1. 信号的正交分解
信号分解的目的:1. 将任意信号分解为单元信号之和,从而考察信号的特性
\quad \quad \quad \quad \quad \quad \quad
2. 简化电路分析与计算,总响应=单元响应之和
1. 矢量的正交分解
- 分解原则:剩余部分的误差分量最小

- 正交分解
平面中任一矢量可分解为x,y二方向矢量
空间中任一矢量可分解为x,y,z三方向矢量
一个三维空间矢量必须用三个正交矢量来表示,如果用二维矢量表示会出现误差
2. 信号的正交分解
f
1
(
t
)
,
f
2
(
t
)
f_1(t), f_2(t)
f1(t),f2(t)为任意两个信号
f
1
(
t
)
=
C
12
f
2
(
t
)
+
f
e
(
t
)
f_1(t)=C_{12}f_2(t)+f_e(t)
f1(t)=C12f2(t)+fe(t)
若
f
1
(
t
)
≈
C
12
f
2
(
t
)
f_1(t) \approx C_{12}f_2(t)
f1(t)≈C12f2(t) 则:
误差函数
f
e
(
t
)
=
f
1
(
t
)
−
C
12
f
2
(
t
)
f_e(t) = f_1(t)-C_{12}f_2(t)
fe(t)=f1(t)−C12f2(t)
分解原则:
f
e
(
t
)
f_e(t)
fe(t)的方均值最小,即误差信号功率(能量)最小
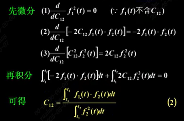
求相关系数:误差函数方均值最小时求出相关系数
C
12
C_{12}
C12


