1.时钟的作用
时钟是整个电路的心脏,它为电路提供了一个计时的量度。一般来说我们经常用占空比为百分之五十的方波(当然是理想情况下)来充当电路的心脏,它存在的意义很明确,就是当这个方波上升沿的时候此电路应该发生那些动作,当方波处于下降沿的时候此电路应该发生那些动作。
2.最原始的时钟信号从哪里来?
整个PCB板子最原始的信号源于晶体或者晶振(二者的区别下文会提到),他们能够产生方波信号的原理如下:
从二氧化硅上切割下来一个任意形状的小薄片,然后在薄片的两个面上分别做一层电镀来作为通电的电极,之后引出来两根金属线,在用外壳将其封装就构成了一个比较简易的晶体振荡器。晶体振荡器能够产生脉动的原理在于压电效应,下图为某些晶振的图片:

2.1压电效应
**压电效应:**如果对压电材料(这里指的是晶体薄片)施加压力,那么在它的两个面上就会产生电位差(这种称为正压电效应),反之如果在两个面上施加电压,那么晶体薄片就会产生机械应力(这种称为逆压电效应)。因此在晶体的两面增加交变的电压,晶体就会产生震动,由于晶体的震动就会产生交变的电场。随着晶体外部施加的电压的频率变化,晶体的震荡频率以及由于震荡形成的电场也会改变,总会有某个特定的电压频率使得这两个值达到最大。
2.2晶振的等效
想要比较近似的做出晶振内部的等效电路,就需要清楚晶振内部的构成;首先比较重要的是晶体薄片,此薄片可以等效成电容,这个电容的容值与切割时晶体薄片的形状,薄厚,面积等都有一定的关系,因此等效的容值可以在人为的控制范围之内;当晶体薄片在震荡的时候,由于通电极性的变化,晶体薄片的机械振荡惯性可以用电感来进行等效;另外晶体薄片在震荡的过程中能量一定存在损耗,损耗就用电阻来进行等效;这样就形成了电感、电容、电阻串联在一起的等效电路;最后由于晶体薄片两面上镀的镀层,也是电容的等效,但是此电容的值并不随着晶体薄片的震荡与否做出任何的改变,因此此电容与上述的电路是并联的关系;综合下来,晶体在震荡的过程中形成的等效电路如下图所示:

上图中,根据电路知识可知,此网络存在两个谐振点;第一个谐振是串联网络中电感和电容之间组成的谐振,这个谐振的频率为:

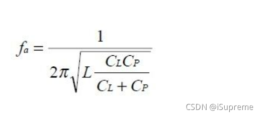
另外一个谐振频率为并联谐振,这个时候电路表现出纯感性。在这种工作模式下,等效电路表现出纯感性,那么晶振的工作频率就由负载电容决定,对于并联谐振状态下的晶振,晶振的规格书会指定负载电容的大小。并联谐振的频率计算公式为:

在并联谐振的情况下,通过调整负载阻抗的值,就可以改变晶体的震荡频率;
2.3晶体振荡器的等效电路
晶体振荡器

本文详细介绍了晶振的作用、工作原理、分类及应用,包括压电效应、晶振的等效电路、无源晶振与有源晶振的区别,以及恒温晶体振荡器(OCXO)、压控晶体振荡器(VCXO)和温度补偿晶体振荡器(TCXO)的工作原理和关键参数。此外,还提到了知名晶振厂商及时钟的连接方式。
最低0.47元/天 解锁文章
2万+

被折叠的 条评论
为什么被折叠?



