点
RandFood(); // 随机生成食物
DrawSnake(1); // 打印蛇
Game(); // 开始游戏
break;
case '2':
setColor(9); // 高亮红色
printf("\n游戏规则如下:\n");
printf("这是一个贪吃蛇游戏,你需要控制蛇去吃食物,蛇会不断变长,当蛇头碰到墙或自己的身体时游戏结束。\n");
// 更多游戏规则的详细说明
Sleep(10000);
system("cls");
max = 0;
grade = 0; // 初始化变量
system("title 贪吃蛇"); // 设置cmd窗口的名字
system("mode con cols=84 lines=23"); //设置cmd窗口的大小
HideCursor(); // 隐藏光标
ReadGrade(); // 从文件读取最高分到max变量
InitInterface(); // 初始化界面
InitSnake(); // 初始化蛇
srand((unsigned int)time(NULL)); // 设置随机数生成起点
RandFood(); // 随机生成食物
DrawSnake(1); // 打印蛇
Game(); // 开始游戏
break;
case '3':
printf("\n期待你的下一次游玩。\n");
Sleep(2000);
exit(0); // 退出游戏
default:
setColor(9); // 高亮红色
printf("\n无效的选择,请重新输入。\n");
Sleep(3000);
startInterface(); // 重新显示开始界面
break;
}
}
4.2模块二
// 从文件读取最高分
void ReadGrade()
{
FILE* pf = fopen("贪吃蛇最高得分记录.txt", "r"); // 以只读的方式打开文件
if (pf == NULL) // 打开文件失败
{
pf = fopen("贪吃蛇最高得分记录.txt", "w"); // 以只写的方式打开文件
fwrite(&max, sizeof(int), 1, pf); // 将max写入文件(此时max为0),即将最高得分初始化为0
}
fseek(pf, 0, SEEK_SET); // 使文件指针pf指向文件开头
fread(&max, sizeof(int), 1, pf); // 读取文件当中的最高得分到max当中
fclose(pf); // 关闭文件
pf = NULL; // 文件指针及时置空
}
// 更新最高分到文件
void WriteGrade()
{
FILE* pf = fopen("贪吃蛇最高得分记录.txt", "w"); // 以只写的方式打开文件
if (pf == NULL) // 打开文件失败
{
printf("保存最高得分记录失败\n");
exit(0);
}
fwrite(&grade, sizeof(int), 1, pf); // 将本局游戏得分写入文件当中
fclose(pf); // 关闭文件
pf = NULL; // 文件指针及时置空
}
4.3模块三
// 判断得分与结束
void JudgeFunc(int x, int y)
{
// 若蛇头即将到达的位置是食物,则得分
if (face[snake.y + y][snake.x + x] == FOOD)
{
snake.len++; // 蛇身加长
grade += 10; // 更新当前得分
color(7); // 颜色设置为白色
CursorJump(0, ROW);
printf("当前得分:%d", grade); // 重新打印当前得分
RandFood(); // 重新随机生成食物
}
// 若蛇头即将到达的位置是墙或者蛇身,则游戏结束
else if (face[snake.y + y][snake.x + x] == WALL || face[snake.y + y][snake.x + x] == BODY)
{
Sleep(1000); // 留给玩家反应时间
system("cls"); // 清空屏幕
color(7); // 颜色设置为白色
CursorJump(2 * (COL / 3), ROW / 2 - 3);
if (grade > max)
{
printf("恭喜你打破最高记录,最高记录为%d", grade);
WriteGrade();
}
else if (grade == max)
{
printf("与最高记录相同,加油创造最高记录", grade);
}
else
{
printf("前路慢慢,还需努力,当前与最高记录相差%d", max - grade);
}
