一、简介
该方法最早是由Omasa等人提出,是根据激光雷达光束与树木的接触频率来计算光束截获概率。总结来讲具体过程分为三步:
1、 从三维体素模型网格里判断是否有点,有点的网格标记为1,没点的网格标记为0,没点的网格表明冠层中的空隙。详情可参阅:https://blog.csdn.net/dayuhaitang1/article/details/122794348。
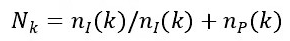
2、求算叶面积密度(Leaf area denstiy,LAD),公式如下所示:

该方法最早是由Omasa等人提出,是根据激光雷达光束与树木的接触频率来计算光束截获概率。总结来讲具体过程分为三步:
1、 从三维体素模型网格里判断是否有点,有点的网格标记为1,没点的网格标记为0,没点的网格表明冠层中的空隙。详情可参阅:https://blog.csdn.net/dayuhaitang1/article/details/122794348。
2、求算叶面积密度(Leaf area denstiy,LAD),公式如下所示: