本文主要讲述一个层次聚类实例,使用层次聚类算法将相似图书的目录进行聚类。由于不知道要聚为多少类,所以Kmeans聚类算法不适用,而层次聚类由于不需要设置聚类中心数,只要传递一个阈值即可,所以正好适合于这个问题。本文将结合层次聚算法的原理以及其Java代码实现来展现文本聚类的一个实现方式。具体代码见我的GitHub(点击打开链接)
层次聚类
层次聚类方法对给定的数据集进行层次的分解,直到某种条件满足为止。具体又可分为凝聚和分裂两种方案。
1.凝聚的层次聚类是一种自底向上的策略,首先将每个对象作为一个簇,然后合并这些原子簇为越来越大的簇,直到所有的对象都在一个簇中,或者某个终结条件被满足,绝大多数层次聚类方法属于这一类,它们只是在簇间相似度的定义上有所不同。
2.分裂的层次聚类与凝聚的层次聚类相反,采用自顶向下的策略,它首先将所有对象置于同一个簇中,然后逐渐细分为越来越小的簇,直到每个对象自成一簇,或者达到了某个终止条件。
1.凝聚的层次聚类是一种自底向上的策略,首先将每个对象作为一个簇,然后合并这些原子簇为越来越大的簇,直到所有的对象都在一个簇中,或者某个终结条件被满足,绝大多数层次聚类方法属于这一类,它们只是在簇间相似度的定义上有所不同。
2.分裂的层次聚类与凝聚的层次聚类相反,采用自顶向下的策略,它首先将所有对象置于同一个簇中,然后逐渐细分为越来越小的簇,直到每个对象自成一簇,或者达到了某个终止条件。
这里重点介绍一下第一种自下而上的层次聚类:
假设有N个待聚类的样本,对于层次聚类来说(自下而上),基本步骤就是:
1、(初始化)把每个样本归为一类,计算每两个类之间的距离,也就是样本与样本之间的相似度;
2、寻找各个类之间最近的两个类,把他们归为一类(这样类的总数就少了一个);
3、重新计算新生成的这个类与各个旧类之间的相似度;
4、重复2和3直到所有样本点都归为一类, 或者某个终结条件被满足(比如类之间的相似度小于设定的阈值),则结束。
整个聚类过程其实是建立了一棵树,在建立的过程中,可以通过在第二步上设置一个阈值,当最近的两个类的距离大于这个阈值,则认为迭代可以终止。另外关键的一步就是第三步,如何判断两个类之间的相似度有不少种方法。这里介绍一下三种:
SingleLinkage:又叫做 nearest-neighbor ,就是取两个类中距离最近的两个样本的距离作为这两个集合的距离,也就是说,最近两个样本之间的距离越小,这两个类之间的相似度就越大。容易造成一种叫做 Chaining 的效果,两个 cluster 明明从“大局”上离得比较远,但是由于其中个别的点距离比较近就被合并了,并且这样合并之后 Chaining 效应会进一步扩大,最后会得到比较松散的 cluster 。
CompleteLinkage:这个则完全是 Single Linkage 的反面极端,取两个集合中距离最远的两个点的距离作为两个集合的距离。其效果也是刚好相反的,限制非常大,两个 cluster 即使已经很接近了,但是只要有不配合的点存在,就顽固到底,老死不相合并,也是不太好的办法。这两种相似度的定义方法的共同问题就是指考虑了某个有特点的数据,而没有考虑类内数据的整体特点。
Average-linkage:这种方法就是把两个集合中的点两两的距离全部放在一起求一个平均值,相对也能得到合适一点的结果。
average-linkage的一个变种就是取两两距离的中值,与取均值相比更加能够解除个别偏离样本对结果的干扰。
缺点:层次聚类描述起来比较简单,但是计算复杂度比较高,为了寻找距离最近/远和均值,都需要对所有的距离计算个遍,需要用到双重循环。另外从算法中可以看出,每次迭代都只能合并两个子类,这是非常慢的。
1、(初始化)把每个样本归为一类,计算每两个类之间的距离,也就是样本与样本之间的相似度;
2、寻找各个类之间最近的两个类,把他们归为一类(这样类的总数就少了一个);
3、重新计算新生成的这个类与各个旧类之间的相似度;
4、重复2和3直到所有样本点都归为一类, 或者某个终结条件被满足(比如类之间的相似度小于设定的阈值),则结束。
整个聚类过程其实是建立了一棵树,在建立的过程中,可以通过在第二步上设置一个阈值,当最近的两个类的距离大于这个阈值,则认为迭代可以终止。另外关键的一步就是第三步,如何判断两个类之间的相似度有不少种方法。这里介绍一下三种:
SingleLinkage:又叫做 nearest-neighbor ,就是取两个类中距离最近的两个样本的距离作为这两个集合的距离,也就是说,最近两个样本之间的距离越小,这两个类之间的相似度就越大。容易造成一种叫做 Chaining 的效果,两个 cluster 明明从“大局”上离得比较远,但是由于其中个别的点距离比较近就被合并了,并且这样合并之后 Chaining 效应会进一步扩大,最后会得到比较松散的 cluster 。
CompleteLinkage:这个则完全是 Single Linkage 的反面极端,取两个集合中距离最远的两个点的距离作为两个集合的距离。其效果也是刚好相反的,限制非常大,两个 cluster 即使已经很接近了,但是只要有不配合的点存在,就顽固到底,老死不相合并,也是不太好的办法。这两种相似度的定义方法的共同问题就是指考虑了某个有特点的数据,而没有考虑类内数据的整体特点。
Average-linkage:这种方法就是把两个集合中的点两两的距离全部放在一起求一个平均值,相对也能得到合适一点的结果。
average-linkage的一个变种就是取两两距离的中值,与取均值相比更加能够解除个别偏离样本对结果的干扰。
缺点:层次聚类描述起来比较简单,但是计算复杂度比较高,为了寻找距离最近/远和均值,都需要对所有的距离计算个遍,需要用到双重循环。另外从算法中可以看出,每次迭代都只能合并两个子类,这是非常慢的。
文本聚类
这里我们对关于“计算机网络”的多本图书的所有一级目录进行聚类,目录如下图所示(总共有1118条目录):
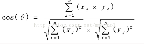
使用层次聚类算法对文本进行聚类首先需要计算文本之间的相似度,这里文本之间的相似度采用的是余弦相似度计算公式:
文本的向量表示采用两种方式,第一种是文本分词之后每一个词的word2vec向量相加求均值代表文本的向量;第二种使用文本的doc2vec向量代表文本的向量。
这里,我使用来自13

本文通过一个实例介绍如何利用层次聚类算法进行文本聚类,特别是针对图书目录的相似性聚类。由于层次聚类不需要预设类别数量,仅需设定阈值,因此在该问题中更为适用。文章详细讲解了层次聚类的原理,并提供了Java代码实现,源代码可在作者的GitHub找到。
最低0.47元/天 解锁文章
926