CursorJump(2 * (COL / 3), ROW / 2);
printf("GAME OVER");
while (1) // 询问玩家是否再来一局
{
char ch;
CursorJump(2 * (COL / 3), ROW / 2 + 3);
printf("是否重整旗鼓,再来一局?(y/n):");
scanf("%c", &ch);
if (ch == 'y' || ch == 'Y')
{
system("cls");
main();
}
else if (ch == 'n' || ch == 'N')
{
CursorJump(2 * (COL / 3), ROW / 2 + 5);
exit(0);
}
else
{
CursorJump(2 * (COL / 3), ROW / 2 + 5);
printf("选择错误,请再次选择");
}
}
}
}
五、设计结果说明
模块一:
游戏开始模块:实现了游戏正常开始,提供了游戏开始、游戏说明与攻略、和退出游戏的功能,确保了游戏的正常运行,为游戏开始提供了稳定基础。
功能描述:该开始界面函数不仅为玩家提供了游戏的初始引导和操作入口,还巧妙地在不同操作选择之后完成了相应的游戏环境准备工作。无论是开始游戏还是查看规则,后续的操作都涉及到对游戏状态的初始化和必要信息的准备,如最高分的读取、界面的设置、蛇的初始化、食物的生成等。它是游戏开始的枢纽,通过 switch 语句将玩家的不同需求引导至不同的处理流程,同时保证了操作的完整性和连贯性。在显示游戏加载过程时,使用 Sleep 函数给玩家带来了一定的等待感,增强了游戏的代入感。对于无效输入,会有相应的提示,并通过函数的递归调用重新回到开始界面,给予玩家重新操作的机会,避免玩家因误操作而无法正常进入游戏。这一系列的操作流程,为玩家提供了一个完整的、流畅的、易于操作的游戏进入体验,是整个贪吃蛇游戏启动和引导的关键部分,确保玩家可以顺利开启一场精彩的贪吃蛇冒险之旅。
模块二:
信息储存模块:构建完整的信息储存体系,将每次所获得的分数依次记载,提高了玩家的竞争力,增加了游戏的魅力。
功能描述:这两个函数在整个贪吃蛇游戏的数据管理中起着至关重要的作用。它们确保了游戏的最高分能够在不同游戏会话之间得以保存和更新,为玩家提供了一种持续挑战自我的动力。ReadGrade 函数在游戏开始时调用,能让玩家知晓之前所达到的最高分数,这不仅是对玩家以往游戏成果的一种记录,也为玩家在当前游戏中设立了一个超越的目标,增加了游戏的竞争性和趣味性。而 WriteGrade 函数在游戏结束时可能被调用,若玩家的当前得分高于历史最高分,就会将新的最高分更新到文件中,使得玩家在下次开始游戏时能够看到自己的进步,从而提高玩家对游戏的参与度和粘性。通过文件的存储和读取,玩家的游戏成就得以长久保存,即使关闭游戏后再次打开,之前的记录也不会丢失。这种文件操作机制就如同一个记忆存储库,将玩家的成就与游戏的历史紧密联系在一起,为玩家带来更加丰富和持久的游戏体验。同时,文件操作中的错误处理机制,确保了程序在文件打开失败时能够及时给出提示或终止程序,避免了因文件操作异常导致的程序崩溃,保证了整个游戏的稳定性和可靠性。
模块三:
游戏逻辑判断模块:通过游戏判断模块,调整游戏逻辑,提升游戏整体体验感觉,为游戏后续发行、游戏组合优化提供了基础。
功能描述:JudgeFunc 函数是贪吃蛇游戏中核心的游戏逻辑判断函数,它贯穿游戏过程,决定着游戏的得分和结束逻辑。一方面,通过对蛇头位置的判断,巧妙地将吃食物和得分关联起来,激励玩家控制蛇不断去吃食物以获得更高的分数,同时延长蛇身增加游戏难度。这种得分机制促使玩家不断挑战自我,提升游戏的趣味性和竞争性。另一方面,当游戏失败时,它不仅仅只是简单地结束游戏,还会根据玩家的得分情况给予相应的反馈,让玩家清楚自己的游戏表现与历史最高得分的关系,增强了玩家对游戏的参与感和成就感。并且通过询问玩家是否再来一局的操作,为玩家提供了继续游戏的机会,增加了游戏的可重复性和玩家的粘性。在游戏结束后,通过不同的输入处理,让玩家可以自由决定是否重新开始,既考虑到了玩家的不同需求,也确保了程序流程的完整性。同时,该函数在游戏的整个生命周期中,与其他函数紧密配合,如更新最高得分的 WriteGrade 函数,共同维护着游戏的状态和玩家的体验,确保游戏的流畅性和连贯性。
六、总结
在投身于贪吃蛇游戏制作的这段学习历程中,我如同在知识的海洋里扬帆远航,历经风浪,终揽胜景,收获颇丰。以下将从学习体会与收获、对课程设计的认识、面临的挑战与应对以及个人建议四个维度进行深入剖析。
6.1学习体会与收获
6.1.1编程技能进阶
