在有锚框的目标检测算法中,如何衡量某个锚框较好地覆盖了图像中的目标物体?在该目标的真实边界框已知时,一种直观的方法是衡量锚框和真实边界框之间的相似度。
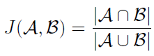
Jaccard系数(Jaccard index)可以衡量两个集合的相似度。给定集合A和B,它们的Jaccard系数为
实际上,我们可以把边界框内的像素区域看成是像素的集合。这样,可以用两个边界框的像素集合的Jaccard系数衡量这两个边界框的相似度。在这种情况下,通常将Jaccard系数称为交并比(Intersection over Union,IoU),即两个边界框相交面积与相并面积的比值。
1、边界框的交集
给定两个边界框A、B的四个顶点的坐标,
A
(
x
1
m
i
n
,
y
1
m
i
n
,
x
1
m
a
x
,
y
1
m
a
x
)
A(x_{1min}, y_{1min}, x_{1max}, y_{1max})
A(x1min,y1min,x1max,y1max)、
B
(
x
2
m
i
n
,
y
2
m
i
n
,
x
2
m
a
x
,
y
2
m
a
x
)
B(x_{2min}, y_{2min}, x_{2max}, y_{2max})
B(x2min,y2min,x2max,y2max),则相交得到的矩形四个顶点的坐标为
(
m
a
x
(
x
1
m
i
n
,
x
2
m
i
n
)
,
m
a
x
(
y
1
m
i
n
,
y
2
m
i
n
)
,
m
i
n
(
x
1
m
a
x
,
x
2
m
a
x
)
,
m
i
n
(
y
1
m
a
x
,
y
2
m
a
x
)
)
(max(x_{1min},x_{2min}), max(y_{1min},y_{2min}),min(x_{1max},x_{2max}),min(y_{1max},y_{2max}))
(max(x1min,x2min),max(y1min,y2min),min(x1max,x2max),min(y1max,y2max))
如下图所示:

def intersect(box_a, box_b):
'''
Args:
box_a: Ground truth bounding box: shape[N, 4]
box_b: Priors bounding box: shape[M, 4]
'''
N = box_a.size(0)
M = box_b.size(0)
# 左上角,选出最大值
LT = torch.max(
box_a[:, :2].unsqueeze(1).expand(N, M, 2), #(N,2)-->(N,1,2)-->(N,M,2)
box_b[:, :2].unsqueeze(0).expand(N, M, 2), #(M,2)-->(M,1,2)-->(N,M,2)
)
# 右下角,选出最小值
RB = torch.min(
box_a[:, 2:].unsqueeze(1).expand(N, M, 2), #(N,2)-->(N,1,2)-->(N,M,2)
box_b[:, 2:].unsqueeze(0).expand(N, M, 2), #(M,2)-->(M,1,2)-->(N,M,2)
)
wh = RB - LT
wh[wh < 0] = 0 # 两个box没有重叠区域
inter = wh[:, :, 0] * wh[:, :, 1] # A∩B
return inter
2、边界框的并集
def unionset(box_a, box_b):
N = box_a.size(0)
M = box_b.size(0)
# box_a和box_b的面积
area_a = (box_a[:, 2]-box_a[:, 0]) * (box_a[:, 3]-box_a[:, 1]) #(N,)
area_b = (box_b[:, 2]-box_b[:, 0]) * (box_b[:, 3]-box_b[:, 1]) #(M,)
# 把面积的shape扩展为inter一样的(N,M)
area_a = area_a.unsqueeze(1).expand(N, M)
area_b = area_b.unsqueeze(0).expand(N, M)
return area_a + area_b - intersect(box_a, box_b)
3、Jaccard系数
def jaccard(box_a, box_b):
inter = intersect(box_a, box_b)
union = unionset(box_a, box_b)
return inter / union
# 测试代码
if __name__ == "__main__":
box_a = torch.Tensor([[2,1,4,3],[2,2,2,2]])
box_b = torch.Tensor([[3,2,5,4],[2,1,5,7],[4,2,9,1]])
print('IOU = ',jaccard(box_a, box_b))
在有锚框的目标检测算法中,可通过衡量锚框和真实边界框的相似度判断锚框对目标物体的覆盖情况。Jaccard系数能衡量两个集合相似度,将边界框内像素区域视为集合,其Jaccard系数即交并比(IoU),还介绍了边界框交集、并集的相关内容。
6182

被折叠的 条评论
为什么被折叠?