比较公式(1)和(2),分解的原则对应:即
f
e
(
t
)
f_e(t)
fe(t)的方均值
若
C
12
=
0
C_{12}=0
C12=0,此时
f
1
(
t
)
,
f
2
(
t
)
f_1(t), f_2(t)
f1(t),f2(t)称为正交函数,满足
∫
t
1
t
2
f
1
(
t
)
⋅
f
2
(
t
)
d
t
\int_{t_1}^{t_2}f_1(t)\cdot f_2(t)dt
∫t1t2f1(t)⋅f2(t)dt
几点认识:
∙
f
e
(
t
)
与
f
2
(
t
)
\bullet f_e(t) 与 f_2(t)
∙fe(t)与f2(t)正交,因为
f
1
(
t
)
f_1(t)
f1(t)中已最大限度抽出
f
2
(
t
)
f_2(t)
f2(t),已无
f
2
(
t
)
f_2(t)
f2(t)分量
∙
f
1
(
t
)
\bullet f_1(t)
∙f1(t)中还可以抽出除
f
2
(
t
)
f_2(t)
f2(t)以外的函数,如
f
3
(
t
)
f_3(t)
f3(t),此时,
f
1
(
t
)
=
C
12
f
2
(
t
)
+
C
13
f
3
(
t
)
+
f
e
1
(
t
)
f_1(t) = C_{12}f_2(t) + C_{13}f_3(t)+f_{e1}(t)
f1(t)=C12f2(t)+C13f3(t)+fe1(t)
f
e
1
(
t
)
:
f_{e1}(t):
fe1(t):抽出
f
2
(
t
)
,
f
3
(
t
)
f_2(t), f_3(t)
f2(t),f3(t)后剩下的误差函数
总结
∙
\bullet
∙两周期信号在同一周期内(同区间内)正交(即从
f
1
(
t
)
f_1(t)
f1(t)中抽不出
f
2
(
t
)
f_2(t)
f2(t)分量)的条件是
C
12
=
0
C_{12}=0
C12=0,即:
∫
t
1
t
2
f
1
(
t
)
⋅
f
2
(
t
)
d
t
=
0
\int_{t_1}^{t_2}f_1(t)\cdot f_2(t)dt=0
∫t1t2f1(t)⋅f2(t)dt=0
∙
\bullet
∙对一般信号在给定区间正交,而在其他区间不一定满足正交
∙
\bullet
∙两个信号不正交,就有相关关系,必能抽出另一信号
3. 正交函数集
任意信号f(t)可表示为n维正交函数之和:
f
(
t
)
≡
C
1
g
1
(
t
)
+
C
2
g
2
(
t
)
+
.
.
.
+
C
r
g
r
(
t
)
+
.
.
.
+
C
n
g
n
(
t
)
=
∑
r
=
1
n
C
r
g
r
(
t
)
f(t) \equiv C_1g_1(t)+C_2g_2(t)+...+C_rg_r(t)+...+C_ng_n(t)=\sum_{r=1}^{n}C_rg_r(t)
f(t)≡C1g1(t)+C2g2(t)+...+Crgr(t)+...+Cngn(t)=∑r=1nCrgr(t)
原函数
\quad \quad \quad \quad \quad \quad
近似函数
g
1
(
t
)
,
g
2
(
t
)
,
.
.
.
,
g
n
(
t
)
g_1(t), g_2(t), ..., g_n(t)
g1(t),g2(t),...,gn(t)相互正交
复变函数的正交特性
在区间
(
t
1
,
t
2
)
(t_1, t_2)
(t1,t2)内,若复变函数集
g
r
(
t
)
,
(
r
=
0
,
1
,
2
,
.
.
.
,
n
)
{g_r(t)},(r=0,1,2,...,n)
gr(t),(r=0,1,2,...,n)满足以下关系:
∫
t
1
t
2
g
i
(
t
)
g
j
∗
(
t
)
d
t
=
0
i
≠
j
\int_{t_1}^{t_2} g_i(t)g_j^*(t)dt=0 \quad \quad \quad i\neq j
∫t1t2gi(t)gj∗(t)dt=0i=j
∫
t
1
t
2
g
i
(
t
)
g
i
∗
(
t
)
d
t
=
K
i
\int_{t_1}^{t_2} g_i(t)g_i^*(t)dt=K_i
∫t1t2gi(t)gi∗(t)dt=Ki
则此复变函数集为正交函数集
用
g
r
(
t
)
,
(
r
=
0
,
1
,
.
.
.
,
n
)
{g_r(t)},(r=0, 1, ..., n)
gr(t),(r=0,1,...,n)表示f(t),求相关系数
C
r
=
∫
t
1
t
2
f
(
t
)
g
r
∗
(
t
)
d
t
∫
t
1
t
2
g
r
(
t
)
g
r
∗
(
t
)
d
t
C_r=\frac{\int_{t_1}^{t_2} f(t)g_r^*(t)dt}{\int_{t_1}^{t_2} g_r(t)g_r^*(t)dt}
Cr=∫t1t2gr(t)gr∗(t)dt∫t1t2f(t)gr∗(t)dt,
g
r
∗
(
t
)
为
g
r
(
t
)
g_r^*(t) 为 g_r(t)
gr∗(t)为gr(t)的共轭

