在公差分析过程中有很多设置与注意事项,并没那么简单点点就能实现公差的分析,当然也并非一帖能讲解清晰,这里主要讲解下公差分析中曲率半径公差的单位转化,即光圈与毫米单位的转化。公差分析向导如下图所示:

在讲解曲率半径公差之前,我们首先讲解下,曲率半径在加工中的测试方法(这里只使用透镜类光学镜片曲率,不适合较大口径的反射式镜)。光学专业科班出身的朋友应该对于牛顿环实验十分熟悉,在光学加工中则是利用了这一原理,牛顿环属于分振幅法双光束干涉的一个典型,这种干涉现象最早为牛顿发现,因而这种 干涉圆环被称之为牛顿环。牛顿环在实际工作中通常用来测量透镜的曲率半径。
当一曲率半径很大的平凸透镜的凸面与一平玻璃板的精磨光面相接触时,则在透镜与 平玻璃之间形成一层空气薄膜,离接触点距离不同的地方,空气层的厚度不一样,但离接触点等距离的地方,厚度相同,等厚膜的轨迹是以接触点为中心的同心圆。如果将单色光垂直投射到这种装置上,则由空气薄膜的上下缘面所反射出来的光波之间由于有光程差,因此就发生干涉现象,这种干涉是一种等厚度干涉,因而在投射方向上进行观察,可以看到以接触点为中心的许多同心状的亮暗相间的圆环,其中心是一暗斑。
如下就是牛顿环实验的基本原理图,如果对牛顿环公式计算感兴趣则可随便找一本物理光学的教程就可以查到,在等厚干涉相关的知识部分:
那么这里的平板其实实际工厂加工就是样板,因为我们设计完成之后,曲率半径是要于对应加工厂的样板进行比对的,也就是经常说的套样板,那么上图其实可以画成如下这个图:

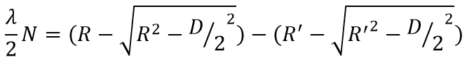
对应的计算公式就是如下:

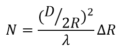
这里的N就是光圈,R就是理论的曲率半径,R‘是实际加工得到的曲率半径,D这是检验到的透镜的口径。如果知道了所有的量去求R’,根据这个公式是没问题的,但是有些繁琐,可以利用泰勒公式进行展开计算,得到一个比较简化的公式,此时默认曲率半径的差值相对于R是一个小量,半口径相对于R也是一个小量,这时候的公式如下:

这个公式就简单多了,左边光圈,右边是半径公差。由于测试用的光源是黄色光源,所以这里的波长常常为550nm。
高等数学比较好的朋友,有兴趣可以推一推,激发下自己的大脑,不要沦为软件的奴隶!也可以发送给我,我们加入到帖子中去。
目前光学设计比较火,大家都自学,但是过程中遇到很多问题,我因此写了些新的分享大家
在实际工作中,设计镜头的时候,客户是告诉你要用几片玻璃几片塑胶的,而你也不需要搭建结构,因为有很多的设计好的镜头,和专利镜头,你要做的是找到规格相近的,然后去尝试,慢慢的一点点的去逼近设计要求。
当然在实际镜头设计中大多数人会选择用CODEV,用CODEV去跑初始架构,因为codev本身自带镜头库很方便检索,你别反驳说zemax也有,我想说的是zemax全英文我表示看不懂,用codev的另一个好处是他优化的非常块,能够很快的去让你判断出这个架构的潜力,当你设计优化边界时可以直接给出目标值,然后调节迭代参数,就可以挖掘出架构的潜力了。
当架构稳定,光线不怎么出错就可以早zemax中进行参数的微调,进一步提升像质,然后很方便的输出。进行好低温模拟等一系列操作。
根据多年经验,编写的一份资料,能够很轻松自学光学设计,又需要可以找我购买QQ 694854290 书的目录如下;里面分享了很多的高阶优化方法,和实际中的经验优化
第一章高阶光学设计时的优化顺序
第二章手机镜头基本理论
第三章手机镜头光学设计
第四章公差分析和鬼像分析
第五章 重要概念讲解
第六章孔径类型
第七章 像差深度理解
本文介绍了公差分析中曲率半径公差与光圈之间的单位转换,通过牛顿环实验的原理阐述了曲率半径的测量方法。在光学设计中,曲率半径的公差分析对于镜头质量和性能至关重要,文章提供了简化计算公式的介绍,并鼓励读者深入理解和应用。此外,还分享了光学设计的学习资源和经验。
9

被折叠的 条评论
为什么被折叠?



