论文:Joint Extraction of Entities and Relations Based on a Novel Tagging Scheme
1. 题目
Zheng S,Wang F,Bao H,et al.Joint Extraction of Entities and Relations Based on a Novel Tagging Scheme.ACL 2017
获得了Outstanding paper
2. 背景
研究关系与实体加联合学习的问题;
本文只考虑了一个实体属于一个三元组的情况,重叠关系的识别任务未解决,留到下一次研究。
3. 方法内容
提出了一种新的标注模式,把联合任务转化标签问题;
然后基于新标注模式进行了不同的end-end模型研究;
提出biased loss function损失函数,模型为BiLSTM+LSTM-bias。
3.1 新标注模式

N_t = 2 ∗ 4 ∗ |R| + 1, *|R|*表示关系数;
如果有多个实体共享同一个关系,采用最近的原则来抽取;
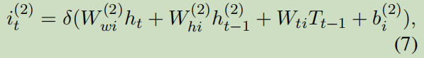
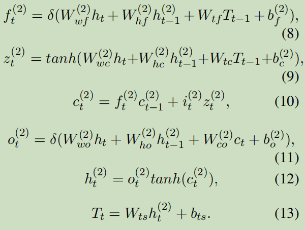
3.2 模型

对于每种关系,将其与(Begin,Inside,End,Single)以及头实体和尾实体的序号(1,2)组会起来进行关系抽取,并根据最后的标注结果进行解码,进而得到关系三元组。再者,该方法额外考虑了一个Other标签,主要表示不属于任何一种关系。如果总共有|R|种关系,那么一共就有2*4*|R|+1个标签。
Bi-LSTM编码层–常用的bi-lstm:

LSTM解码层:


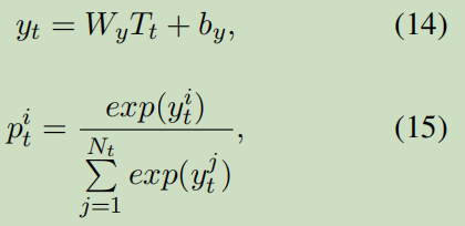
softmax层:

Bias目标函数:

其中:
4. 实验
数据集: NYT
评估:Precision (Prec), Recall (Rec) and F1
4.1 结果

前面三行是pipeline方法,中间三行是联合方法;最后三行是论文提出的方法。
4.2 偏差损失分析

4.3 关于a的实验

5. 参考:
【1】实体-关系联合抽取:
Joint Extraction of Entities and Relations Based on a Novel Tagging Scheme, https://blog.csdn.net/MaybeForever/article/details/102668087
【2】PPT:http://qngw2014.bj.bcebos.com/upload/2017/04/Joint%20Extraction%20of%20Entities%20and%20Relations%20Based%20on%20a%20Novel%20Tagging%20Scheme.pdf
[3] 复杂语境下的实体关系抽取, https://mp.weixin.qq.com/s/NAyuYMLDyx9Fut2blpvbRA
小结:论文提出了一种基于标注的联合模型的创新,虽然简单,可是这个是思维的一个开创;虽然重叠的情况没有解决,可是这个是一个很好的思路了。
4181

被折叠的 条评论
为什么被折叠?



