一、连续函数的和、差、积、商的连续性
定理 1

二、反函数与复合函数的连续性
定理2
例2

定理3

定理3的证明

例3

定理4
定理4的证明

例4

三、初等函数的连续性
基本初等函数在它们的定义域内都是连续的

推导xᵘ =a^ulogₐx

注意(logₐx)^u ≠ logₐ(xu)

幂函数可视化

一切初等函数在其定义区间内都是连续的

总结归纳


这个结论的实际意义在于:对于初等函数来说,只要知道函数在某点连续,计算该点的极限就可以直接代入计算函数值,而不需要使用更复杂的极限运算方法。这大大简化了初等函数的极限计算。
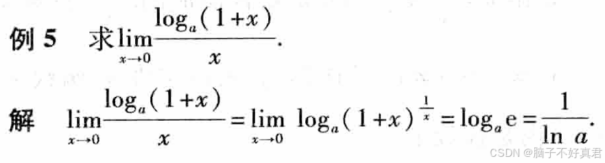
例5


对①过程的解释
我对①非常疑问,实际上它的过程如下,但为什么loga能提出来,或者说为什么lim能进去?下面介绍一个定理:
连续函数复合极限定理


证明方式可参考:https://math.stackexchange.com/questions/2679894/what-is-the-proof-behind-lim-fgx-f-lim-gx
对②过程的解释

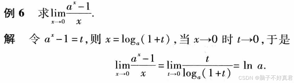
例6


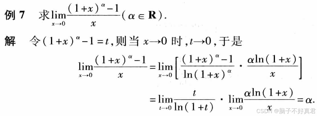
例7

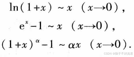
★由例5、例6、例7总结得下列三个常用的等价无穷小关系式

例8

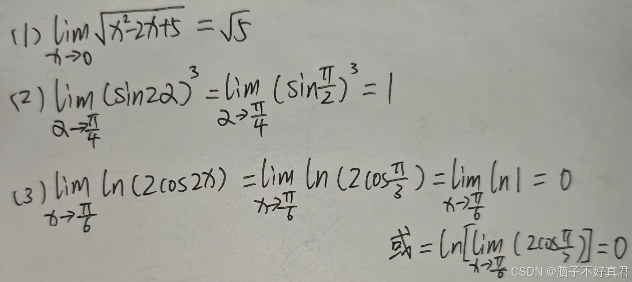
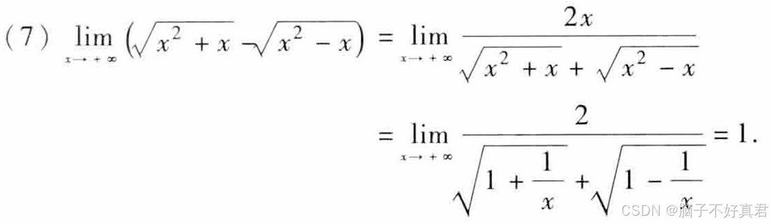
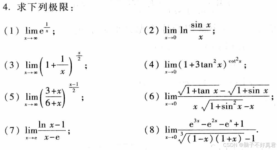
习题 1-9
1.


★这里回顾一下第八节-函数的连续性与间断性中的间断点的三种情况



2.


为什么max{f(x),g(x)}=1/2[f(x)+g(x)+∣f(x)−g(x)∣]?























1120

被折叠的 条评论
为什么被折叠?