贪吃蛇游戏虽看似简约,实则蕴含诸多编程精髓。从基础语法的夯实到算法逻辑的精妙运用,全方位锤炼了我的编程功底。起初,仅是定义蛇身坐标、操控其移动方向,便涉及变量、数据类型与控制结构的精细调配。随着项目推进,实现蛇身自动增长、食物随机生成与精准碰撞检测时,对面向对象编程的领悟陡然加深。类与对象仿若灵动棋子,各司其职又协同作战,将复杂游戏逻辑拆解为可管理的模块,代码复用与扩展性大幅跃升。函数封装成为组织代码的得力工具,使程序结构清晰明了,犹如搭建稳固积木大厦,每一块都承载特定功能,又能按需组合,编程思维渐趋成熟。
6.1.2问题解决之道
开发全程荆棘丛生,错误与漏洞频现。语法报错似警示红灯,逻辑偏差如迷途岔路,时刻考验应变能力。凭借调试工具抽丝剥茧,逐行排查代码,探寻错误根源。遇难题时,资料查阅、技术论坛求助成为攻坚利器。曾为解决蛇在高速移动下的闪烁问题,遍寻资料,终从图形渲染原理觅得良方,调整帧率与画面更新机制得以化解。一次次挫折化为成长养分,让我面对未知问题时,能冷静剖析,多途径探寻解法,自主解决问题的羽翼渐丰,信心亦与日俱增。
6.1.3设计思维蜕变
从构思游戏雏形至雕琢细节,设计思维历经重塑。伊始,聚焦玩法核心,考量如何让蛇移动自然、食物生成合理,这是功能设计的奠基。渐次深入,着眼玩家体验,思索界面布局、操作反馈,力求简洁直观、灵敏响应,确保游戏上手轻松、沉浸感足。关卡设计更是思维升华,权衡难度曲线,依玩家熟练度循序渐进,融入创意主题,使游戏耐玩有趣。这一过程,学会从用户视角审视作品,权衡功能、美学与趣味性,恰似雕琢艺术品,设计理念扎根心底。
6.1.4团队协作启蒙
有幸团队协作时,沟通协调之力尽显。成员分工明确,各司其职负责图形、逻辑、音效等模块,宛如交响乐团各奏其音。定期交流确保无缝对接,共享进度、共商难题,思维碰撞激发创意火花。曾在整合模块时遭遇接口冲突,众人围坐研讨,权衡利弊寻得最优解,项目稳步推进。学会倾听他人见解,于团队中找准定位,发挥优势,合力铸就作品,团队凝聚力与协作素养悄然养成。
6.2对本次课程设计的认识
6.2.1知识融合熔炉
课程设计宛如强力熔炉,将课堂所学编程、算法、设计等知识熔于一炉。贪吃蛇游戏制作是理论落地的试验田,以实践促使知识内化。往昔书本抽象概念,在此具象化为可触代码、可视画面。借由项目,深切领会数据结构运用如何优化性能,算法抉择怎样左右游戏逻辑,理论知识不再悬浮,而是深植实践土壤,生根发芽,茁壮成长为解决实际问题的技能之树。
6.2.2能力培育摇篮
它更是培育综合素养的温床。耐心与专注于代码调试中打磨,面对繁杂错误,心无旁骛、持之以恒方能拨云见日;创新思维在玩法设计、视觉呈现中孕育,突破传统,为游戏注入新奇活力;抗压能力在项目截止期限迫近时砥砺,学会在高压下有条不紊推进任务。课程设计全程,是能力淬炼之旅,为未来职业征途铺就坚实砖石。
6.2.3行业认知窗口
从侧面为我们打开游戏行业洞察之窗。亲身体验游戏从无到有的艰辛,领悟创意构思、技术实现、市场打磨的全流程。知晓玩家喜好、竞品优劣如何左右产品走向,理解团队协作、迭代优化在行业的核心地位。虽为小型项目,却似管中窥豹,初涉游戏行业门道,明晰自身发展方向与提升路径。
6.3制作过程中面临的挑战与应对
6.3.1技术瓶颈
图形渲染初期,期望打造精美蛇身与场景,却受限于图形 API 知识匮乏,画面粗糙、动画卡顿。为此,潜心钻研图形编程文档,参考开源游戏代码,从基础绘制原理学起,逐步掌握纹理映射、光影处理技巧,经反复调试,实现流畅视觉呈现。
6.3.2时间管理
项目推进中,功能拓展常致时间失控,临近节点手忙脚乱。痛定思痛,引入项目管理工具,制定详细任务清单与甘特图,为每个功能分配合理时间,依优先级排序,严格执行。定期复盘进度,灵活调整计划,确保项目按时交付,时间把控渐入佳境。
6.3.3创意落地
脑海中创意纷飞,落实时却困难重重。如构思独特关卡主题,受技术局限难以完美复刻。此时,与团队研讨可行性,折衷优化,以现有技术最大限度还原创意核心,或留存创意待技术升级后再续,确保创意持续流淌,不被现实羁绊。
6.4个人建议
6.4.1资源拓展
课程配套可丰富拓展资源,如引入经典游戏开源代码剖析,对比学习不同架构与设计模式优劣;邀请业界资深开发者线上讲座,分享前沿技术、项目实战经验,拓宽视野,紧跟行业潮流。
6.4.2评价多元
评价体系兼顾多元化,除功能实现考核,融入用户体验、创意新颖度、团队协作贡献度指标。鼓励学生从玩家视角打磨作品,激发创新潜能,强化团队合作意识,使评价更贴合实际开发诉求。
6.4.3迭代优化
倡导项目后续迭代,预留时间让学生依反馈优化游戏。从性能提升、玩法拓展、界面美化多维度完善作品,体会持续改进魅力,培养精益求精职业精神,为踏入职场蓄能。
回顾贪吃蛇游戏制作全程,恰似一场知识与技能的盛宴,在磨砺中成长,于实践中蜕变,为未来学习与职业发展绘就斑斓底色,感恩这段充实旅程。

2万+

被折叠的 条评论
为什么被折叠?