4. 完备正交函数集
f
(
t
)
≡
C
1
g
1
(
t
)
+
C
2
g
2
(
t
)
+
.
.
.
+
C
r
g
r
(
t
)
+
.
.
.
+
C
n
g
n
(
t
)
=
∑
r
=
1
n
C
r
g
r
(
t
)
f(t) \equiv C_1g_1(t)+C_2g_2(t)+...+C_rg_r(t)+...+C_ng_n(t)=\sum_{r=1}^{n}C_rg_r(t)
f(t)≡C1g1(t)+C2g2(t)+...+Crgr(t)+...+Cngn(t)=∑r=1nCrgr(t)
**定义1:**当n增加时,
ϵ
2
ˉ
\bar {\epsilon^2}
ϵ2ˉ下降,若
n
→
∞
n \to \infty
n→∞,则
ϵ
2
ˉ
→
0
\bar {\epsilon^2} \to 0
ϵ2ˉ→0,此时
g
1
(
t
)
,
g
2
(
t
)
,
.
.
.
,
g
n
(
t
)
g_1(t), g_2(t), ..., g_n(t)
g1(t),g2(t),...,gn(t)为完备的正交函数集
**定义2:**如果存在函数x(t),有
∫
t
1
t
2
g
r
(
t
)
⋅
x
(
t
)
d
t
=
0
\int_{t_1}^{t_2}g_r(t) \cdot x(t)dt=0
∫t1t2gr(t)⋅x(t)dt=0,则x(t)必属于此正交函数集,原函数集
g
1
(
t
)
,
g
2
(
t
)
,
.
.
.
,
g
n
(
t
)
g_1(t), g_2(t), ..., g_n(t)
g1(t),g2(t),...,gn(t)不完备,若不存在这样的x(t),则此函数集为完备正交函数集
2. 功率信号和能量信号
定义:设i(t)为流过电阻R的电流,v(t)为R上的电压,瞬时功率为
p
(
t
)
=
i
2
(
t
)
R
p(t)=i^2(t)R
p(t)=i2(t)R,在一个周期内,R消耗的能量
W
=
∫
−
T
0
2
T
0
2
p
(
t
)
d
t
=
R
∫
−
T
0
2
T
0
2
i
2
(
t
)
d
t
W=\int_{\frac{-T_0}{2}}^{\frac{T_0}{2}}p(t)dt=R\int_{\frac{-T_0}{2}}^{\frac{T_0}{2}}i^2(t)dt
W=∫2−T02T0p(t)dt=R∫2−T02T0i2(t)dt或
W
=
1
R
∫
−
T
0
2
T
0
2
v
2
(
t
)
d
t
W=\frac{1}{R}\int_{\frac{-T_0}{2}}^{\frac{T_0}{2}}v^2(t)dt
W=R1∫2−T02T0v2(t)dt
平均功率可表示为:
P
=
1
T
0
R
∫
−
T
0
2
T
0
2
i
2
(
t
)
d
t
P=\frac{1}{T_0}R\int_{\frac{-T_0}{2}}^{\frac{T_0}{2}}i^2(t)dt
P=T01R∫2−T02T0i2(t)dt或
P
=
1
T
0
1
R
∫
−
T
0
2
T
0
2
v
2
(
t
)
d
t
P=\frac{1}{T_0}\frac{1}{R}\int_{\frac{-T_0}{2}}^{\frac{T_0}{2}}v^2(t)dt
P=T01R1∫2−T02T0v2(t)dt
**定义:**一般来说,能量总是与某一物理量的平方成正比。令R=1,则在整时间域内,实信号f(t)的
能量
W
=
lim
T
0
→
∞
∫
−
T
0
2
T
0
2
f
2
(
t
)
d
t
W=\lim_{T_0 \to \infty}\int_{\frac{-T_0}{2}}^{\frac{T_0}{2}}f^2(t)dt
W=limT0→∞∫2−T02T0f2(t)dt,
平均功率
P
=
lim
T
0
→
∞
1
T
0
∫
−
T
0
2
T
0
2
f
2
(
t
)
d
t
P=\lim_{T_0 \to \infty}\frac{1}{T_0}\int_{\frac{-T_0}{2}}^{\frac{T_0}{2}}f^2(t)dt
P=limT0→∞T01∫2−T02T0f2(t)dt
讨论上面两个式子,一般会出现两种情况:
- 0 < W < ∞ 0<W<\infty 0<W<∞(有限值)P=0
-
0
<
P
<
∞
0<P<\infty
0<P<∞(有限值)W=
∞
\infty
∞
满足1式的称为能量信号,满足2式的称为功率信号
一般规律: - 一般周期信号为功率信号
- 非周期信号,在有限区间有值,为能量信号
- 还有一些非周期信号,也是非能量信号,如u(t)是功率信号,tu(t)为非功率非能量信号, δ ( t ) \delta(t) δ(t)是无定义的非功率非能量信号
帕斯瓦尔定理

45

被折叠的 条评论
为什么被折叠?



